Title: Cyclopedia of Commerce, Accountancy, Business Administration, v. 04 (of 10)
Author: American School of Correspondence
Release date: August 9, 2014 [eBook #46545]
                Most recently updated: October 24, 2024
Language: English
Credits: Produced by Giovanni Fini, Juliet Sutherland and the Online
        Distributed Proofreading Team at http://www.pgdp.net
 
THE BUSY RETAIL STORE OF THE L. E. WATERMAN COMPANY
At the "Pen Corner," 173 Broadway, New York City
of
Commerce, Accountancy,
Business Administration
Volume 4
A General Reference Work on
ACCOUNTING, AUDITING, BOOKKEEPING, COMMERCIAL LAW, BUSINESS
MANAGEMENT, ADMINISTRATIVE AND INDUSTRIAL ORGANIZATION,
BANKING, ADVERTISING, SELLING, OFFICE AND FACTORY
RECORDS, COST KEEPING, SYSTEMATIZING, ETC.
Prepared by a Corps of
AUDITORS, ACCOUNTANTS, ATTORNEYS, AND SPECIALISTS IN BUSINESS METHODS AND MANAGEMENT
Illustrated with Over Two Thousand Engravings
TEN VOLUMES
CHICAGO
AMERICAN TECHNICAL SOCIETY
1910
Copyright, 1909
BY
AMERICAN SCHOOL OF CORRESPONDENCE
Copyright, 1909
BY
AMERICAN TECHNICAL SOCIETY
Entered at Stationers' Hall, London
All Rights Reserved
JAMES BRAY GRIFFITH, Managing Editor
Head, Dept. of Commerce, Accountancy, and Business Administration, American School of Correspondence.
ROBERT H. MONTGOMERY
Of the Firm of Lybrand, Ross Bros. & Montgomery, Certified Public Accountants.
Editor of the American Edition of Dicksee's Auditing.
Formerly Lecturer on Auditing at the Evening School of Accounts and Finance of the University of Pennsylvania, and the School of Commerce, Accounts, and Finance of the New York University.
ARTHUR LOWES DICKINSON, F. C. A., C. P. A.
Of the Firms of Jones, Caesar, Dickinson, Wilmot & Company, Certified Public Accountants, and Price, Waterhouse & Company, Chartered Accountants.
WILLIAM M. LYBRAND, C. P. A.
Of the Firm of Lybrand, Ross Bros. & Montgomery, Certified Public Accountants.
F. H. MACPHERSON, C. A., C. P. A.
Of the Firm of F. H. Macpherson & Co., Certified Public Accountants.
CHAS. A. SWEETLAND
Consulting Public Accountant.
Author of "Loose-Leaf Bookkeeping," and "Anti-Confusion Business Methods."
E. C. LANDIS
Of the System Department, Burroughs Adding Machine Company.
HARRIS C. TROW, S. B.
Editor-in-Chief, Textbook Department, American School of Correspondence.
CECIL B. SMEETON, F. I. A.
Public Accountant and Auditor.
President, Incorporated Accountants' Society of Illinois.
Fellow, Institute of Accounts, New York.
JOHN A. CHAMBERLAIN, A. B., LL. B.
Of the Cleveland Bar.
Lecturer on Suretyship, Western Reserve Law School.
Author of "Principles of Business Law."
HUGH WRIGHT
Auditor, Westlake Construction Company.
GLENN M. HOBBS, Ph. D.
Secretary, American School of Correspondence.
JESSIE M. SHEPHERD, A. B.
Associate Editor, Textbook Department, American School of Correspondence.
GEORGE C. RUSSELL
Systematizer.
Formerly Manager, System Department, Elliott-Fisher Company.
OSCAR E. PERRIGO, M. E.
Specialist in Industrial Organization.
Author of "Machine-Shop Economics and Systems," etc.
DARWIN S. HATCH, B. S.
Assistant Editor, Textbook Department, American School of Correspondence.
CHAS. E. HATHAWAY
Cost Expert.
Chief Accountant, Fore River Shipbuilding Co.
CHAS. WILBUR LEIGH, B. S.
Associate Professor of Mathematics, Armour Institute of Technology.
L. W. LEWIS
Advertising Manager, The McCaskey Register Co.
MARTIN W. RUSSELL
[4]Registrar and Treasurer, American School of Correspondence.
HALBERT P. GILLETTE, C. E.
Managing Editor, Engineering-Contracting.
Author of "Handbook of Cost Data for Contractors and Engineers."
R. T. MILLER, JR., A. M., LL. B.
President, American School of Correspondence.
WILLIAM SCHUTTE
Manager of Advertising, National Cash Register Co.
E. ST. ELMO LEWIS
Advertising Manager, Burroughs Adding Machine Company.
Author of "The Credit Man and His Work" and "Financial Advertising."
RICHARD T. DANA
Consulting Engineer.
Chief Engineer, Construction Service Co.
P. H. BOGARDUS
Publicity Manager, American School of Correspondence.
WILLIAM G. NICHOLS
General Manufacturing Agent for the China Mfg. Co., The Webster Mfg. Co., and the Pembroke Mills.
Author of "Cost Finding" and "Cotton Mills."
C. H. HUNTER
Advertising Manager, Elliott-Fisher Co.
FRANK C. MORSE
Filing Expert.
Secretary, Browne-Morse Co.
H. E. K'BERG
Expert on Loose-Leaf Systems.
Formerly Manager, Business Systems Department, Burroughs Adding Machine Co.
EDWARD B. WAITE
Head, Instruction Department, American School of Correspondence.
The editors have freely consulted the standard technical and business literature of America and Europe in the preparation of these volumes. They desire to express their indebtedness, particularly, to the following eminent authorities, whose well-known treatises should be in the library of everyone interested in modern business methods.
Grateful acknowledgment is made also of the valuable service rendered by the many manufacturers and specialists in office and factory methods, whose coöperation has made it possible to include in these volumes suitable illustrations of the latest equipment for office use; as well as those financial, mercantile, and manufacturing concerns who have supplied illustrations of offices, factories, shops, and buildings, typical of the commercial and industrial life of America.
JOSEPH HARDCASTLE, C. P. A.
Formerly Professor of Principles and Practice of Accounts, School of Commerce, Accounts, and Finance, New York University.
Author of "Accounts of Executors and Testamentary Trustees."
HORACE LUCIAN ARNOLD
Specialist in Factory Organization and Accounting.
Author of "The Complete Cost Keeper," and "Factory Manager and Accountant."
JOHN F. J. MULHALL, P. A.
Specialist in Corporation Accounts.
Author of "Quasi Public Corporation Accounting and Management."
SHERWIN CODY
Advertising and Sales Specialist.
Author of "How to Do Business by Letter," and "Art of Writing and Speaking the English Language."
FREDERICK TIPSON, C. P. A.
Author of "Theory of Accounts."
CHARLES BUXTON GOING
Managing Editor of The Engineering Magazine.
Associate in Mechanical Engineering, Columbia University.
Corresponding Member, Canadian Mining Institute.
F. E. WEBNER
Public Accountant.
Specialist in Factory Accounting.
[6]Contributor to The Engineering Press.
AMOS K. FISKE
Associate Editor of the New York Journal of Commerce.
Author of "The Modern Bank."
JOSEPH FRENCH JOHNSON
Dean of the New York University School of Commerce, Accounts, and Finance.
Editor, The Journal of Accountancy.
Author of "Money, Exchange, and Banking."
M. U. OVERLAND
Of the New York Bar.
Author of "Classified Corporation Laws of All the States."
THOMAS CONYNGTON
Of the New York Bar.
Author of "Corporate Management," "Corporate Organization," "The Modern Corporation," and "Partnership Relations."
THEOPHILUS PARSONS, LL. D.
Author of "The Laws of Business."
E. ST. ELMO LEWIS
Advertising Manager, Burroughs Adding Machine Company.
Formerly Manager of Publicity, National Cash Register Co.
Author of "The Credit Man and His Work," and "Financial Advertising."
T. E. YOUNG, B. A., F. R. A. S.
Ex-President of the Institute of Actuaries.
Member of the Actuary Society of America.
Author of "Insurance."
LAWRENCE R. DICKSEE, F. C. A.
Professor of Accounting at the University of Birmingham.
Author of "Advanced Accounting," "Auditing," "Bookkeeping for Company Secretary," etc.
FRANCIS W. PIXLEY
Author of "Auditors, Their Duties and Responsibilities," and "Accountancy."
CHARLES U. CARPENTER
General Manager, The Herring-Hall-Marvin Safe Co.
Formerly General Manager, National Cash Register Co.
[7]Author of "Profit Making Management."
C. E. KNOEPPEL
Specialist in Cost Analysis and Factory Betterment.
Author of "Systematic Foundry Operation and Foundry Costing," "Maximum Production through Organization and Supervision," and other papers.
HARRINGTON EMERSON, M. A.
Consulting Engineer.
Director of Organization and Betterment Work on the Santa Fe System.
Originator of the Emerson Efficiency System.
Author of "Efficiency as a Basis for Operation and Wages."
ELMER H. BEACH
Specialist in Accounting Methods.
Editor, Beach's Magazine of Business.
Founder of The Bookkeeper.
Editor of The American Business and Accounting Encyclopedia.
J. J. RAHILL, C. P. A.
Member, California Society of Public Accountants.
Author of "Corporation Accounting and Corporation Law."
FRANK BROOKER, C. P. A.
Ex-New York State Examiner of Certified Public Accountants.
Ex-President, American Association of Public Accountants.
Author of "American Accountants' Manual."
CLINTON E. WOODS, M. E.
Specialist in Industrial Organization.
Formerly Comptroller, Sears, Roebuck & Co.
Author of "Organizing a Factory," and "Woods' Reports."
CHARLES E. SPRAGUE, C. P. A.
President of the Union Dime Savings Bank, New York.
Author of "The Accountancy of Investment," "Extended Bond Tables," and "Problems and Studies in the Accountancy of Investment."
CHARLES WALDO HASKINS, C. P. A., L. H. M.
Author of "Business Education and Accountancy."
JOHN J. CRAWFORD
Author of "Bank Directors, Their Powers, Duties, and Liabilities."
DR. F. A. CLEVELAND
Of the Wharton School of Finance, University of Pennsylvania.
Author of "Funds and Their Uses."
 
CHICAGO SALES AND DISPLAY ROOMS OF THE NEW HAVEN CLOCK COMPANY
With the unprecedented increase in our commercial activities has come a demand for better business methods. Methods which were adequate for the business of a less active commercial era, have given way to systems and labor-saving ideas in keeping with the financial and industrial progress of the world.
Out of this progress has risen a new literature—the literature of business. But with the rapid advancement in the science of business, its literature can scarcely be said to have kept pace, at least, not to the same extent as in other sciences and professions. Much excellent material dealing with special phases of business activity has been prepared, but this is so scattered that the student desiring to acquire a comprehensive business library has found himself confronted by serious difficulties. He has been obliged, to a great extent, to make his selections blindly, resulting in many duplications of material without securing needed information on important phases of the subject.
In the belief that a demand exists for a library which shall embrace the best practice in all branches of business—from buying to selling, from simple bookkeeping to the administration of the financial affairs of a great corporation—these volumes have been prepared. Prepared primarily for[9] use as instruction books for the American School of Correspondence, the material from which the Cyclopedia has been compiled embraces the latest ideas with explanations of the most approved methods of modern business.
Editors and writers have been selected because of their familiarity with, and experience in handling various subjects pertaining to Commerce, Accountancy, and Business Administration. Writers with practical business experience have received preference over those with theoretical training; practicability has been considered of greater importance than literary excellence.
In addition to covering the entire general field of business, this Cyclopedia contains much specialized information not heretofore published in any form. This specialization is particularly apparent in those sections which treat of accounting and methods of management for Department Stores, Contractors, Publishers and Printers, Insurance, and Real Estate. The value of this information will be recognized by every student of business.
The principal value which is claimed for this Cyclopedia is as a reference work, but, comprising as it does the material used by the School in its correspondence courses, it is offered with the confident expectation that it will prove of great value to the trained man who desires to become conversant with phases of business practice with which he is unfamiliar, and to those holding advanced clerical and managerial positions.
In conclusion, grateful acknowledgment is made to authors and collaborators, to whose hearty cooperation the excellence of this work is due.
(For professional standing of authors, see list of Authors and Collaborators at front of volume.)
VOLUME IV
| Theory of Accounts | By James B. Griffith | Page 11 | 
| Dictionary of Commercial Terms—Commercial Abbreviations—Objects of Bookkeeping—Methods—Single Entry—Double Entry—Advantages of Double Entry —Classes of Account Books—Recording Transactions—Promissory Notes—Bank Deposits—Sample Transactions—Classes of Accounts—Classes of Assets—Revenue Accounts—Rules for Journalizing—Rules for Posting—Trial Balance—Sample Ledger Accounts—Treatment of Cash Discounts—Profit and Loss—Merchandise Inventory Accounts—Balance Sheet—Journalizing Notes—Journalizing Drafts | ||
| Single Proprietorship and Partnership Accounts | By James B. Griffith | Page 119 | 
| Retail Business—Proprietors' Accounts—Inventory—Retail Coal Books— Uncollectible Accounts—Sales Tickets—Departmental Records—Partnership Agreements—Kinds of Partners—Participation in Profits—Interest on Investments—Capital and Personal Accounts—Opening and Closing Partnership Books—Model Set of Books | ||
| Corporation and Manufacturing Accounts | By James B. Griffith | Page 195 | 
| Classification of Corporations—Joint Stock Company—Creation of Corporation —Stockholders—Stock Certificates—Capitalization—Capital and Capital Stock —Stock Subscriptions—Management of Corporations—Powers of Directors and Officers—Dividends—Closing Transfer Books—Sale of Stock Below Par—Corporation Bookkeeping—Books Required—Opening Entries—Changing Books from Partnership to Corporation—Stock Donated to Employes—Reserves—Computing Sinking Funds—Premium and Interest on Bonds—Manufacturing and Cost Accounts—Factory Assets—Factory Expenses—Balance Ledger | ||
| The Voucher System of Accounting | By James B. Griffith | Page 273 | 
| Use of Vouchers—Voucher Checks—Journal Vouchers—Voucher Register— Operation of System—Auditing Invoices—Executing Vouchers—Paying, Filing, and Indexing Vouchers—Voucher File—Demonstration of System—Voucher Accounting—Unit System—Combined Purchase Ledger and Invoice File—Private Ledger—Private Journal—General Ledger—Manufacturing Accounts—Charting Accounts—Chart of Trading Business—Chart of Manufacturing Accounts—Examples of Charts—Explanation of Charts | ||
| Review Questions | Page 325 | |
| Index | Page 345 | |
 
THE ACCOUNTING DEPARTMENT IN THE OFFICES OF THE GREEN FUEL ECONOMIZER COMPANY, MATTEAWAN, N. Y.
Like every other special branch of study, the Theory and Practice of Accounts has its own special vocabulary of technical terms. In all literature of accounting and business methods in general, these terms are frequently employed; and the student will find it not only advantageous, but in fact absolutely necessary, to familiarize himself thoroughly with their use.
The commercial terms and definitions in the following list are the ones most commonly used in business. Great care has been exercised in preparing a list that is practical and in making the definitions clear.
DICTIONARY OF COMMERCIAL TERMS
Acceptance—When a draft or bill of exchange is presented to the payer, he writes across the face "Accepted" or "Accepted for payment at ..." and signs his name. It is then termed an acceptance.
Accommodation Note—A note given without consideration of value received; usually done to enable the payee to raise money.
Account—
(a) A statement of debits and credits.
(b) A record of transactions with a particular person or persons, or with respect to a particular object.
Account Books—Books in which records of business transactions or accounts are kept.
Account Current—An account of transactions during the present month, week, or other current period. An open account.
Account Sales—A statement in detail covering sales, expenses, and net proceeds made by a commission merchant to one who has consigned goods to him.
Accrued; Accrued Interest—
(a) Accumulated interest not payable until a specified date.
(b) Accumulated rent.
 
Specimen Account
Acknowledgment—A certificate to the genuineness of a document signed and sworn to before an authorized official, as a Notary Public.
Administrator—One appointed by the court to settle an estate.
Ad Valorem—According to value. A term used to indicate that duties are payable on the value rather than on the weight or quantity of articles.
Adventure—As used in business, this term signifies a venture or speculation.
 
Account Sales
Advice—Information with reference to a business transaction; notice of shipment; notice of draft. Transmitted by letter or telegram.
Affidavit—A statement or declaration made under oath, before an authorized official.
Agent—One authorized to act or transact business for another.
Agreement—A mutual contract entered into by two or more persons.
 
Acknowledgment
Allowance—An abatement; a credit for inferior goods, error in quantity, etc.
Annual Statement—A yearly summary of the transactions of a business.
Annuity—An amount payable to or received from another each year for a term of years or for life.
Antedate—To date a document or paper ahead of the actual time of its execution.
Appraise—To place a value on goods or property. An estimate made for the purpose of assessing duties or taxes.
Appreciation—An increase in value. Real estate may increase in value on account of the demand for property in the immediate vicinity.
Approbation or Approval Sales. Goods delivered to customers with the understanding that if not found satisfactory they are to be returned within a definite period and without payment.
Articles—A collection of merchandise; parts of a written agreement, as "Articles of Association."
Arbitrate—To determine or settle disputes between two or more parties, as settlement of differences between employer and employees.
Assets—All of the property, goods, possessions of value of a person or persons in business.
Assign—To transfer or convey to another for the benefit of creditors.
Assignee—The person to whom the property or business is transferred. Usually acts as a trustee of the creditors.
Assignment—The debtor's transfer or conveyance of his property to a trustee.
Assignor—The debtor who makes an assignment, or transfers property for the benefit of creditors.
Association—A body organized for a common object.
Attachment—A legal seizure of goods to satisfy a debt or claim.
Auxiliary—Books of record other than books of original entry or principal books of account. Books used for purposes of distribution or the gathering of statistics are "auxiliary" books.
Audit—To verify the accuracy of accounts by examining or checking records pertaining thereto.
Average—As applied to accounts, the mean time which bills of different dates have to run, or an average due date for several accounts. Determining the due date is sometimes referred to as averaging accounts.
Balance—The difference between the debit and credit sides of an account. To close an account by entering the amount on the lesser side necessary to make the two sides balance.
Balance Sheet—A statement or summary in condensed form made for the purpose of showing the standing or condition of a business.
Balance of Trade—The balance or difference in value between the imports and exports of a country.
Bale—The form in which certain commodities are marketed. A bale of cotton, bale of hay, etc.
Bank Balance—The net amount to the credit of a depositor at the bank.
Bank Note—A note issued by a bank, payable on demand, which passes for money.
Bank Draft—An order drawn by one bank on another for the purpose of paying money.
Bank Pass-Book—A small book furnished to a depositor by his bank, in which are entered the amounts of deposits and sometimes the checks or withdrawals.
Bankrupt—A person, firm, or corporation whose liabilities exceed their assets; who are unable to meet their obligations.
Bill—A statement or record of goods bought or sold, or of services rendered.
 
Bill
Bill of Exchange—An order on a given person or bank to pay a specified amount to the person and at the time named in the bill. The term is more commonly used to apply to orders on another country, being made in triplicate.
Bill of Lading—A receipt issued by the representative of a common carrier, for goods accepted for transportation to a specified point and at a given rate. It is a contract, and, when transferred to a third party, becomes an absolute title to the goods.
 
Bill of Lading
Bill of Sale—A written document executed by the seller, transferring title to personal property.
Bill Head—The blank or form on which a bill is made. For illustration, see Bill.
 
Bill of Exchange
Bills Payable—Promissory notes and acceptances which we are to pay.
Bills Receivable—Promissory notes and acceptances which are to be paid to us.
Blanks—Papers or books ruled or printed in suitable form for business records.
Blotter—A book in which are entered memoranda of transactions which are later copied into other books. Also known as a day book.
Bond—A written agreement binding a person to do or not to do certain things specified therein. A negotiable instrument secured by mortgage or other security, binding the maker to pay certain sums on specific dates.
Bonded Goods—Goods stored in a government warehouse, or in bonded cars, bonds having been given by the owner for the payment of import duties or internal revenue taxes when removed.
Bonus—An amount paid in excess of the sum originally agreed upon. A premium or gift—for example, a sum paid to a salesman as extra compensation for making a certain number of sales.
Book Account—A charge or evidence of indebtedness on the books of account not secured by note or other written promise.
Brand—A class of goods. A symbol or name used to designate a specific article. A trade mark.
Broker—One who acts as agent or middleman between buyer and seller.
Brokerage—The commissions or fees paid the broker for his services. Also a term used to designate his business.
Bullion—Uncoined gold or silver.
Call Loans—Loans made payable on demand or when called for.
Cancel—To render null and void; to annul.
Capital—Property or money invested in a business.
Capital Stock—A term used to indicate the subscriptions of all stockholders to the capital of a corporation.
Cartage—The charges made for hauling goods by wagon, or otherwise than by freight or express.
Cash Sales—Sales for which immediate payment is received in contradistinction to sales of goods on credit.
 
Bill of Sale
Certificate of Stock—A written statement or declaration of the purchase of a specified number of shares of the capital stock of a corporation. An evidence of ownership.
Certified Check—A check, the payment of which is guaranteed by the bank on which it is drawn.
Charges—The expense involved in handling goods or in performing a specific act—as, for example, charges for storage, freight charges, etc. Also a synonym for debits.
Chart—A classified exhibit of the components of a business organization, showing the authority and responsibilities of the members. Grouping of the accounts of a business with respect to their relation to one another.
Charter—To hire a car, ship, or other instrument of transportation. A document defining the rights and duties of a corporation.
Check—An order on a bank to pay to a certain person, or to the order of such person, a specified sum, which sum is to be charged to the account of the drawer of the check.
Clearing House—An exchange established by banks in cities, for their convenience in making daily settlements. The checks and drafts on the different banks are exchanged without the formality of presenting them personally at each bank. A balance is found, and this amount only is paid in cash.
Closing an Account—Making an entry that will balance the account.
Collateral—Pledges of security—as stocks, bonds, etc.—to protect an obligation or insure the payment of a loan.
Commission—A percentage or share of the proceeds allowed for the sale of merchandise—as the pay of a commission merchant for selling a car of flour.
Commission Merchant—One who sells goods on commission. Similar to a broker.
Commercial Paper—Negotiable paper used in business.
Common Law—Law based upon the precedent of usage, though not contained in the statutes.
Company—A corporation; also used to designate partners whose names are not known.
Compromise—To settle an account for less than the amount claimed. To agree upon a settlement.
 
Certificate of Stock
Consideration—The price or money paid or to be paid which induces the entering into a contract by two or more persons.
Consignee—The party to whom goods are shipped. A person to whom goods are sent to be sold on commission is a consignee. The goods so sent are known as a consignment, and the sender is the consignor.
Consul—An agent of the Government, residing in a foreign part, who guards the interests of his own Government.
Contra—On the opposite side—as a contra account.
Contract—A written agreement between two or more persons to perform or not to perform some specified act or acts.
Contingent Assets and Liabilities—Resources or liabilities whose value depends upon certain conditions.
Contingent Fund—A sum put aside to provide for an anticipated obligation; a reserve fund.
Conveyance—A term used to describe certain forms of legal documents transferring from one person to another, title to property or collateral.
Copyright—A right granted to an author or publisher to control the publication of any writing, or the reproduction of a photograph, painting, etc.
Counterfeit—A spurious coin, or bank or treasury note.
Coupon—A certificate detached from a bond, which entitles the holder to the payment of interest.
Coupon Bond—Bonds to which are attached coupons calling for the payment of interest. The coupons, when detached, become negotiable paper.
Credentials—Letters or testimonials conveying authority.
Creditor—One whom we owe; one who gives credit.
Currency—The coin or paper money constituting the circulating medium of a country.
Debenture—A certified evidence of debt. See Bond.
Debit—To charge; to record an amount due.
Deed—A written document or contract transferring title to real estate.
Defalcation—The appropriating to one's own use, of money intrusted to him by another; embezzlement.
Deferred Bonds—Bonds which are to be paid when some condition is fulfilled in the future.
Delivery Receipt—An acknowledgment of the delivery of goods. Largely used by merchants in the delivery of goods to customers.
Demand Note—A promissory note or acceptance payable on presentation or on demand.
 
Deposit—The money placed in custody of the bank, subject to order.
Depreciation—A reduction in the value of property. In a manufacturing plant, buildings and machinery depreciate in value through wear and tear; a residence property may depreciate owing to the nature of a nearby building.
 
Delivery Receipt
Discount—An allowance or abatement made for the payment of a bill within a specified period. The interest paid in advance on money borrowed from a bank.
Dishonor—Refusal to accept a draft, or failure to pay a written obligation when due.
 
Demand Note
Dividend—The profits which are distributed among the stockholders of a corporation.
Draft—A written order for the payment of money—usually made through some bank.
Drawer—The person by whom the draft is made; the one who requested the payment of money by the drawee.
Drayage—Synonymous with cartage.
Due Bill—A written acknowledgment of an amount due; of the same effect as a demand note.
Dunning—Soliciting or urgently pressing the payment of a debt.
Duplicate—A copy of a paper or document; the act of making a copy.
Duty—The tax paid on imported goods.
Doubtful—Of questionable value. We refer to an account as "doubtful" when we question the likelihood of its payment.
 
Draft
Earnest—An advance payment, applying on the purchase price, made to bind an oral bargain.
Embezzlement—See Defalcation.
Exchange—The charge made by a bank for the collection of drafts or checks.
Exports—Commodities sent to another country.
Extend—To set a later date for payment; to add several items and carry the totals to the proper column.
Face Value—The amount for which a commercial paper is drawn.
Facsimile—An exact duplicate or exact copy.
Financial Statement—A term used in the same sense as balance sheet or annual statement.
Fiscal—A financial or business year, in contradistinction to a calendar year. The fiscal year of a business may commence and end on any date—usually on the date on which it was started.
Fixed Assets—Permanent assets acquired by a firm or corporation to enable them to conduct a business. Includes real estate, building, machinery, horses and wagons, etc.
Fixed Charges—Those charges in connection with the operation of a business which occur at regular intervals, such as rent, taxes, etc.
Fixtures—A fixed asset represented by that part of the furniture not readily removable, such as gas and electric light fixtures.
Folio—A column provided in account books, in which to enter the page numbers of other books from or to which records are transferred.
Footing—The sum or amount of a column of figures.
Foreign Exchange—Drafts on foreign cities.
Freight—The charges paid for the transportation of goods.
Gain—The increase in value of assets or profit resulting from a transaction or transactions.
Gauging—Measuring the liquid contents of casks or barrels.
Going Business—A term used to designate a business in actual operation. Goodwill or the reputation of a business has a value so long as the business is in operation, or keeps going. When a business is discontinued, only the physical assets or actual properties owned by the business are of value.
Good Will—The monetary value of the reputation of a business over and above its visible assets; the value of a business name.
Gross—The entire amount in contradistinction to the net amount—as gross weight or gross profit.
Guarantee or Guaranty—Surety for the maintenance of quality or the performance of contracts.
Honor—To pay a promissory note when due; to accept or pay a draft.
Hypothecate—To deposit as collateral security for a loan.
Import—To bring goods into the country.
Income—The receipts of a business.
Income Bonds—Bonds on which the payment of interest is contingent on profits earned. If the interest is passed on account of lack of funds, the holder of the bond has no claim.
Indemnity—Security against a form of loss which has occurred or may occur—as fire insurance, against loss by fire.
Indorse—To guarantee the payment of commercial paper by writing one's name on the back.
Indorsee—The person to whom a paper is indorsed.
 
Lease
Indorser—The person who guarantees payment; the one who indorses.
Infringe; Infringement—To trespass upon another's rights—as infringement of a patent or copyright.
Installment—An account or note the payment of which is to be made in several parts, at stated intervals.
Insolvent—Unable to pay one's obligations.
Instant—Principally used in correspondence to indicate the present month.
Insurance Policy—A contract between an insurance company and the insured.
Interest—The sum or premium paid for the use of money; one's share in a business or a particular property.
Inventory—An itemized schedule of the property or goods belonging to a business.
Investment—Money paid for goods or property to be held; not for speculation.
Invoice—A list of goods bought or sold. See Bill.
Jobber—One who buys from manufacturers and sells to retailers; a middleman.
Job Lot—An incomplete assortment of goods to be disposed of in a lump. Usually indicates small portions or remnants of a stock, the bulk of which has been sold.
Joint Stock—Property owned in common by several individuals known as stockholders.
Leakage—An allowance for waste of liquids in transit; refers particularly to liquids shipped in casks.
Lease—A written agreement covering the use of property during a specified period, at a stated rental.
Legal Tender—The lawful amount to be offered in payment of an obligation. Bank notes or other currency which passes for money.
Lessee—One who receives a lease. The lessor makes it.
Letter of Advice—A letter giving notice of some act in which the one receiving the advice has an interest—as making a shipment, notice of draft, etc.
Letter of Credit—A letter which authorizes the receiving, by the holder, of credit to a stated amount. Principally used by travelers to secure credit from foreign bankers.
Liabilities—The obligations or debts of a firm, corporation, or individual.
License—Permission, usually granted by a municipality, to conduct a specified business.
Liquidation—The closing-out of a business or an estate.
Loss and Gain—The amount of profits or losses of a business.
Maker—One who signs a note.
Manifest—A list or schedule of the articles in a ship's cargo, or of the goods comprising a shipment.
 
Order
Maturity—The time when an obligation or an account is due.
Mercantile Agency—A company which obtains and keeps for the use of its customers information showing the standing of business firms.
Merchandise—The stock in trade, or goods bought to be sold again.
Money Order—An order instructing a third party to pay money to the person named. A form in which money is transmitted.
Monopoly—The exclusive control of the manufacture or sale of an article.
Mortgage—A temporary transfer of title to land, goods, or chattels to secure payment of a debt.
Mortgagor—One who gives a mortgage. The one to whom the mortgage is given is the mortgagee.
Negotiable—An agreement or any commercial paper which can be transferred by delivery or endorsement—as a bank note or promissory note.
Net—Less all charges or deductions. Gross assets less liabilities leaves net capital; gross income less all expenses leaves net profit; etc.
Nominal—Having no actual existence; exists in name only.
Obligation—Indebtedness.
Open Account—An account which has not been paid.
Opening Entries—The entries made in the books when it is desired to open the accounts of a business.
Option—The right to be the first purchaser; a privilege.
Orders—Requests for the shipment of goods.
Original Entry—The first record made of a charge or credit which becomes the basis of proof of the account.
Overdraw—To draw a check for a greater amount than the drawer has on deposit in a bank.
Par—Face value.
Partnership—A firm; a union of two or more persons for the transaction of business or the ownership of property.
Payee—The one to whom money is to be paid. The one who pays the money is the payer.
Per Annum—By the year.
Per Cent or Per Centum—By the hundred.
Per Diem—By the day.
Personal Account—Any account with an individual, firm, or corporation.
Personal Property—All property other than real estate.
Petty Cash—A term used to signify small expenditures in actual cash.
Postdate—To date ahead; after the real date.
Post—To transfer amounts from books of entry to the ledger, which is the book of final record.
Power of Attorney—Authority to act for and in the name of another in business transactions.
Preferred Stock—Stock which participates in the profits before any dividend can be paid on the common or ordinary stock.
Premium—The amount paid above par value; the amount paid to an insurance company for insurance against loss.
Present Worth—The net capital of an individual.
Proceeds—The amount realized from a sale of property.
Profit and Loss—Synonymous with loss and gain.
Promissory Note—A promise, signed by the maker or makers, to pay a stated sum at a specified time and place.
 
Promissory Note
Pro Rata—A distribution of money or goods in proportionate parts.
Protest—A formal notice acknowledged before a notary that a note or draft was not paid at maturity, and that the maker will be held responsible for the payment.
Quotation—A price named for a given article or for services.
Ratify—To approve; to sanction the acts of an agent.
Raw Material—Material to be manufactured into other products—as iron ore, pig iron, lumber, etc.
Real Estate—Primarily refers to land, although buildings are frequently included.
Rebate—An allowance or deduction. See Allowance.
Receipt—An acknowledgment that money or something of value has been received.
Receiver—One appointed to take charge of the affairs of a corporation, either solvent or insolvent, and administer its affairs under orders of the court.
Remittance—Money or funds of any character transmitted from one place to another.
 
Power of Attorney
Renewal Note—A new note given to take the place of a note that is due.
Rent—A payment for the use of property owned by another.
Resources—Synonymous with assets.
Revenue—Income of a business.
Revoke—To recall authority of another to act as agent.
Royalty—A stipulated amount paid to the owner of a mine, patent, copyright, etc., usually based on sales. The owner of a copyright receives a royalty based on the number of books sold.
 
Receipt
Schedule—Inventory of goods or statement of prices.
Sight Draft—A draft payable on presentation or at sight.
Solvent—Able to pay one's debts.
Statement—Commonly used to designate a list of bills to customers during a stated period. Also used to designate a financial summary showing profits and losses of a business.
Stockholder—An owner of stock in a corporation or joint stock company.
Storage—The charge for keeping goods in a store or warehouse.
Surety—One who has guaranteed or made himself responsible for the acts of another.
Syndicate—A combination of capitalists, usually temporary, for the conduct of some financial enterprise.
Tare—The amount deducted from gross weights to cover weight of packages—as crates, boxes, barrels, etc.
Tariff—A schedule of prices, as freight tariff. The duties imposed on imports or exports.
Terms—The conditions governing a given sale. "Terms cash" means that payment is to be made as soon as goods are delivered.
Tickler—Memoranda of matters requiring attention in the future, arranged according to dates.
Time Draft—A draft which matures at some future date.
Trade Discount—The discount allowed by a manufacturer to a jobber or by a jobber to a retailer.
 
Statement
Trade Mark—See Brand.
Ultimo—Principally used in correspondence to designate last month.
Valid—Legal or binding; usually applied to a properly executed contract.
Value Received—Used in notes to indicate that value has been given.
Void—Without legal force; not binding.
Voucher—A receipt; a document which proves the accuracy of an account or the authority for an expenditure.
 
Voucher
Warehouse—A building used for storage purposes.
Warehouse Receipt—A document acknowledging the receipt of goods for storage in a warehouse.
Warranty—An agreement to assume responsibility if certain facts do not prove as represented.
Way Bill—A document containing a list of goods shipped by a railroad.
Wholesale—A business which sells goods in large quantities, usually in original packages and to the trade only.
Working Capital—The capital actually used in the active operations of a business.
COMMERCIAL ABBREVIATIONS
The commercial abbreviations in the following list are in constant[36] use in the various lines of trade, and should be thoroughly understood by the student of accounting.
| A 1 | First-class | 
| acct. | Account | 
| ad | Advertisement | 
| Agt. | Agent | 
| amt. | Amount | 
| Ans. | Answer | 
| Art. | Article | 
| asstd. | Assorted | 
| Ass't. | Assistant | 
| Atty. | Attorney | 
| bal. | Balance | 
| bbl. | Barrel | 
| B. B. | Bill Book | 
| bds. | Boards | 
| bdls. | Bundles | 
| bgs. | Bags | 
| bk. | Book | 
| bkt. | Basket | 
| B. L. or B/L | Bill of Lading | 
| bls. | Bales | 
| bot. | Bought | 
| B. P. or B/P | Bills Payable | 
| bro't. | Brought | 
| B. R. or B/R | Bills Receivable | 
| B. Ren'd. | Bill Rendered | 
| bu. | Bushel | 
| bx. | Box | 
| C. B. | Cash Book | 
| ¢ or cts. | Cents | 
| chgd. | Charged | 
| c. i. f. | Cost, Insurance, and Freight | 
| ck. | Check | 
| cks. | Casks, Checks | 
| Co. | Company | 
| C. O. D. | Collect on delivery | 
| Coll. | Collect or Collector | 
| Com. | Commission | 
| Com'l. | Commercial | 
| Cons'd. | Consigned | 
| Const. | Consignment | 
| Cr. | Credit or Creditor | 
| ctg. | Cartage | 
| cwt. | Hundredweight | 
| D. B. | Day Book | 
| Dept. | Department | 
| dft. | Draft | 
| dis. or Disc't. | Discount | 
| div. | Dividend | 
| do. or ditto | The Same | 
| doz. | Dozen | 
| Dr. | Debit or Debtor | 
| ds. | Days | 
| ea. | Each | 
| E. E. | Error excepted | 
| E. and O. E. | Errors and omissions excepted | 
| e. g. | For example | 
| Ent. | Entry or Enter | 
| Ent'd. | Entered | 
| etc. or &c. | And others; And so forth | 
| Exch. | Exchange | 
| ex. | Express | 
| exp. | Expense | 
| Exr. | Executor | 
| f. o. b. | Free on board | 
| fol. | Folio; Page of a book | 
| f'd, ford. | Forward | 
| frt. | Freight | 
| ft. | Foot, Feet | 
| gal. | Gallon | 
| gr. | Grain | 
| gro. or gr. | Gross | 
| guar. | Guaranteed | 
| hdkf. | Handkerchief | 
| hhd. | Hogshead | 
| hund. | Hundred | 
| I. B. | Invoice Book | 
| in. | Inches | 
| Ins. | Insurance | 
| Inst. | Instant (this month) | 
| int. | Interest | 
| inv. | Invoice | 
| invt. | Inventory | 
| I. O. U. | I owe you; A due bill | 
| J. | Journal | 
| lb. | Pound | 
| lbr. | Lumber | 
| lab. | Labor | 
| Manf. | Manufacture | 
| Mdse. | Merchandise | 
| Mem. | Memorandum | 
| Mfd. | Manufactured | 
| Mfst. | Manifest | 
| Mfr. | Manufacturer | 
| Mo. or mo. | Month | 
| Mtg. | Mortgage | 
| Ms. | Manuscript | 
| Mut. | Mutual | 
| Nat. or Nat'l. | National | 
| N. B. | Take notice | 
| No. | Number | 
| N. P. | Notary Public, Net Proceeds | 
| O. B. | Order Book | 
| O. K. | All Correct; Approved | 
| oz. | Ounce | 
| p. | Page | 
| pp. | Pages | 
| pay't or pm't. | Payment | 
| pc. | Piece | 
| pcs. | Pieces | 
| P. B. | Pass Book | 
| P. C. B. | Petty Cash Book | 
| pd. | Paid | 
| per. | By; By the | 
| [37]per an. | By the year | 
| pk. | Peck | 
| pkg. | Package | 
| pop. | Population | 
| pref. | Preferred | 
| Prem. | Premium | 
| Pro. | Proceeds | 
| prop'r. | Proprietor | 
| prox. | Next Month | 
| P. S. | Postscript | 
| pub. | Publisher | 
| Qr. or qr. | Quarter, Quire | 
| Qt. or qt. | Quart | 
| rec'd. | Received | 
| ret'd. | Returned | 
| R. R. | Railroad | 
| Ry. | Railway | 
| S. B. | Sales Book | 
| S. E. | Single Entry | 
| Sec. | Secretary | 
| Shipt. | Shipment | 
| Shs. | Shares | 
| Sig. | Signature | 
| S. S. | Steamship | 
| s. s. | To wit; Namely | 
| St. dft. | Sight Draft | 
| Sund. | Sundry | 
| Supt. | Superintendent | 
| sq. | Square | 
| T. B. | Trial Balance; Time Book | 
| ult. | Ultimo; Last month | 
| via. | By way of | 
| viz. | Namely | 
| Vol. | Volume | 
| vs. | Against | 
| W. B. | Way Bill | 
| Wk. | Week | 
| Wt. or wt. | Weight | 
| yr. | Year | 
| yd. or yds. | Yard or Yards | 
COMMERCIAL SIGNS AND CHARACTERS
The signs and characters most commonly used in business are the following:
| @ | To or At | 
| a/c | Account | 
| B/L | Bill of Lading | 
| B/R | Bills Receivable or Bill Rendered | 
| B/P | Bills Payable | 
| B/S | Bill of Sale | 
| ¢ | Cents | 
| c/o | Care of | 
| D/D | Days after date | 
| D/S | Days after sight | 
| F/B | Free on board | 
| J/A | Joint Account | 
| L/C | Letter of Credit | 
| L/M | Letters of Marque | 
| £ | Pounds Sterling | 
| o/c | On account | 
| o/c | Out of courtesy | 
| % | Per cent | 
| p | Per | 
| $ | Dollars | 
| # | Number, if written before a figure, as #25; Pounds, if written after, as 25# | 
| ✓ | Check Mark | 
| " | Ditto | 
| ° | Degrees | 
| ' | Prime; Minute; Feet | 
| " | Seconds; Inches; also used as Ditto marks | 
| 1¹ | One and one-fourth | 
| 1² | One and one-half | 
| 1³ | One and three-fourths | 
| + | Plus | 
| - | Minus | 
| × | By or times | 
| ÷ | Divided by | 
| = | Equals | 
DEFINITION AND OBJECTS OF BOOKKEEPING
1. Bookkeeping is the art of recording the transactions of a business in a manner that makes it possible to determine the accuracy of the records.
The objects of bookkeeping are:
(a) To exhibit a record of the separate transactions of a business.
(b) To furnish statistical information in respect to any particular class of transactions.
(c) To exhibit the financial standing or condition of a business.
When properly assembled the bookkeeping records become accounts (for definition, see Dictionary of Commercial Terms).
If correct methods are used, the bookkeeping records will be assembled or grouped in a manner to show their exact nature and their bearing on the status of the business, or the standing of the account.
2. Debit. The term debit designates those items in an account representing values with which we have parted, or transferred to another person or account. Debits are always placed on the left side (or in the left-hand column) of an account. Debits to persons are of the following classes:
(a) The transfer of merchandise.
(b) The rendering of services.
(c) The use of something of value.
Examples—
(a) We sell to John Doe two tons of coal at $7.50 per ton. We debit his account with the amount.
(b) We render services to Thos. Ryan for which he is to pay us a stated fee. We debit his account with the amount of the fee.
(c) We are to pay rent for the use of our offices. Our landlord debits us with the amount.
3. Credit. The term credit designates those items in an account representing value which we have received or which has been transferred to us. Credits are always placed on the right side (or in the right-hand column) of an account. Credits to persons are of the following classes:
(a) The receipt of merchandise or money.
(b) The rendering of services.
(c) The use of something of value.
Examples—
(a) John Doe pays us $10.00 on account. We credit his account with the amount.
(b) Our attorney makes a charge for legal services. We credit his account with the amount.
(c) We rent or lease property to another; and when payment is made, we credit his account.
4. Rules for Debit and Credit. Debit and credit are the fundamental principles of bookkeeping. The general rules to be followed in debits and credits are:
Debit cash when you receive it.
Debit a person when you trust him.
Debit a person when you pay him.
Credit cash when you pay it out.
Credit a person when he trusts you.
Credit a person when he pays you.
5. Balance. When the two sides of an account differ in amount, it is said to show a balance. If the debit side of the account is the larger, the difference is a debit balance. If the credit side of the account is the larger, the difference is a credit balance.
Example—If we debit John Doe's account for two tons of coal at $7.50 a ton, or $15.00 (see Example (a), Article 2), and credit his account with $10.00 paid (see Example (a), Article 3), the debit side of the account is $5.00 greater than the credit side. Therefore it shows a debit balance.
METHODS OF BOOKKEEPING
6. There are but two methods or systems of bookkeeping, and they are known as single entry and double entry. No matter in what form bookkeeping records are kept, the method must be either single or double entry.
Single entry is used only in very small businesses or by those who do not understand the advantages of double entry.
SINGLE ENTRY
7. As the name indicates, single entry is a single record of the transaction—that is, a record of one phase of the transaction only.
Example—John Doe's account would show that he received two tons of coal, but there would be no corresponding account to show that our supply of coal had been diminished.
Single entry fails to fulfil the object of bookkeeping, as it does not exhibit the true financial condition of the business, and is incapable of proof of accuracy.
DOUBLE ENTRY
8. Double entry is a system of making two entries (or a double record) of every transaction. In every business transaction, two distinct factors are involved—namely, that which is received, and that which is parted with. If we sell a given quantity of a commodity, we part with it, and the sale takes from or decreases the value of that particular commodity in our possession. If we sell for cash, the[40] transaction adds to our cash possessions; while if the value of the commodity is debited or charged to the account of a customer, it adds to the amount we are to receive from that customer.
9. Principle of Double Entry. Double entry is a system of debits and credits. One writer expresses it as a system of opposing contra things.
The fundamental principle of double entry is that there must be a corresponding credit for every debit.
Example—When we sell John Doe two tons of coal, we debit his account; but we have decreased the value of our stock of coal, and to complete the double entry, we credit coal account (or Merchandise, as the account representing our stock in trade is sometimes known). When he pays us money, we credit his account, and debit cash.
10. Advantages of Double Entry. The principal advantages of double entry bookkeeping are that the system permits of making an accurate exhibit of the standing of the business; it exhibits the profits and losses; it shows the sources of profits and the causes of losses; it permits of proof of the accuracy of the records.
 
11. Account books are ruled with special forms which adapt them to bookkeeping records. The forms of ruling are many and varied to suit the requirements of different classes of business. Rulings for double entry bookkeeping do not differ materially from those used in single entry. For double entry, at least two amount columns must be provided—one for debits, and one for credits.
The most common form of ruling is known as journal ruling. A book with this ruling is also known as a journal ledger.
The words in parentheses explain the purpose of the different columns. The abbreviations Dr. (debit) and Cr. (credit) are sometimes[41] written at the head of the amount column; but most bookkeepers omit them, as the position of the columns indicates their purpose.
DEMONSTRATION
To illustrate the manner of entering transactions in accounts, we show in the accompanying diagrams how the transactions used in the foregoing examples would appear in the proper accounts.
 
EXAMPLES FOR PRACTICE
1. On journal ruled paper, which can be procured at any stationer's, write up the account of John Doe as per example given in Articles 2 and 3.
2. Write up the account of John Doe, showing also the accounts necessary to complete the double entry, as per example in Article 11.
3. Write up the accounts covering the following transactions, by the single entry method:
Nov. 16. Sold to James Stevenson 4 cords of wood, at $4.75 per cord. Sold to Andrew White 2½ tons of coal, at $6.00 a ton.
Nov. 17. Sold to Wm. Johnson 1 ton of coal, at $7.00 a ton.
Nov. 19. Received from James Stevenson $12.00 cash, to apply on account.
Nov. 20. Received from Wm. Johnson $7.00 in payment of account.
4. Write up the same accounts by the double entry method, using a merchandise account to represent all classes of merchandise sold.
CLASSES OF ACCOUNT BOOKS
12. Account books are of two classes: (a) those in which complete records of transactions, or complete accounts, are kept; (b) those which contain particulars of individual transactions which must afterward be transferred to books of the (a) class.
Books of the (a) class are known as principal books or books of record; that is, they contain the final or permanent record of an account.
Books of the (b) class are of two kinds: (ba) books of original entry; (bb) auxiliary books.
Any book which contains the first (or original) record of a transaction is a book of original entry (ba).
 
 
A CORNER IN THE OFFICES OF THE PLATT IRON WORKS, DAYTON, OHIO
Any book in which records contained in books of original entry (ba) are assembled, to be transferred later to principal books (a), is an auxiliary book.
Any book used for the purpose of assembling statistical information is an auxiliary book.
The books most commonly used in double entry bookkeeping are: Order Book, Day Book, Cash Book, Journal, Sales Book, Purchase Book, Ledger.
13. Order Book. An Order Book is a book of original entry in which is entered a record of each order or request for the shipment or delivery of merchandise. The record shows the name and address of the customer, the kinds and quantities of goods wanted, and the prices at which they are to be sold.
The ruling of the order book varies according to the nature of the business. A simple form of ruling is shown.
14. Day Book. A Day Book is a book of original entry in which are entered full particulars of each completed transaction. These records are afterwards assembled in auxiliary books, from which they are transferred to the principal books.
 
The use of the day book was formerly universal, but it has been discarded by modern bookkeepers as its use involves unnecessary labor. The records formerly kept in the day book are now made directly in certain books then known as auxiliary, which makes of them books of original entry. The ruling of the day book is shown.
15. Cash Book. A Cash Book is a book of original entry containing records of all transactions which involve either the receipt or payment of cash. The records in the cash book are in fact a complete account with cash. We debit cash for all money received, and credit cash with all money paid out; therefore, the difference between the[44] total footings of the debit and credit sides of the cash book shows the amount of cash which we should have on hand. Since we cannot pay out more than we receive, the debit side should be the larger, unless both sides are equal, which shows that we have paid out all the cash received.
The amounts entered on the debit side of the cash book are transferred (or posted) to the credit side of the account of the one from whom the cash is received.
The amounts entered on the credit side of the cash book are posted to the debit side of the account of the one to whom the cash is paid.
 
There are many special forms of ruling for cash books, with separate columns for entering certain classes of receipts and payments of a special nature. The ruling of the cash book should be made to meet the requirements of the business in which it is to be used. A simple form of ruling is shown.
It will be noted that the left-hand page is used for the debit side, while the right-hand page is used for credits. This is the only account kept with cash.
16. Journal. A Journal is a book in which separate transactions are entered in a manner to preserve the balance necessary in double entry—that is, showing the proper debit and credit for each transaction. The journal is used for making adjusting entries, and it was formerly the custom to copy into this book from the day book the particulars of every transaction. Records are now made in the journal directly, which makes it a book of original entry.
The records in the journal are transferred or posted to the debit and credit sides of the accounts which they represent.
The journal is frequently combined with the cash book, and is then called a cash journal. An ordinary form of journal ruling is shown in Article 11.
17. Sales Book. A Sales Book is an auxiliary book in which is kept a record of all goods sold, showing name of purchaser, quantity and kind of articles, prices, and amounts.
A sales book is a journal of sales. The amounts of individual sales are posted (transferred) to the debit side of the accounts of the purchasers. The footings of the sales book are carried forward until the end of the month, when the total amount is posted as one item to the credit side of the merchandise account, completing the double entry.
The merchandise account has been universally used in the past, all purchases being debited and all sales credited to this account. Certain other accounts (which will be explained later) are now recommended by leading accountants, to take the place of the merchandise account.
Sales books are usually ruled to meet the special needs of each business, separate columns being provided for a record of special classes of sales, or sales of special kinds of goods.
18. Purchase Book. A Purchase or Invoice Book is the opposite of the sales book, being used for a record of all purchases made. Like the sales book, the totals are carried forward to the end of the month, and posted as one item to the debit side of the merchandise account. The amounts of the separate transactions are posted daily to the credit of the persons from whom the goods are purchased.
 
The purchase book is a purchase journal, and the ruling is the same as that of other journals.
19. Ledger. The Ledger is the principal book, in which particulars of every transaction of every nature are summarized. It is, in fact, a transcript of all other books of the business except those used solely for statistical purposes.
The ledger is the book which contains the final or complete records of all dealings, either with an individual or with respect to a specific class of transactions—as expenditures for a certain purpose, or receipts of a given character, or sales of a given kind of goods.
A transcript of the ledger accounts exhibits the progress and standing of the business.
Like other books, ledgers are now made with special forms of ruling, depending on the purpose for which they are to be used. The old style or common form of ledger ruling is shown (p. 35).
20. Invoice or Bill. An Invoice or Bill is an itemized statement or record of goods sold by one person to another. The invoice or bill is used in every line of business. A conventional form of invoice is shown (p. 5).
RECORDING TRANSACTIONS
21. The records of transactions in the journal which show what accounts are debited and what accounts are credited are called journal entries. The act of making these entries is known as journalizing.
It was formerly the custom to journalize each individual transaction from the day book, but in modern bookkeeping the journal is used only for adjusting and special entries.
22. Posting. When the record of a transaction is transferred to the ledger from a book of Class (b), it is said to be posted. The act of making the transfer is called posting.
The original method was to itemize all transactions in the ledger, but the present custom is to post the totals only.
23. When a record is transferred from one book of Class (b) to another, or posted to the ledger, the page number of the book to or from which it is transferred or posted is entered in the column known[47] as the folio column. This is done that the transaction may be traced from one book to another. The presence of the page number also serves as a check to show that the item has been posted.
Example—An item is to be posted from page 1 of the sales book to page 10 of the ledger. In the folio column of the ledger will be entered "S 1" indicating that the item will be found on page 1 of the sales book. In the folio column of the sales book will be entered "10" indicating that the item has been posted to page 10 of the ledger.
24. Ledger Index. An index to the ledger is necessary to enable us to find the accounts. In small ledgers the index is placed in the front of the book itself, while for large ledgers a separate index book is used. There is a distinct advantage in this, as the index book can be kept open on the desk while posting is being done, and the names found much quicker than when it is necessary to turn the leaves of the ledger to find the index.
When an account is opened in the ledger, the name should be written in the index, followed by the page number. The names in the index are arranged in alphabetical order, each name being written under the letter of the alphabet corresponding to the first letter in the name. For example:
| A | B | C | |||||
| Adams, J. C. | 11 | Bacon, I. H. | 2 | Crandall, Jas. | 7 | ||
| Andrews, Henry | 14 | Brown, Henry | 9 | Campbell, Don. | 12 | ||
In a large index, one or more pages are used for a letter; while in a small index, several letters may be placed on the same page.
SAMPLE TRANSACTIONS
25. The following sample transactions are carried through the books described in this section, showing the proper entries and postings (see pp. 40-43). The day book has been omitted, as it is practically obsolete, not being used by progressive bookkeepers.
Muskegon, Mich., Nov. 1, 1907.
I, Robert B. Robinson, have this day commenced business as a wholesale dealer in groceries and provisions. I have rented the store located at 68 Pine St., from Geo. Baker, at $40.00 a month. My resources and liabilities are as follows:
| Resources | ||||
| Cash on hand | $ | 2,462.50 | ||
| Merchandise per inventory | 1,147.20 | |||
| Due me from Roger Bros. | 219.40 | |||
| Liabilities[48] | ||||
| C. B. Whitney, Grand Rapids | $ | 126.90 | ||
| My net investment | 3,702.20 | |||
| —Nov. 1— | ||||
| Bought from Grand Rapids Gro. Co., Grand Rapids, Mich. | ||||
| On account | ||||
| 10 cwt. sugar | $4.85 | $ | 48.50 | |
| 10 bbls. flour | 5.25 | 52.50 | ||
| 150 " salt | 1.10 | 165.00 | ||
| 2 " molasses 48 | ||||
| 50,98 gals. | .30 | 29.40 | $295.40 | |
| —1— | ||||
| Paid Geo. Baker | ||||
| For 1 month's rent | Cash | 40.00 | ||
| —2— | ||||
| Sold to Geo. Wiggins, 110 Ottawa St. | ||||
| On account | ||||
| 1 box B. B. soap | 3.75 | |||
| 1 case X. X. corn | 1.60 | |||
| 100# soda biscuit | 4.25 | 9.60 | ||
| —3— | ||||
| Sold to Smith & Nixon, 262 Western Av. | ||||
| On account | ||||
| 2 bbl. flour | 6.15 | 12.30 | ||
| 2 cwt. sugar | 5.15 | 10.30 | ||
| 1 bbl. molasses, 48 gal. | .35 | 16.80 | 39.40 | |
| —5— | ||||
| Bought from William Bratton, 48 Jefferson Av., Detroit | ||||
| On account | ||||
| 10 sacks Java coffee, 1,000# | .25 | 250.00 | ||
| —6— | ||||
| Sent to C. B. Whitney, Grand Rapids | ||||
| Draft to balance account | 126.90 | |||
| —7— | ||||
| Sold to H. A. Brainerd, 961 Lake Av. | ||||
| On account | ||||
| 2 bbls. salt | 1.35 | 2.70 | ||
| 10# baking powder | .42 | 4.20 | 6.90 | |
| —8—[49] | ||||
| Charge Grand Rapids Gro. Co. | ||||
| 1 bbl. flour received in bad order | 5.25 | |||
| —9— | ||||
| Sold to Bryan Bros., Lakeside | ||||
| On account | ||||
| 2 bbls. salt | 1.35 | 2.70 | ||
| 20# raisins | .08 | 1.60 | 4.30 | |
| —10— | ||||
| Bought from H. A. Edwin, Chicago | ||||
| On account | ||||
| 20 bbls. pork | 10.30 | 206.00 | ||
| —12— | ||||
| Sold for cash | ||||
| 3 bbl. pork | 11.35 | 34.05 | ||
| —13— | ||||
| Sold to R. C. Ellison, 10 Jefferson Av. | ||||
| On account | ||||
| 2 bbl. pork | 11.40 | 22.80 | ||
| 5 bu. beans | 2.10 | 10.50 | 33.30 | |
| —14— | ||||
| Received from Geo. Wiggins | ||||
| Cash to balance | 9.60 | |||
| —15— | ||||
| Sent to Grand Rapids Gro. Co. | ||||
| Draft to balance | 290.15 | |||
| —16— | ||||
| Sold for cash | ||||
| 1 box soap | 3.75 | |||
| —17— | ||||
| Received from Smith & Nixon | ||||
| Cash on account | 25.00 | |||
 
 
 
 
PROMISSORY NOTES
26. A promissory note is a form of commercial paper much used in business. Goods are sold on specific terms—that is, to be paid for in a certain time after date. Profits are based on the supposition that the bills will be paid when due. When not so paid, the debtor is virtually borrowing money from the creditor, and should pay interest for the use of that money just as he would if he had borrowed it from a bank. To settle the account when it is not convenient to pay cash, it is customary to give a promissory note for the amount, plus interest, payable on a certain date. The promissory note is more convenient for the creditor; for when it bears his endorsement, his bankers will discount it, thus giving him the money for use in his business. Even though he may not discount it, the promissory note is better for the creditor, as it gives him a definite promise to pay, which he does not have when the debt is represented by an open account.
27. Bills Receivable and Bills Payable. The commercial term for promissory notes accepted by us is Bills Receivable. The commercial term for promissory notes given by us is Bills Payable. The term "bill" is used in this connection for the reason that a promissory note is a negotiable instrument, and when indorsed it becomes practically a bill of exchange. The accounts in the ledger which represent notes receivable and notes payable are called Bills Receivable Account and Bills Payable Account.
The bills receivable account is debited when a note is received, and credited when a note is paid. The balance of bills receivable account shows the amount of unpaid notes payable to us.
The bills payable account is credited when we give a note and debited when we pay a note. The balance of bills payable account shows the amount of the notes that we owe.
28. Bill Book. For the purpose of keeping a record of bills receivable and bills payable, a book known as a bill book is used. Any draft, note, due bill, or other written promise to pay a specified sum at a stated time, should be treated as a note or bill—receivable or payable, as the case may be. The bill book is an auxiliary book, and the record kept is usually treated as a memorandum only, records of each transaction being made in the journal. The form shown (p. 45) is one in common use.
 
29. Acceptances. A draft when accepted—that is, when it becomes an acceptance—has the same value as a promissory note, for it is a definite promise to pay on a specified date. Drafts are used for the collection of accounts in other cities than the one in which the creditor's place of business is located. A draft may call for payment a certain number of days after date, or it may call for payment at sight. The former is known as a time draft, while the latter is a sight draft.
30. Discount and Exchange. When a promissory note is taken to the bank for the purpose of raising money, it is customary for the banks to calculate the interest for the time the note is to run, and to deduct this from the principal, giving the borrower the net amount only. In other words, the interest is paid in advance, and such advance payment of interest is called discount.
When a draft is collected through a bank, a small fee is charged, and this fee is called exchange. Exchange is also charged for the collection of out-of-town checks, especially if they are drawn on banks in small towns and cities.
BANK DEPOSITS
31. When money is deposited in a bank, a list of the items in the deposit is made on a blank known as a deposit ticket or deposit slip. These deposit tickets are furnished by the bank for the convenience of its customers.
32. Signature Card. Money deposited in a bank can be withdrawn only by presenting a written order or check, signed by the one in whose name the money is deposited. That the bank may know that money is not paid on checks that do not bear the correct signature, each depositor is required to leave at the bank the signature or signatures which are to be honored. These signatures are written on a card, known as a signature card, which the bank keeps for reference.
33. Check Books. Blank checks are usually bound in book form, the checks themselves being perforated so that they can be easily removed. These check books are in most cases furnished by the bank. The number of checks on a page varies, but is seldom more than four. When a check is written, the number, date, name, and amount should be written on the face of the stub. To keep a convenient[57] record of the balance in the bank, it is well to enter a list of all checks and deposits on the back of the check stubs.
 
Signature Card
34. Pass Book. The bank pass-book should be taken to the bank whenever a deposit is made, as it contains the bank's receipt for all money deposited.
35. Indorsement of Checks. Before a check can be deposited in the bank, it must be indorsed by writing the name of the payee across the back. The indorsement should be on the back of the left end of the check—never on the right end. Several forms of indorsement are shown (p. 48). When the name only is written, it makes the check payable to the bearer, and is known as a blank indorsement. When the words "Pay to" are used, the check becomes payable to the one whose, name appears immediately under the words. It can only be paid to him in person or credited to his account at any bank at which he may deposit the check. A check indorsed with the words "Pay to the order of" permits of a further transfer, and provides a receipt from the one to whom it is so indorsed. When a check is to be deposited, the proper indorsement is "For deposit only." This is of special importance when deposits are sent by messenger. Such indorsements usually include the name of the bank, and are made with a rubber stamp.
36. Depositing Cash. It is a good plan to deposit all cash[58] received and to pay all bills by check, except such small items as are paid from petty cash. By doing this, all transactions pass through the bank, providing a receipt in every case in the form of a canceled check bearing the indorsement of the payee.
 
Endorsement
37. Treatment of Petty Cash. It is customary in business establishments to keep on hand a certain sum of cash out of which to pay items of expense such as office supplies, etc., when the amount is too small or it is not convenient to write a check.
The best way to handle this is to draw a check for a certain amount, and keep this money separate from the cash received from day to day. At the end of the month, or sooner if the fund is low, draw a check payable to cash for the amount paid out and charge it to expense. This will leave the fund intact.
Example—We shall suppose the amount of petty cash to be kept on hand to be $25.00; and the amount paid out, $15.60, leaving $9.40 on hand. A check will be made for $15.60, to be charged to expense through the regular cash book. The cash will be drawn from the bank, and the amount added to the $9.40, making a total of $25.00.
A record of petty cash is usually kept in a small book called a petty cash book. This book has the regular two-column journal ruling. In handling petty cash, great care should be taken to secure a receipt in some form for every payment.
 
A BIRD'S-EYE VIEW OF THE BELOIT, WIS., FACTORY OF THE FAIRBANKS-MORSE CO.
SAMPLE TRANSACTIONS
38. The following sample transactions taken from the books of W. B. Clark, Ames, Ia., illustrate the use of the papers and accounts explained in this section, and show how the transactions would appear on the books.
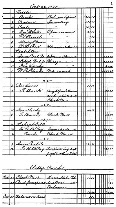
Mr. Clark is a shipper of produce, and a retail dealer in coal. His assets and liabilities are as follows:
| Assets | ||
| Cash in bank | $1,262.78 | |
| Inventory, Produce | 685.00 | |
| " Coal | 747.50 | |
| Geo. White—Open account | 21.00 | |
| F. H. Russel " " | 7.00 | |
| Henry Brown " " | 8.00 | |
| O. L. Duncan—Note due Dec. 1 | 27.00 | $2,758.28 | 
| ———— | ||
| Liabilities | ||
| Iowa Coal Co., Des Moines, Open acct. | $120.00 | |
| Lehigh Coal Co., Chicago, Ill., Open acct. | 325.00 | |
| George Hardy, Open account | 60.00 | 505.00 | 
| ———— | ||
As he wishes to know how much business he is doing in each department of his business, he keeps accounts in the ledger with both produce and coal instead of one merchandise account. In the sales book, one column is used for coal sales, and one for produce sales. No purchase book is kept, all purchases being posted from the journal or cash book.
| —Oct. 22— | ||
| Bought from David Andrews, for cash | ||
| 200 bu. potatoes @ | .42c | $84.00 | 
| Paid by check No. 11. | ||
| —22— | ||
| Sold to Albert Long on account | ||
| 2 tons run of mine coal | $3.25 | 6.50 | 
| —23—[60] | ||
| Received from Geo. White on account | ||
| Cash | 10.00 | |
| —24— | ||
| Sold to Taft Produce Co., Des Moines, on account | ||
| 148 bu. beans | 3.10 | 458.80 | 
| —24— | ||
| Drew from bank for petty cash | 10.00 | |
| Check No. 12. | ||
| —25— | ||
| Sold to Geo. Hardy on account | ||
| 1½ tons nut coal | 9.00 | 13.50 | 
| Gave him check No. 13. | 46.50 | |
| —27— | ||
| Gave to Lehigh Coal Co., Chicago. | ||
| 60-day note | 200.00 | |
| Check No. 14. | 125.00 | |
| —28— | ||
| Taft Produce Co. paid sight draft through Iowa | ||
| National Bank | 458.80 | |
| —29— | ||
| Accepted 30-day draft made by Iowa Coal Co. | 120.00 | |
| Payable at Ames State Bank | ||
| —30— | ||
| Deposited in Ames State Bank | ||
| Draft Iowa National Bank | 458.80 | |
| Cash | 10.00 | |
| —30— | ||
| Paid for repairs to stove, cash | 1.20 | |
| —31— | ||
| Sold for cash, ½ ton egg coal | 4.50 | |
 
 
 
 
 
 
 
ACCOUNTING DEPARTMENT IN THE NEW YORK OFFICE OF J. WALTER THOMPSON COMPANY
CLASSES OF ACCOUNTS
39. In double entry bookkeeping, the accounts used may be divided into the two general classes of personal and impersonal. For the purpose of more complete classification, the second class is further subdivided into real, representative, and nominal accounts.
40. Personal Accounts. A personal account is a record of transactions with a particular person or persons.
Examples—
A record of transactions with persons who buy goods from us.
A record of transactions with persons from whom we buy goods.
 
41. Real Account. A real account is a record of transactions with respect to a particular property. Properties which we possess are termed resources or assets; therefore all real accounts are also asset accounts.
 
Examples—
Real estate (land and buildings), Machinery, Furniture, Merchandise, etc.
42. Representative Account. A representative account is a summary of all debit or credit transactions of a particular class with respect to several personal accounts. The debit or credit to this account completes the double entry, and illustrates the rule that in double entry there must be a credit for every debit.
Example—
We sell goods to a number of customers, and the amounts of these sales are debited to their several accounts. To complete the double entry, we credit the total amount of these sales to an account called sales account. The total credits to this account during any given period represent the sales to all customers for the same period, and the sales account is a representative account.
The total debits to all customers' accounts for goods purchased in one month amount to $1,423.62. This amount is credited to the sales account. Likewise the purchases for the same period amount to $947.20, and the several amounts are credited to the personal accounts of those from whom the purchases were made, while a like amount is debited to a representative account known as a purchase account.
 
43. Nominal Account. A nominal account is a record of transactions having to do with profit and loss; a record of a particular class of expenditures from which no direct returns are expected;[71] any impersonal account which does not come under the classification of real or representative accounts.
Example—
We buy coal to be used in heating our building. The coal is not to be resold, but its use is necessary; it is one of the expenses of conducting the business, and we charge the amount to an expense account. Expense is a nominal account kept for the purpose of showing the total expenses of the business.
 
44. Merchandise Account. The merchandise account is a real account formerly much used, but discarded by modern accountants. When used, this account is debited with all purchases of merchandise and credited with all sales. The account is also charged with all goods returned by our customers, and credited with all goods which we return to those from whom we have purchased them. Goods returned by our customers are charged at the prices at which they were purchased by the customers; consequently the debit side of the merchandise account does not furnish a true exhibit of our purchases; neither is the credit side a true exhibit of our sales. Since the merchandise account furnished no valuable information, other accounts which exhibit more vital statistics have been substituted.
45. Purchase account is one of the accounts substituted for the merchandise account. This account is charged with all purchases as represented by the footings of the purchase book or purchase journal. This completes the double entry, the separate purchases having been credited to the personal accounts of those from whom the goods were purchased. All returns or other similar[72] deductions allowed on purchase invoices are charged to those from whom the purchases were made and credited to purchase account. The balance of the purchase account then shows the total net purchases.
46. Sales account takes the place of the credit side of the merchandise account. All sales as shown by the footings of the sales book are credited to the sales account, completing the double entry. All returns and allowances are likewise charged to the sales account. The balance of the sales account shows total net sales.
SAMPLE TRANSACTIONS
47. The following transactions, properly recorded in journal sales book, purchase book, and ledger, demonstrate the uses of the merchandise, purchase, and sales accounts explained in the preceding paragraphs:
| —Sept. 20— | |||
| Bought from American Furniture Co., Grand Rapids | |||
| 2 #four-drawer V F cabinets | $11.00 | $22.00 | |
| 4 #35 card sections | 4.20 | 16.80 | |
| 1 #35 top | 1.75 | ||
| 1 #35 base | 1.25 | $41.80 | |
| ——— | |||
| —21— | |||
| Bought from Morgan Printing Co., Chicago | |||
| 5,000 #1 plain ruled #35 cards | .90 | 4.50 | |
| 3,000 #1 ledger " #35 " | 1.50 | 4.50 | |
| 2,000 #1 " " #46 " | 2.00 | 4.00 | 13.00 | 
| ——— | |||
| —22— | |||
| Sold to Ackers & Co., 224 Randolph St. | |||
| 4 #35 sections | 5.50 | 22.00 | |
| 1 #35 top | 2.25 | ||
| 1 #35 base | 1.75 | 26.00 | |
| ——— | |||
| —23— | |||
| Sold to Thompson & Co., 94 Monroe St. | |||
| 2,000 #1 plain ruled 35 cards | 1.25 | 2.50 | |
| —24—[73] | |||
| Received from Ackers & Co. | |||
| 1 #35 section | 5.50 | ||
| (Damaged) | |||
| —25— | |||
| Shipped to American Furniture Co. | |||
| 1 #35 section | 4.20 | ||
| (Received in bad order) | |||
In the first demonstration, the footings of the sales and purchase books, as well as the returns entered in the journal, are posted to a merchandise account. It will be noted that the debit side of the merchandise account does not represent the actual purchases, and the credit side does not represent the sales.
In the second demonstration, the purchase and sales accounts are used. Total sales are credited to sales account from purchase book, and returns credited from the journal. The balances of these accounts show actual net purchases and sales.
 
 
 
CLASSES OF ASSETS
48. Asset accounts are accounts representing resources or assets of the business. Assets are classified as Fixed; Active or Floating; Passive or Speculative; Fictitious.
Fixed assets are those permanent forms of property which are a necessary part of the equipment used for conducting the business—such as real estate, buildings, machinery, etc.
Active or floating assets are those forms of property of which the quantity in our possession varies from day to day—as merchandise, accounts, cash, etc.
Passive or speculative assets are those (a) whose values are not readily determined, or (b) whose values are subject to market fluctuations—as, for example, (a) franchises, copyrights, patents; (b) stocks, bonds, or other speculative securities.
Fictitious assets are those which are not represented by tangible property, or which are of value to a going business but would have no market value if the business were closed out or liquidated. These assets are frequently represented by an expense account on the books. The initial advertising expense necessary to launch the business successfully is frequently carried on the books as an asset. The amount of such advertising expense is spread over a stated period, a certain proportion being charged into the regular expense accounts each year until the entire amount is used.
49. Examples of Fixed Assets. The assets of an ordinary mercantile business are of the first two classes only—fixed and floating. The most common forms of fixed assets of such a business are:
Real Estate—generally understood to include land and buildings owned and used in the business.
Furniture and Fixtures—represented by office and store furniture, shelving, counters, stoves, furnaces or other heating appliances, lighting fixtures.
Horses and Wagons or Trucks—including all horses, wagons, trucks, harness, or motor-cars used for hauling goods.
If the business is one in which these classes of property are dealt in, they become active assets. Land, for example, would[78] be one of the active assets of a business organized to buy and sell real estate.
50. Examples of Floating Assets. The active or floating assets of a mercantile business are:
Merchandise—meaning the stock in trade or goods dealt in.
Accounts—the open accounts of customers who owe for goods purchased.
Notes or Bills Receivable—all outstanding notes payable to the firm.
Cash—the amount of cash on hand and in the bank.
51. Examples of Passive Assets. Passive or speculative assets are more frequently found on the books of a manufacturing business, a corporation, or a business a part or whole of which has been sold by the original owners. Examples of these assets are:
Patents—A manufacturer owns a patent the value of which depends upon future profits resulting from the manufacture and sale of the article which it covers. It is customary to place a value on the patent, and to consider it an asset of the business.
Good-Will—A man has established a business which has become extremely profitable, and in selling the business he places a certain value on the reputation or goodwill which he has built up.
Speculative—A firm having a surplus not required in the business sometimes invests it outside of the business with the expectation of realizing a profit by selling at an advanced price. They buy grain or provisions, mining or railway stocks, etc. Or an investment may be made in the stock of some manufacturing business to be established in the town, because such an enterprise, if successful, will naturally result in an increase in their own business.
52. Examples of Fictitious Assets. Fictitious assets are seldom found on the books of other than corporations where a large initial promotion expense is involved. A good example of a fictitious asset is:
Advertising—A business house may decide on an average annual expenditure for advertising; but to be effective, the expenditures for the first two or three years may necessarily exceed this amount. The excess is considered as an investment since it is expected that as the business becomes firmly established the annual expenditure can be reduced to an amount even less than that estimated, gradually[79] reducing the amount carried on the books as an asset. To illustrate:
| Annual advertising appropriation for ten years is $10,000.00 | |||
| Expended first year | $18,000.00 | ||
| Deduct appropriation | 10,000.00 | ||
| ————— | |||
| To advertising inventory | 8,000.00 | ||
| Expended second year | 15,000.00 | ||
| Deduct appropriation | 10,000.00 | ||
| ————— | |||
| To advertising inventory | 5,000.00 | ||
| Expended third year | 10,000.00 | ||
| Deduct appropriation | 10,000.00 | ||
| ————— | |||
| To advertising inventory | 000.00 | ||
| Appropriation fourth year | 10,000.00 | ||
| Expended " " | 8,000.00 | ||
| ————— | |||
| To credit advertising inventory | 2,000.00 | ||
| Appropriation fifth year | 10,000.00 | ||
| Expended " " | 9,000.00 | ||
| ————— | |||
| To credit advertising inventory | 1,000.00 | ||
| Appropriation sixth year | 10,000.00 | ||
| Expended " " | 10,000.00 | ||
| ————— | |||
| To advertising inventory | 000.00 | ||
| Appropriation seventh year | 10,000.00 | ||
| Expended " " | 9,000.00 | ||
| ————— | |||
| To credit advertising inventory | 1,000.00 | ||
| Appropriation eighth year | 10,000.00 | ||
| Expended " " | 8,000.00 | ||
| ————— | |||
| To credit advertising inventory | 2,000.00 | ||
| Appropriation ninth year[80] | 10,000.00 | ||
| Expended " " | 7,000.00 | ||
| ————— | |||
| To credit advertising inventory | 3,000.00 | ||
| Appropriation tenth year | 10,000.00 | ||
| Expended " " | 6,000.00 | ||
| ————— | |||
| To credit advertising inventory | 4,000.00 | ||
| ————— | ————— | ||
| $13,000.00 | $13,000.00 | ||
REVENUE ACCOUNTS
53. The term revenue (synonymous with income) is used to designate those items which, when brought together in an account, exhibit the profit or loss of the business.
Revenue receipts are the receipts which originate exclusively from the sale or exchange of the commodities or things of value for the handling of which the business has been organized.
Revenue expenditures are those expenditures connected with the expense of operation or administration of a business, including such items of expense as postage, printing, salaries, rent, etc.
Revenue accounts is a term used to designate those accounts that represent revenue receipts or revenue expenditures.
54. Revenue Receipts. The account representing revenue receipts in all lines of business (though it may sometimes be known by another name) is the sales account—a representative account showing net sales. Net sales, less cost of goods sold, represent gross profits. Gross profits, less cost of conducting the business (revenue expenditures) represent net profits.
55. Expense. The broad term expense account represents all revenue expenditures; but in modern bookkeeping the amounts of the different classes of expense are kept separate as far as possible.
Some of the most commonly used divisions of expense are: Rent; Insurance; Taxes, Interest and Discount; Out Freight and Express; Heat and Lights; Labor; Salaries, etc. It is customary to open one account in the name of General Expense, to care for expenditures not included in special accounts.
56. Insurance—A nominal account to which is charged all sums paid to insurance companies (called premiums), in consideration of which our property is insured against loss by fire, cyclones, or other disaster.
57. Rent—A nominal account to which is charged all sums paid for use of property which we rent or lease from others for the benefit of our business—usually the buildings in which our business is transacted or in which our goods are stored.
58. Taxes—A nominal account to which are charged all taxes and license fees paid on account of property owned or business transacted.
59. Interest—This is a nominal account which should include only interest charges paid or interest earned on account of capital. When we borrow money or discount a note, we do it because we need cash capital, and the interest paid is a capital expense or a direct source of loss. Exchange charged for the collection of notes and drafts belongs in the same class. All interest paid for the use of money, and exchange paid for the collection of notes, drafts, and checks, should be debited to interest account. When we save the discount by prepayment of bills, the discount is earned by the use of capital. All such earnings are a direct source of profit and should be credited to interest account. Discount paid on notes is interest paid in advance, and should not be confused with discounts allowed to customers for the prompt payment of bills; the latter is a reduction in the price received for our goods, and reduces trading profits. This question is discussed under the head of Cash Discounts.
60. Out Freight and Express—A nominal account which is debited with all transportation charges paid on goods that we ship, whether sales are made at delivered prices or freight is paid as an accommodation to the customer. When goods are sold at f. o. b. prices, and the freight is paid by us as an accommodation to the customer, out freight should be credited and the customer debited.
This should not be confused with in freight, or freight paid on goods received, as such charges add to the cost of the goods and should be charged to the account representing that particular class of goods.
61. Heat and Light—This account is debited with all sums paid for fuel, heating bills, lighting bills, and lighting supplies.
62. Labor—A nominal account which is debited with all sums paid as wages to mechanics or laborers employed by the business.
63. Salaries—A nominal account which is debited with all salaries paid to managers, salesmen, clerks, and others employed in the administration of the business.
RULES FOR JOURNALIZING
64. Journalizing is one of the most important operations in bookkeeping, since journalizing a transaction involves the selection of the proper accounts to be debited and credited completing the double entry. With the use of separate sales and purchase records, the journal itself is used principally for those entries involving a transfer of values from one account to another. These are frequently referred to as cross entries. The number of possible entries of this class is practically unlimited, and they require careful study on the part of the bookkeeper.
Rules for journalizing are frequently referred to in bookkeeping textbooks; but, since the custom of journalizing every transaction is now obsolete, the term is no longer sufficiently descriptive. A better term to use would be rules for debit and credit, for it is the rules of debit and credit that must be followed when a journal entry is to be made.
 
65. Three-Column Journal. A three-column journal suitable for a small business is shown above. The third column is used for sales only, while the first two columns are used for regular journal entries. The use of the column for sales answers the same purpose[83] as a sales book, and total sales are posted to the credit of sales account at the end of the month.
SAMPLE TRANSACTIONS
66. For the purpose of demonstrating the principles of debit and credit as exemplified in the journal, the following transactions except those involving cash are journalized in a three-column journal. The third column is used for sales, and it is to be understood that a cash account is kept in a separate cash book.
| —April 2— | |||
| Sold to Hiram Watson on account | |||
| 10# gran. sugar | 5½c. | $.55 | |
| 3 bars soap | .25 | ||
| 2# starch | 5 | .10 | |
| 2 cans corn | .25 | $1.15 | |
| —— | |||
| —2— | |||
| Paid electric light bill—cash | 4.75 | ||
| —2— | |||
| Sold for cash sundry merchandise | 8.60 | ||
| —3— | |||
| Bought from Eureka Milling Co. on account | |||
| 5 bbls. XXX flour | 3.75 | 18.75 | |
| —4— | |||
| Sold to J. L. Jarvis on account | |||
| ¼ bbl. flour | 1.25 | ||
| 2# butter | .32 | .64 | |
| 1# coffee | .30 | ||
| 10# lard | .11 | 1.10 | 3.29 | 
| —— | |||
| —4— | |||
| Bought from J. L. Jarvis on account | |||
| Fire Insurance on stock and fixtures, $3,000.00 for one year from date | 18.00 | ||
| —5— | |||
| Paid Eureka Milling Co. cash | 18.75 | ||
| —6— | |||
| Sold to J. L. Jarvis on account[84] | |||
| 1# cheese | .16 | ||
| 1 doz. eggs | .22 | ||
| 1# baking powder | .50 | ||
| 3 bu. potatoes | .65 | 1.95 | 2.83 | 
| —— | |||
| —6— | |||
| Bought from Atlas Safe Co. on account | |||
| 1 office safe | 50.00 | ||
| Paid cash for repairs to door lock | .40 | ||
| Sold for cash sundry merchandise | 16.70 | ||
 
 
EXAMPLES FOR PRACTICE
1. After you become familiar with each entry and the nature of the accounts to be debited or credited, journalize the transactions given in Article 66, then compare with the model journal, and see if your work is correct.
2. Journalize the following transactions:
| —April 10— | ||
| Bought from David Cole & Son on account | ||
| 100 bbls. flour at | $4.60 | $460.00 | 
| —10— | ||
| Sold to L. H. Stebbins on account | ||
| 20 bbls. flour at | 5.10 | 102.00 | 
| —10— | ||
| Sold to Henry Waterbury on account | ||
| 30 bu. beans | 2.00 | 60.00 | 
| 20 " oats | .37 | 7.40 | 
| —11— | ||
| Paid to David Cole & Son | ||
| Cash on account | 160.00 | |
| Gave them my note for 30 days | 300.00 | |
| —11— | ||
| Received note from L. H. Stebbins | ||
| for 30 days to balance account | 102.00 | |
| —12— | ||
| Paid cash for harness oil | .35 | |
| —12— | ||
| Henry Waterbury paid cash on account | 40.00 | |
RULES FOR POSTING
67. The act of transferring all items from the journal, sales book, purchase book, cash book, or other books to the ledger is called posting. All items relating to one account are posted to that account in the ledger; thus all sales are posted to the sales account, and all transactions with a person are posted to the account of that person. Every debit must be posted to the debit side of the corresponding account in the ledger.
68. Routine. The first operation in posting is to open an account in the ledger by writing the name of the account on the line at the head of the ledger page. The month and day are then written in the date column; the page of the book from which the item is posted is written in the folio column, and the amount is placed in the money column. The final operation is to place the number of the ledger page in the folio column of the book from which the item was transferred, directly opposite the item posted.
Posting from Journal. In posting from the journal, all items in the left or debit columns are posted to the debit side of the corresponding ledger accounts, while all items in the credit column are posted to the credit side of the ledger accounts.
The first item in the journal in the preceding section is a debit to Hiram Watson, amount $1.15. It is necessary to open an account in the ledger, which is done by writing Hiram Watson's name at the head of the page, above the date column on the left side of the page; in the date column we write the date, April 2; in the folio column we write the journal page, 1: and in the money column we write the amount, $1.15. The number of the ledger page is now written in the folio column in the journal, directly opposite the name of Hiram Watson.
The second transaction recorded in the journal is a purchase which makes it necessary to open a purchase account in the ledger, to which is debited the amount of the purchase $18.75. The first transaction recorded in the journal is a sale, therefore the credit is to the sales account. Since we are placing all sales in a special column, the amount will not be posted until the end of the month, when the total sales will be posted to the credit of the sales account as one item. In the second transaction, the credit is to a personal[89] account, and we open an account in the ledger with Eureka Milling Co., following the same routine in posting as with debit items, except that the item is posted to the credit side of the account.
Posting from Cash Book. When posting from the cash book, it must be remembered that all items on the left-hand page (which debit cash) must be posted to the credit of some other account; and that all items on the right-hand page (which credit cash) must be posted to the debit of an account in the ledger.
Why cash received is entered on the left-hand page of the cash book, and cash paid out on the right-hand page, is a point not always clear to the bookkeeper. To obtain a clear view of this point, it should be remembered that the cash book is nothing more or less than a ledger account with cash, and cash received is entered on the left-hand page (or debit side) for the reason that any account is debited for what is received or is added to it.
We sell merchandise, for example, and the person is debited because he receives it. We buy real estate; the real estate account is debited because our real estate possessions are added to. Broadly speaking, we (the business) receive the real estate; but, instead of charging the amount to ourselves (the person), we charge it to Real Estate, that we may know the amount of our real estate investment.
A customer pays us cash; cash is debited because our cash possessions are added to. We might charge the amount to our account; but we prefer to charge it to a cash account that we may know how much cash we have on hand. We pay out cash; cash is credited because cash has gone out of our possession. The main point of difference is that we post to other ledger accounts direct from the cash book, which is itself a ledger account, instead of journalizing cash transactions.
If cash transactions were journalized—
Cash
To Person
Person
To Cash
the amounts would be posted to the debit or credits of the cash account in the ledger; but for convenience we keep the cash accounts in a separate book. Journalizing a few of the transactions given will clearly demonstrate the point.
TRIAL BALANCE
69. A trial balance is a list of the balances of all accounts remaining open in the ledger, together with the balance shown by the cash account. On journal paper, all open accounts are listed by name; the debit balances are placed in the debit column, and credit balances are placed in the credit column; the pages of the ledger are placed in the folio column, opposite the names of the account. Both debit and credit columns are footed, and the footings of the two columns should agree.
A trial balance is taken for the purpose of testing the accuracy of the postings to the ledger; to find out if the ledger is in balance. The trial balance can be taken without considering the balances, by taking the total debit and credit items posted to all open accounts.
While the trial balance shows that for every debit posted to the ledger a corresponding credit has also been posted (double entry principle), it does not absolutely prove the accuracy of the work. If a debit item of $100.00 were posted to the debit of the wrong account, it would not affect the balance of the ledger; but if the item were posted to the credit instead of to the debit of the account, the ledger would be out of balance and the amount that it was outwould be shown by the trial balance.
CLASSIFICATION OF ACCOUNTS
70. The arrangement of the accounts in the ledger is of considerable importance. Since one of the objects of bookkeeping is to exhibit the standing or condition of the business, the accounts should be classified in a manner that will make easiest the assembling of important statistics.
The accounts in the ledger represent either Assets (resources), Liabilities, Profits (gains), or Losses. Every account having a debit balance represents either (a) an asset or (b) a loss. (a) A personal account having a debit balance represents an asset; (b) any expense account having a debit balance represents a loss, as it reduces the chance for profit.
Every account having a credit balance represents either (c) a liability or (d) a profit. (c) A personal account having a credit balance represents a liability—that is, something we owe; (d) a sales account having a credit balance represents a profit because it increases our chance of gain.
 
OFFICE OF THE REGISTRAR, AMERICAN SCHOOL OF CORRESPONDENCE
71. Arrangement in Ledger. The foregoing classifications should be kept in mind in arranging the accounts in the ledger. First provide space for the asset and liability accounts; then follow with the profit and loss (or revenue) accounts. As far as possible, keep all asset accounts together, following the same plan with liability and profit and loss accounts.
The accounts are arranged in the trial balance in exactly the same order as they appear in the ledger; and if correctly classified they will show at a glance the assets (except inventories of merchandise) and liabilities of the business. Likewise the profit and loss accounts (also known as revenue accounts—see Article 53) will show total sales, purchases, and expense of conducting the business.
SAMPLE LEDGER ACCOUNTS
72. The ledger accounts shown on pages 80-81, representing the transactions given in the preceding set of sample transactions, demonstrate the proper arrangement of accounts, manner of posting, and the trial balance.
EXAMPLES FOR PRACTICE
1. From the copy of the journal (Article 66) which you have made, post the transactions to the ledger.
2. Post the transactions from the journal you have made (Exercise 2, preceding section) to the ledger.
3. Make a trial balance of the ledger accounts.
 
 
TREATMENT OF CASH DISCOUNTS
73. Cash discounts are discounts allowed for prepayment of bills. They are frequently confused with bank discounts (or interest collected in advance when notes are discounted), but are of an entirely different character.
When the price is made, the profits are calculated with the idea that the customer may take advantage of the cash discount; that is, the price after the discount is deducted includes a legitimate profit. We cannot debit the customer with the amount of the bill less the discount, for we do not know that he will take advantage of the discount; and so, the charge to the customer and credit to sales account is an amount which may never be received.
If the bill is paid less the discount, the amount deducted reduces our profit on the sale. It is not an allowance for the use of capital, for we can probably borrow money at 6 per cent, while the discount may be 5 per cent or more for anticipating payment 30 days or less. 74. Discounts Allowed. Cash discounts allowed must eventually come out of the profits arising from the sale of the commodities in which we are trading. There are two methods of charging cash discounts, either of which is considered correct:
(1) Open an account called Discounts on Sales, and charge to it all discounts allowed for the prepayment of bills. When the books are closed, the total will be charged against trading profits. This method is coming into general use, and may be considered standard.
(2) Charge to Sales Account directly all discounts allowed, treating them as allowances. The balance of the sales account will then represent net sales after returns, rebates, and cash discounts have been deducted. One feature to recommend this plan is that sales account does not show a fictitious volume of sales.
75. Entering Cash Discounts in Cash Book. When we receive payment from a customer who has deducted the cash discount, the discount must be taken account of in entering the payment, as the customer is to receive credit for the full amount. We might enter the cash payment in the cash book, and make a journal entry of the cash discount, but this would necessitate two postings from separate books.
A better method, and one which has become standard, is to provide a cash discount column in the cash book. When a column has not been provided for this purpose, a narrow column can be ruled in on the cash received or debit side of the cash book. This is carried as a memorandum until the end of the month, when the total is posted to the debit of discount on sales. Two ways of making the entry are shown (p. 84).
In Example No. 1, the cash discount is entered in the discount column, and the net cash received is entered in the cash column. When the payment is posted, two entries are made in the ledger. One advantage in this is that reference to the account of R. L. Brown & Co. shows at a glance whether they are taking advantage of cash discounts.
In Example No. 2, the cash discount is entered in the proper column, but the gross amount is entered in the cash column. The payment is then posted in one item, and reference to the ledger account does not show whether the payment of $100.00 is all cash or part discount. It is necessary, also, to deduct the footing of the discount column from the footing of the cash column to ascertain the amount of cash received. For these reasons the method shown in Example No. 1 is recommended.
76. Cash Discounts Earned. When we take advantage of the discount offered for the prepayment of bills, the discount earned can be considered a legitimate source of profit. Our own selling prices for goods purchased to be resold are based on the prices at which they are billed to us, without considering a possible saving by discounting our bills. Whether or not we discount our bills is largely a question of capital, and such earnings are legitimate profits entirely outside of regular trading profits. Discounts earned should be treated as interest earned and credited to interest account, from which they will find their way into profit and loss account.
 
PROFIT AND LOSS
77. The profit and loss account is a summary account made up of the balances of all income and expenditure (revenue) accounts in the ledger, the balance of this account representing the net loss or net gain of the business.
It is advisable to show the net profits for each year; and to accomplish this, it is customary to transfer the balance of profit and loss account at the end of the year. In single proprietorships and partnerships, the net gain is transferred to proprietor's or partner's investment accounts, while in a corporation it is usually transferred to a surplus account. A loss is transferred to a deficiency account.
78. Trading Account. This is a subdivision of profit and loss account intended to exhibit the gross profit derived from the manufacture or purchase and sale of goods in which the business is organized to trade. These profits are known as trading profits. Just what items of income and expenditure enter into trading profits or losses is an important question in the science of accounts. A safe rule to follow is to debit trading account with the cost of goods sold, including cost of preparing them for sale. In a manufacturing business the cost represents cost of raw materials and cost of manufacture. Credit the account with net income from sales, arrived at by deducting from gross sales all returns, allowances, rebates, and cash discounts.
All expenses incurred in selling the goods, and all expense of administration of the business, should be charged to profit and loss account proper. All profits arising from other transactions than trading should be credited to profit and loss. These include interest received on past due accounts, on notes, or for money loaned; discount earned by the prepayment of bills; profits from the sale of real estate or any property other than that in which the business is trading.
Trading Account, How Constructed. The trading account is made up by charging total inventory at the beginning of the year and purchases during the year; crediting net sales and inventory at the close of the year, the balance representing the gross profit.
 
Turnover. It is desirable to know the cost of goods sold. This is known as the turnover, on which percentages of profit are based. The turnover may be found by deducting the present inventory from the debit side of the trading account.
 
79. Manufacturing Account. In a manufacturing business it is very desirable to know the cost to produce the goods; and for this purpose a subdivision of profit and loss, called manufacturing account, is used. The manufacturing account is debited with inventory of materials at the beginning of the year; purchases of material; labor or wages in factory, and all other expenses of manufacture; and credited with inventory of materials at the close of the year. The balance represents cost of manufactured goods to the trading division.
The principal value of these subdivisions of profit and loss lies in the fact that they reveal not only the amount but the sources of profits and losses, which is one of the important functions of accounting.
 
The profit and loss account of a professional or other non-trading concern need not be subdivided as explained for a trading concern. In a non-trading business, all accounts representing revenue receipts or revenue expenditures are transferred direct to profit and loss account.
80. Transfer of Gross Profit. The gross profit from trading is now transferred to the credit of profit and loss account, and this account is debited with the balances of all revenue expenditure accounts. Continuing the illustration from Article 78, we have:
 
81. Transfer of Net Profit. The net gain is transferred to the credit of proprietor's account in a single proprietorship.
 
MERCHANDISE INVENTORY ACCOUNT
82. The accounts now open in the ledger, other than proprietor's account, exhibit all assets and liabilities of the business with the exception of the present inventory, which is included in the trading account. The amount of the inventory is transferred to the debit of a merchandise inventory account.
 
The books are now said to be closed, there being no open accounts except those representing assets or liabilities of the business.
BALANCE SHEET
83. A statement of the assets and liabilities of a business is called a balance sheet. If the assets exceed the liabilities, the difference is the present worth. If the liabilities exceed the assets, the business is insolvent, and the difference or balance shows the amount of insolvency.
The balance sheet is prepared from the ledger balances after the books have been closed. In arranging the accounts on a balance sheet, the assets should be listed first, followed by the liabilities. The balance will agree with the balance shown in the proprietor's or investment account.
For the business of a single proprietor, it is customary to list the accounts in the following general order:
First—Cash in bank and office.
Second—Open accounts and bills receivable.
Third—Merchandise per inventory, store fixtures, etc.
Fourth—Real estate.
The first two classes are termed active or quick assets, as they can be most readily converted into cash.
The liabilities represented by credit balances, are listed in the order of their urgency:
First—Open accounts due others.
Second—Bills payable.
Third—Mortgages or bonds payable.
The third class represents secured liabilities, while the first two represent unsecured liabilities.
Continuing the previous illustration, we find the balance sheet of our imaginary ledger to be as follows:
 
SAMPLE TRANSACTIONS
84. At the end of the first year, the trial balance of a single proprietorship was as follows:
| Debit Balances | ||
| Bank Account | $ | 764.20 | 
| Sundry Open Accounts Receivable | 1,127.30 | |
| Bills Receivable | 475.00 | |
| Furniture and Fixtures | 325.00 | |
| Cash in Office | 68.50 | |
| Purchases | 9,571.40 | |
| Expense | 675.00 | |
| Discount on Sales | 96.75 | |
| Interest | 72.10 | |
| ———— | ||
| 13,175.25 | ||
| [102] | ||
| Credit Balances | ||
| Proprietor (Investment) | 2,500.00 | |
| Bills Payable | 2,000.00 | |
| Sundry Accounts Payable | 1,761.60 | |
| Sales | 6,913.65 | |
| ———— | ||
| $13,175.25 | ||
The inventory at the end of the year was $4,962.30; at the beginning of the year, there was no merchandise in stock. The books are to be closed into trading and profit and loss, and a balance sheet prepared.
When closing the books, all entries necessary to adjust the balances of ledger accounts should be made through the journal. When an audit is made, it is difficult to trace the entries unless they are plainly stated in one group, which is provided when they are made in the journal. The making of entries in the ledger directly, also increases the opportunity for fraudulent entries. Never make original entries in the ledger.
EXAMPLE FOR PRACTICE
From the following trial balance prepare trading account; profit and loss account; and balance sheet.
| Trial Balance | ||||
| Proprietor (Investment) | $ | 7,600.00 | ||
| Bills Payable | 4,000.00 | |||
| Accounts Payable | 1,470.00 | |||
| Bank | $ | 1,262.84 | ||
| Accounts Receivable | 2,693.11 | |||
| Bills Receivable | 4,360.00 | |||
| Merchandise Inventory | 6,277.76 | |||
| Furniture and Fixtures | 750.00 | |||
| Purchases | 7,105.78 | |||
| Expense | 1,416.30 | |||
| Discount on Sales | 112.65 | |||
| Interest | 44.20 | |||
| Sales | 10,985.70 | |||
| Cash | 121.46 | |||
| ————— | ————— | |||
| $24,099.90 | $24,099.90 | |||
| Inventory at end of year $6,493.06. | ||||
 
 
 
 
 
CASHIER TERMINAL, LAMSON MOTOR-DRIVEN CABLE CASH CARRYING SYSTEM FOR DRY GOODS, GENERAL, OR DEPARTMENT STORES
Lamson Consolidated Store Service Co.
JOURNALIZING NOTES
85. When a note is received by us or we give our note to another, it is necessary to make a journal entry in order that there may be a proper record of the transaction on our books. Careful study is sometimes necessary to determine just how the entry should be made, and the following illustrations will serve as a guide.
86. When Received. When we receive a note, we debit bills receivable and credit the maker—that is, the person who gives us the note.
We receive a note from Samuel Smart for $100.00 payable in 30 days. The journal entry is:
| Bills Receivable | $100.00 | |
| Samuel Smart | $100.00 | |
| 30-day note dated Sept. 10 | 
87. When Paid. When this note is paid, we debit cash and credit bills receivable. The entry is made in the cash book on the debit side which debits cash and credits bills receivable.
| Bills Receivable | Samuel Smart's note | $100.00 | 
| due Oct. 10th | 
88. When Collected by Bank. Perhaps the note was collected through our bank; in that case, the bank, instead of sending us the cash, will credit the amount to our account. The bank may, also, charge a small fee for collecting the money; consequently the amount placed to our credit will be the sum collected, less their fee. The entry in the journal would then be:
| Bank | $99.85 | |
| Interest and Discount | .15 | |
| Bills Receivable | $100.00 | |
| Smart's note due Oct. 10th | ||
| Collected by bank. | 
89. When Discounted. At the time we received Samuel Smart's note, we may have needed the money for immediate use in our business. We would then take the note to the bank, endorse it payable to the bank, when they would discount it, giving us credit for the net proceeds. Since the money is advanced to us, the bank would charge us interest for its use, which amount would be deducted[108] from the whole amount, leaving the net proceeds. This amount would then be available for immediate use. The note is then the property of the bank; it has gone out of our possession and we have received the cash. The note is not paid, and in discounting it we have created a liability to the bank. Remembering that one of the functions of bookkeeping is to exhibit the true nature of our assets and liabilities, we open a Bills Discounted account in the ledger. The entry is:
| Bank | $99.50 | |
| Interest | .50 | |
| Bills Discounted | $100.00 | |
| Discounted Smart's note due Oct. 10th. | 
90. When a Note Drawing Interest is Discounted. The above transaction presupposes that the note is given without interest; but if it were given with interest, the bank would simply add the interest to the principal and deduct the discount from the total. In the case the sum of the principal and interest ($100.00 + .50 = $100.50) is $100.50, and the discount $.50, which would leave $100.00 as the net proceeds. If the amount of the note were larger or the interest was figured for a longer time, it would make a difference. Suppose the amount of the note to be $2,000.00, time 30 days, interest 6% per annum.
| Principal | $2,000.00 | 
| Interest 30 days | 10.00 | 
| Total | $2,010.00 | 
| Less interest on $2,010.00 for 30 days | 10.05 | 
| ————— | |
| $1,999.95 | 
Since the net amount realized is less than the face of the note, we need not consider the interest earned, but the entry would be:
| Bank | $1,999.95 | |
| Interest and Discount | .05 | |
| Bills Discounted | $2,000.00 | 
91. When a Note Drawing Interest is Paid. But suppose Samuel Smart's note is $100.00 for 30 days, with 6% interest, and that the note is kept by us and the money is paid directly to[109] us when due. We shall then receive the interest, in addition to the face of the note, making a total of $100.50. The entry would then be made in the cash book on the debit side, and would be:
| Bills Receivable | $100.00 | 
| Interest and Discount | .50 | 
| Samuel Smart's note due Oct. 10, paid to-day. | |
92. When a Discounted Note is Not Paid. When we discounted Samuel Smart's note of $100.00 for 30 days without interest at the bank, we were obliged to endorse it, which had the effect of a guarantee of payment. If not paid when due, the amount would be charged to our account at the bank. The note would again come into our possession, and the amount must be debited to some account, the credit being to the bank.
We have previously credited the amount to bills discounted, and our entry is:
| Bills Discounted | $100.00 | |
| Bank | $100.00 | |
| Samuel Smart's note not paid at maturity. | ||
But suppose the transaction to have been the one described in Article 90. The note returned to us is $2,010.00, that being the amount of principal and interest. Our bills receivable and bills discounted accounts show the item as $2,000.00 only. Therefore we must include the $10.00 in our adjusting entries which will be:
| Bills Receivable | $10.00 | |
| Interest added to Smart's note not paid when due | ||
| Bills Discounted | $2,000.00 | |
| Bank | $2,010.00 | |
| Smart's note not paid at maturity. | ||
93. When a Note is Past Due. The above entries leave this unpaid item in the bills receivable account. If the business is one in which a large number of bills are discounted, it will be advantageous to show past due bills receivable by themselves, leaving bills receivable account to represent only paper not due. The entry for a bill unpaid at maturity would be:
| Bills Receivable Past Due | $2,010.00 | |
| Bills Receivable | $2,010.00 | |
| Smart's note past due. | ||
94. When a Note is Renewed. We shall now suppose that Samuel Smart finds that he will be unable to pay his note when due. He comes to us and offers a new note for 30 days, which we accept. He prefers to add the interest due on the original note to the principal, and makes his note for $100.50. We then return the original note and the entry is:
| Bills Receivable | $100.50 | |
| Interest and Discount | .50 | |
| Bills Receivable | $100.00 | |
| New note given by Samuel Smart to cover note due Oct. 10, with interest. | ||
The effect of this transaction is that we have received a new note for $100.50, and we debit bills receivable. This new note pays an older one which goes out of our possession, so we credit bills receivable. The amount of the new note includes the interest on the old, and we credit interest.
We might have gone about this in a roundabout way by making these entries:
| To cancel the old note: | ||
| Samuel Smart | $100.50 | |
| Bills Receivable | $100.00 | |
| Interest, and Discount | .50 | |
| Note due Oct. 10th. | ||
| To enter the new note: | ||
| Bills Receivable | $100.50 | |
| Samuel Smart | $100.50 | |
| New note 30 days to take up note due Oct. 10th. | ||
These entries would leave the accounts in exactly the same condition as our first entry, and would serve no useful purpose. This is given as an illustration of how several entries may be made when the transaction could be as clearly explained in one.
95. When Renewed Note Has Been Discounted. If the note which Samuel Smart has renewed has been discounted at the bank, we must reimburse the bank in some manner before we can obtain possession of the original note. The most simple way to handle this transaction will be to give the bank our check to pay the note. The entry is:
| Bills Discounted | $100.00 | |
| Interest and Discount | .50 | |
| To Bank | $100.50 | |
| Gave check to take up Samuel Smart's note. | ||
We shall then treat the new note as previously explained. If, after getting it recorded on the books, we wish to discount this note, the entries will be exactly the same as when we discounted the original note.
96. When We Give or Pay a Note. When we give our note, the effect of the transaction is just the opposite of the receipt of a note. Instead of adding to one class of our resources we are increasing one class of our liabilities, in return for which we either receive something of value or reduce our liabilities of another class. When we give our note in payment of a loan, we receive cash; if we buy goods and give a note in payment, we receive merchandise; if we give a note in payment of an account, we simply reduce our liabilities of one class and add to those of another.
The entries necessary to properly record transactions involving notes given or bills payable, are not so complex as is the case with transactions involving bills receivable. The following illustrations cover transactions likely to arise in the average business:
We give our note for $100.00 payable in 30 days, without interest, to Western Grocer Co. in settlement of an account. The entry is:
| Western Grocer Co. | $100.00 | |
| Bills Payable | $100.00 | |
| Note 30 days without interest | ||
When we pay the note the entry is:
| Bills Payable | $100.00 | |
| Bank | $100.00 | |
| Check to Western Grocer Co. to pay note due Oct. 10. | ||
97. When Our Note Has Been Discounted. The Western Grocer Co. has either discounted the note or placed it in the bank for collection, and it is presented for payment by the Merchants Bank. We give them a check in payment, and the entry is:
| Bills Payable | $100.00 | |
| Bank | $100.00 | |
| Check to Merchants Bank to pay our note to Western Grocer Co., due Oct. 10. | ||
The entry in this case is the same as in the previous illustration, with the exception of the explanation.
98. When We Pay Our Note With Interest. We give our note to Western Grocer Co. for $100.00 payable in 30 days, with interest at 6%. We pay the note by check, and the entry is:
| Bills Payable | $100.00 | |
| Interest and Discount | .50 | |
| Bank | $100.50 | |
| Paid Western Grocer Co. note due Oct. 10, by check No. 10. | ||
99. When We Discount Our Note. We wish to borrow $100.00 from the bank, and give our note for the amount, payable in 30 days. The bank discounts the note, placing the proceeds to our credit. The rate of interest charged is 6%. Our entry is:
| Bank | $99.50 | |
| Interest and Discount | .50 | |
| Bills Payable | $100.00 | |
| Note for $100.00, 30 days discounted at bank. | ||
100. When We Pay for Goods With Our Note. We buy goods from Michigan Milling Co. to the amount of $100.00, and tender our note at 30 days with interest, in payment. This makes it unnecessary for us to open an account with Michigan Milling Co. and the entry is:
| Purchases | $100.00 | |
| Bills Payable | $100.00 | |
| Invoice #16 from Michigan Milling Co. Gave note for 30 days with interest at 6%. | ||
101. When We Renew a Note. When this note is due, we find it inconvenient to pay, and give a new note for 30 days, adding the interest now due to the face of the original note. The amount of the new note is $100.50, and the entry is:
| Interest and Discount | $ | .50 | |
| Bills Payable | 100.00 | ||
| Bills Payable | $100.50 | ||
| New note given Michigan Grocer Co. to renew note due Oct. 10, $100.00, interest $.50, 30 days, with interest. | |||
102. When We Renew Our Discounted Note. When our note given to the bank is due, we find it inconvenient to pay the entire amount. We give the bank a check for $50.00, and a new note at 30 days for the balance. The bank always collects interest in advance, so we shall be obliged to give them our note for $50.00 plus the interest, or $50.25. In effect, the bank discounts our note for $50.25, the proceeds, $50.00, paying the balance of our note now due. The entry is:
| Bills Payable | $100.00 | |
| Interest and Discount | .25 | |
| Bank | $50.00 | |
| Bills Payable | 50.25 | |
| Gave check for $50.00 to apply on note due at bank to day. | ||
| Discounted new note for $50.25, payable in 30 days. | ||
JOURNALIZING DRAFTS
103. When a draft has been accepted, it should be treated the same as any other form of bill receivable or bill payable. If we make a draft on a customer, which he accepts, it becomes a bill receivable. If we accept a draft drawn on us, it becomes a bill payable.
Sight drafts are frequently made use of as a convenient means of collecting an account. Such drafts are taken to our bank for collection, but they do not give us credit for the amount until the draft is paid. Drafts of this kind, which are placed with the bank for collection only, are not treated as bills receivable, as we do not credit the account of the one on whom it is drawn until payment is received.
104. When Our Sight Draft is Paid. We draw on Samuel Smart at sight for $50.00 through our bank. When paid, we receive credit at the bank for the amount, less collection charges. The entry in our journal is:
| Bank | $49.90 | |
| Interest and Discount | .10 | |
| Samuel Smart | $50.00 | |
| Paid sight draft | ||
105. When Discounting Time Draft. Samuel Smart owes us $100.00, and while the amount is not due for 30 days, we have reason to believe that he will accept a draft payable in 30 days. We accordingly draw on him through our bank. Our reason for doing this is that his acceptance will be a promise to pay, and our bank will then discount the draft. The draft is accepted, and our bank notifies us that the proceeds have been placed to our credit, the draft being discounted at 6%. The entries are:
| Bills Receivable | $100.00 | |
| Samuel Smart | $100.00 | |
| Samuel Smart accepted our 30-day draft | ||
| Bank | 99.50 | |
| Interest and Discount | .50 | |
| Bills Discounted | $100.00 | |
| Discounted Samuel Smart's 30-day acceptance. | ||
106. When We Accept. When we accept a draft payable at a future date, it immediately becomes a bill payable and should be so treated.
We accept the 30-day draft of the Western Grocer Co. for $200.00. Our journal entry is:
| Western Grocer Co. | $200.00 | |
| Bills Payable | $200.00 | |
| Accepted 30-day draft. | ||
107. When We Pay an Acceptance. When this draft is due, we pay it, giving our check to the bank. The entry is:
| Bills Payable | $200.00 | |
| Bank | $200.00 | |
| Gave check to pay draft of Western Grocer Co. | ||
108. When We Pay a Sight Draft. Instead of accepting a time draft, we pay a sight draft of Western Grocer Co. for $200.00. In this case it has not become a bill payable, and our entry is:
| Western Grocer Co. | $200.00 | |
| Bank | $200.00 | |
| Check to Merchants Bank to pay sight draft. | ||
EXAMPLES FOR PRACTICE
The following examples are to be journalized by the student after he has become thoroughly familiar with the transactions previously explained:
—Nov. 6—
Received from Jackson & Co. their note for $214.00 without interest, payable in 30 days, in full settlement of account.
—Nov. 6—
Received from David Newman his note for $650.00 with interest at 6%, payable in 30 days, in settlement of account. We discounted this note at First National Bank.
—Nov. 7—
Paid our note given Oct. 6, to National Spice Co., amount $150.00 with interest at 6%. This note was paid by check #11 to Mechanics Bank.
—Nov. 8—
Bought from Valley Mills on our note for 30 days with interest at 6%, 100 bbls. flour at $5.25 per bbl.
—Nov. 9—
Discounted our note for $1,000.00, 30 days, at First National Bank.
—Dec. 6—
Jackson & Co., paid their note due to-day, $214.00.
—Dec. 6—
David Newman paid $300.00 on his note due to-day. Gave new note for balance due, payable in 30 days with interest at 6%.
—Dec. 8—
Paid our note to Valley Mills by check #11.
—Dec. 9—
Paid $500.00 on our note to First National Bank by check #12. Gave new note for $500 payable in 30 days, interest at 6%.
—Dec. 9—
Andrew White paid sight draft, $42.60, through First National Bank, exchange $.10.
—Dec. 9—
J. D. Jenks accepted our 30-day draft for $140.00, which we discounted at First National Bank at 6%.
—Dec. 10—
Accepted a 30-day draft for $75.00 drawn by Eastern Woodenware Co.
—Dec. 11—
Gave First National Bank our check for $90.00 to pay 60-day draft of Farwell & Graves accepted by us Oct. 11.
—Dec. 12—
Gave First National Bank our check for $41.00 to pay sight draft of Dun & Co.
 
ACCOUNTING DEPARTMENT, SWIFT & COMPANY, CHICAGO
RETAIL BUSINESS
1. In this section we demonstrate complete sets of books for a retail business, showing every necessary step in bookkeeping from the opening of the business. The first set represents a small business in which the simplest methods are adequate. The business is owned by a single proprietor who opens a retail grocery store.
2. Opening the Books. Remembering that bookkeeping is the art of recording the transactions of a business, the first thing to be done is to make the proper opening entry of the books. Being the opening entry, it should record the first fact of importance, which is that the business has been opened. Since bookkeeping should exhibit the exact financial standing of the business, the next step will be a complete statement of assets and liabilities.
It is customary to make this opening entry on the first page of the journal. The entry should be a plain statement of facts which can be readily understood by anyone.
3. Books Used. In this set, the books used are Journal, Cash Book, and Ledger. In addition a counter book or blotter, corresponding to a day book, is used. This is a rough book in which are recorded sales on account, cash purchases, and sometimes payments on account. The entries are merely memoranda of transactions, made when they occur, to be later entered in the regular books. No bookkeeper being employed, it would be inconvenient for the proprietor or his clerk to go to the desk and make a detailed entry every time a sale is made, and so the transaction is entered in pencil in the blotter. Bookkeeping records must be permanent, and should always be made in ink; and it is advisable, when possible, to have all entries made in one handwriting.
A sample page of the blotter, which illustrates its use, is shown[120] (p. 3). The marks // indicate that the item has been transferred to journal or cash book.
4. The ledger used is one with journal ruling. In posting, each item is entered in the ledger. This is a very satisfactory plan for a small business, as the items of which each charge is composed can be seen at a glance. More space is required for an account, but the saving in time in making statements is a distinct advantage, especially when the proprietor is his own bookkeeper. With the ordinary style of ledger, it is necessary to refer to books of original entry to find the items.
 
Ledger with Journal Ruling
5. Statements. Customers frequently request detailed statements of account which will give full particulars of each transaction, including each item. At other times the proprietor sends statements to his customers, with a request for payment. When this is done, it is not necessary to enter each item, a statement of the balance due being sufficient unless an itemized statement is requested by the customer.
6. The business is opened by William Webster on the 21st day of November, 190-. He is to conduct a retail grocery business, and has rented a store from Wm. Bristol at a monthly rental of $30.00. His resources consist of cash $600.00; merchandise, consisting of a miscellaneous stock of groceries, $964.50; personal accounts due him as follows: Henry Norton, $25.00; L. B. Jenkins, $22.70. His liabilities consist of two accounts due for goods purchased, as follows: Brewster & Co., Rochester, N. Y., $115.20; Warsaw Milling Co., $64.00. The opening entry, which furnishes a permanent record of these facts, is shown (p. 4).
7. Proprietor's Account. The proprietor's account is an account representing capital when the business is owned by a single proprietor. When the business is started, this account is opened in the name of the proprietor (Wm. Webster, Proprietor), and to it is credited his net investment. From time to time the books are closed and the proprietor's account then receives credit for the net profits or is debited with the net losses of the business.
 
Day Book
 
Opening Entry in Journal
 
AIR-LINE MEAT-CARRYING SYSTEM FOR A LARGE RETAIL MARKET
Lamson Consolidated Store Service Co.
When the proprietor withdraws money or goods from the business for his personal use, the amount may be charged to his investment or proprietorship account, or to a personal account (Wm. Webster, Personal) opened in his name. The latter method is recommended by some writers for the reason that the proprietor's personal expenses, or those of his family, are then separated from the expenses or capital expenditures of the business. As a customer of the business, he is placed on the same basis as any other individual. But the personal account must be closed some time; he must pay it in cash, or close it into profit and loss so that it finally operates to reduce his net investment.
It appears, therefore, that the question whether withdrawals are charged to the investment or a personal account is largely a matter of personal preference.
8. The opening entries having been made, the books are now ready for the recording of the regular transactions of the business. The following transactions are shown in the model set, but the blotter is omitted, all transactions being entered in the journal and cash book. The sample page of the blotter described in Article 3 is sufficient to illustrate its use.
SAMPLE TRANSACTIONS
9.
| —Nov. 21— | ||
| Sold to Henry Norton on account, | ||
| 10# sugar | .05½ | $.55 | 
| 2 cans corn | .25 | |
| 1 can peas | .15 | |
| 3# rice | .30 | |
| ——— | ||
| 1.25 | ||
| —Nov. 21— | ||
| Sold to John Smallwood on account, | ||
| 5# butter | 1.00 | |
| 4# lard | .50 | |
| 1 doz. eggs | .25 | |
| ——— | ||
| 1.75 | ||
| —Nov. 21—[124] | ||
| Cash sales | 14.10 | |
| —Nov. 22— | ||
| Sold to Harry Webster on account, | ||
| 7 bars Lenox soap | .25 | |
| 1 pkg. gold dust | .20 | |
| matches | .15 | |
| ¼ bbl. flour | 1.35 | |
| ——— | ||
| 1.95 | ||
| —Nov. 22— | ||
| Bought for cash | ||
| 10 doz. eggs | .21 | 2.10 | 
| —Nov. 22— | ||
| Cash sales | 11.27 | |
| —Nov. 23— | ||
| Bought from H. Klink & Co., Buffalo, N.Y., on account, | ||
| 278# hams | .11 | 30.58 | 
| 200# lard | .07½ | 15.00 | 
| ——— | ||
| 45.58 | ||
| —Nov. 23— | ||
| Sold to F. W. Bradley on account, | ||
| 2 bu. potatoes | 1.60 | |
| —Nov. 23— | ||
| Sold to C. D. Glover on account, | ||
| 1 bbl. apples | 3.25 | |
| 5 gal. vinegar | 1.25 | |
| ——— | ||
| 4.50 | ||
| —Nov. 23— | ||
| Cash sales | 13.20 | |
| —Nov. 24— | ||
| Bought from John Smallwood on account, | ||
| 100 bu. potatoes | .60 | 60.00 | 
| Paid him cash | 25.00 | |
| —Nov. 24— | ||
| Sold John Smallwood on account, | ||
| 2# cheese | .32 | |
| 1 bottle vanilla ext. | .35 | |
| 1# coffee | .35 | |
| 1# tea | .60 | |
| ——— | ||
| 1.62 | ||
| —Nov. 24—[125] | ||
| Sold to A. C. Maybury on account, | ||
| 1# royal baking powder | .50 | |
| 1# corn starch | .10 | |
| 1# soda | .10 | |
| 2 pkgs. jello | .20 | |
| ——— | ||
| .90 | ||
| —Nov. 24— | ||
| Cash sales | 15.10 | |
| —Nov. 25— | ||
| Paid Brewster & Co. | ||
| Cash | 115.20 | |
| —Nov. 25— | ||
| Sold to L. B. Jenkins on account, | ||
| ½# pepper | .20 | |
| ½# cloves | .20 | |
| ¼ bbl. flour | 1.35 | |
| ——— | ||
| 1.75 | ||
| Sold to D. E. Johnson on account, | ||
| 12# ham | .14 | 1.68 | 
| —Nov. 25— | ||
| Received from Henry Norton | ||
| Cash | 26.25 | |
| —Nov. 25— | ||
| Cash sales | 13.00 | |
| —Nov. 26— | ||
| Sold to Wm. Bristol on account, | ||
| 11# ham | .14 | 1.54 | 
| 1 qt. bottle olives | .50 | |
| 2# coffee | .70 | |
| 20# sugar | .05½ | 1.10 | 
| ——— | ||
| 3.84 | ||
| —Nov. 26— | ||
| Credit Wm. Bristol | ||
| 1 month's rent | 30.00 | |
| —Nov. 26— | ||
| Sold to C. D. Glover on account, | ||
| ¼ bbl. flour | 1.35 | |
| 1# baking powder | .50 | |
| 7 cakes borax soap | .25 | |
| ——— | ||
| 2.10 | ||
| —Nov. 26—[126] | ||
| Paid clerk hire | 8.00 | |
| —Nov. 26— | ||
| Cash sales | 18.70 | |
| —Nov. 28— | ||
| Sold to H. N. Shaw on account, | ||
| 1 bu. potatoes | .80 | |
| 1 doz. cans corn | 1.50 | |
| ——— | ||
| 2.30 | ||
| —Nov. 28— | ||
| Sold to Watkins Hotel Co., on account, | ||
| 10 bu. potatoes | .75 | 7.50 | 
| 50# lard | .10 | 5.00 | 
| 20# ham | .13½ | 2.70 | 
| ——— | ||
| 15.20 | ||
| —Nov. 28— | ||
| Cash sales | 9.45 | |
| —Nov. 29— | ||
| Bought from Lowell & Sons | ||
| 500# sugar | .04¾ | 23.75 | 
| 50 gal. molasses | .30 | 15.00 | 
| ——— | ||
| 38.75 | ||
| —Nov. 29— | ||
| Bought from Star Salt Co. | ||
| 10 bbls. salt | .80 | 8.00 | 
| —Nov. 29— | ||
| Sold to R. H. Sherman on account, | ||
| 1# coffee | .25 | |
| 1# chocolate | .45 | |
| 1 qt. olive oil | 1.35 | |
| ¼# ginger | .15 | |
| ¼# pepper | .15 | |
| 1 pkg. mince meat | .10 | |
| 2# lard | .25 | |
| ——— | ||
| 2.70 | ||
| —Nov. 29— | ||
| Cash sales | 14.35 | |
| —Nov. 30—[127] | ||
| Received from F. W. Bradley | ||
| Cash | 1.60 | |
| —Nov. 30— | ||
| Paid Warsaw Milling Co. | ||
| Cash | 64.00 | |
| —Nov. 30— | ||
| Sold to John Smallwood on account, | ||
| 1 bbl. salt | 1.10 | |
| —Nov. 30— | ||
| Sold to D. E. Johnson on account, | ||
| 10# lard | .10 | 1.00 | 
| 1# baking powder | .50 | |
| 1 pk. apples | .35 | |
| ——— | ||
| 1.85 | ||
| —Nov. 30— | ||
| Bought for cash | ||
| 5 bu. apples | 1.00 | 5.00 | 
| —Nov. 30— | ||
| Cash sales | 17.90 | |
 
Journal Entrees Recording all Transactions
 
Journal Entries Recording all Transactions
 
Journal Entries Recording all Transactions
 
Cash Book
 
Journal Ruled Retail Ledger
 
Journal Ruled Retail Journal
 
Journal Ruled Retail Ledger
 
Journal Ruled Retail Ledger
 
Journal Ruled Retail Ledger
 
Journal Ruled Retail Ledger
At the close of business, Nov. 30, a trial balance of the ledger accounts is taken. No attention is paid to the accounts which are closed, the open accounts being only included in the trial balance.
The proprietor wishes to know whether the business has made or lost money, and what the gross and net profits (or the losses) have been. To obtain this information the books are to be closed. Before this process can be completed, it is necessary to know the value of goods now in stock—that is, to take an inventory.
INVENTORY
10. An inventory is taken by counting, measuring, or weighing all goods in stock. The stock is listed on journal paper or in a day book, listing first the quantity; second, the name of the article; third, the price; fourth, the value of each item.
 
Inventory Sheet
 
Trial Balance
11. Pricing. In taking an inventory, all goods must be priced at cost—never at the selling price. If selling prices are used, credit is being taken for profits which cannot be earned until the goods are sold. It may even be found advisable at times to list goods at less than cost. Some classes of goods deteriorate; at other times the stock may contain merchandise that was purchased on a high market, on which prices have been materially lowered. To price such goods at actual cost prices is creating fictitious values. Conservatism is necessary in pricing an inventory, for the taking of credit for unearned profits is wrong in principle.
This inventory shows the cost of goods in stock to be $1,042.77.
12. Closing the Books. This is the process of balancing all revenue accounts, and transferring the balances to the profit and loss account, the balance of the account being finally transferred or closed into the capital, surplus, or deficiency account, as the case may be. We have learned that in a single proprietorship, profit and loss is finally closed into capital or investment account.
 
ERECTING SHOP IN THE WORKS OF THE BALDWIN LOCOMOTIVE WORKS, PHILADELPHIA, PENNA.
This being a trading business, the first step is to open a trading account for the purpose of finding the gross profit. The accounts now in the ledger to be closed into trading account are merchandise, inventory, and purchases, which are entered on the debit side; and sales account, which is entered on the credit side. The present inventory is now entered on the credit side; the two sides of the account are footed; and the difference or balance represents the gross gain or loss.
13. The trading account shows a credit balance or gross profit of $92.00. This balance is now closed into profit and loss, being entered on the credit side. The only revenue account now open is expense, which shows a debit balance of $38.00. This is a revenue expenditure, representing a loss, and is therefore transferred to the debit or loss side of profit and loss account.
Profit and loss shows a credit balance or net profit of $54.00. The balance closes into the account of the proprietor, where it is entered on the credit side increasing his net investment to $1,487.00.
NOTE—Complete postings from page 4 of the journal.
14. A balance sheet should now be prepared; and if our work is correct in every particular, the present worth will correspond in amount with the net investment shown by the proprietor's account.
| Balance Sheet, Nov. 30 | |||
| Assets | |||
| Cash | $535.62 | ||
| Accounts Receivable | 57.63 | ||
| ———— | |||
| $593.25 | |||
| Merchandise Inventory | 1,042.77 | 1,042.77 | 1,636.02 | 
| ———— | |||
| Liabilities | |||
| Sundry Accounts Payable | 149.02 | 149.02 | |
| ———— | |||
| Present Worth | $1,487.00 | ||
 
Closing Entries, Trading and Profit and Loss Accounts
EXERCISE
15. On a certain date the assets and liabilities of John Noble are as follows:
Assets: cash, $450.00; inventory, $762.50; due from sundry debtors—John Lane $30.00, Henry Watson $17.60, D. B Olin $27.60.
Liabilities: due sundry creditors—Perkins & Co. $90.00, F. C. Watkins $54.00.
The following transactions take place:
April 1: Sold to Wm. Aultman on account, 1 bbl. apples $4.50; 10 bu. corn @ 48c. Bought from Mills & Sweet, 114# cheese at 11c.
April 2. Sold to Henry Watson on account, 10 bu. potatoes @ 75c; D. B. Olin paid his account in cash; sold for cash, miscellaneous merchandise $17.20.
April 3. Sold to Andrew Nevin on account, 20# lard at 11c, 14-1/2# ham at 15c; sold to Homer Miller on account, 1/4 bbl. flour, $1.55, 3 doz. eggs @ 26c, 20# sugar @ 5-1/4c; sold for cash, miscellaneous merchandise $18.60.
April 4. Paid Perkins & Co., cash 90.00; sold Marvin Stetson 1 bbl. apples $4.50, 2# coffee @ 40c, 1# tea @ 60c; Wm. Aultman paid his account in full; sold for cash, miscellaneous merchandise $16.30.
April 5. Bought from Geneva Milling Co. 100 bbls. flour @ $3.25; sold to D. Wiseman 2 bbls. salt @ $1.10, 10# sugar @ 5-1/2c; sold for cash, miscellaneous merchandise $14.90.
April 6. Sold F. C. Watkins 20 bu. corn @ 35c, 10# butter @ 30c, 1 vinegar cask $1.50; paid F. C. Watkins cash $42.50; Henry Watson paid his account in full; paid 1 month's rent $35.00; paid clerk hire $7.00; sold for cash, merchandise $27.90.
At the close of business, the merchandise inventory was $987.75.
Using journal, cash book, and ledger, open the books, enter and post these transactions Make a trial balance and a balance sheet, showing present worth. Does the business show a profit or a loss, and how much? How is the amount determined from the balance sheet?
Close the books into the proper accounts, showing gross and net profit and loss. To what account is the profit or loss transferred?
RETAIL COAL BOOKS
16. The proprietor wishes to retire from the grocery business, and, having an opportunity to sell the stock at inventory value, does so, receiving $1,042.77 in cash. He immediately pays sundry accounts payable, $149.02. He collects all accounts receivable except the amount due from L. B. Jenkins, $24.45. This leaves him with assets consisting of cash $1,462.55; due from L. B. Jenkins, $24.45; and no liabilities.
He next engages in the retail coal business, investing his entire assets. He rents an office and yards at $40.00 per month, and engages a teamster who owns a team and wagon, paying him $24.00 per week.
17. In this business there are introduced a sales book, with which the student is familiar, and a form of ledger known as center ruled (p. 25). This form at first appears slightly confusing; but there is considerable advantage in having the debit and credit columns side by side, as balances can be calculated more readily.
18. The cash book used is one having three columns. On the debit side the third column is used for cash sales. The footing is carried forward until the end of the month, or any other time when a trial balance is desired, when the amount is posted in one item. All bills are paid by check, the money received being deposited in the bank.
19. An auxiliary book used in this business is a scale book, in which are recorded the weight of wagon, gross and net weights. Weighing the delivery wagons used by the business each morning is sufficient; this weight can be used on each load hauled for the day. And on deliveries made by the regular wagons, it is not necessary to record the weight of each load in the scale book; knowing the tare, the net weight can be recorded in the sales book.
The principal use of the scale book is to record the weights of coal sold at the yards and hauled by the purchaser. When a wagon comes to the yard for a load of coal, it is of course necessary to obtain first the weight of the empty wagon; and it is important that both this and the gross weight be permanently recorded to prevent later disputes. The scale or weight book is usually made with sheets of from four to six weight tickets, perforated, having[143] stubs which are exact duplicates of the tickets. The perforated ticket is given to the customer and the stub remains in the book as a permanent record.
Since it is necessary to enter the weights in two places, and because this duplication of work is liable to result in errors, a better plan would be to omit the stub and make the book with carbon duplicate tickets. Even with the old style of book a sheet of carbon paper can be placed between two sheets and two copies of the ticket made at one writing; the record sheet to remain in the book. See illustration, p. 26.
 
CENTER RULED LEDGER
20. Uncollectable Accounts. In the closing entries of the last model set, we have shown that the gross trading profits are represented by the balance of trading account. All profits from other sources are credited directly to profit and loss account; likewise all other losses are charged directly to profit and loss. One such source of loss is uncollectable accounts. To charge the loss resulting from an uncollectable account against trading profits would create a false showing in respect to the trading profits during the current period, for the reason that the account may represent sales made during a former period.
 
Scale Book
SAMPLE TRANSACTION
21. The transactions which follow represent the business for the period covered:
| —Dec. 10— | ||
| Commenced business with the following assets: | ||
| Cash | $1,415.55 | |
| Due from L. B. Jenkins | 24.45 | |
| —Dec. 10— | ||
| Bought from Lehigh Coal Co., on account, | ||
| 25 tons nut coal | $4.25 | 106.25 | 
| —Dec. 10— | ||
| Bought from Reading Coal Co., on account, | ||
| 25 tons egg coal | 4.25 | 106.25 | 
| 15 tons pea coal | 3.75 | 56.25 | 
| ———— | ||
| 162.50 | ||
| —Dec. 10—[145] | ||
| Deposited cash | 1,400.00 | |
| —Dec. 11— | ||
| Sold to Henry Newton | ||
| 2,000# nut | 5.25 | 5.25 | 
| —Dec. 11— | ||
| Sold to D. H. Kennedy | ||
| 6,000# egg | 5.75 | 17.25 | 
| 4,000# nut | 5.75 | 11.50 | 
| ———— | ||
| 28.75 | ||
| —Dec. 11— | ||
| Sold for cash | ||
| 1,000# nut | 5.25 | 2.63 | 
| —Dec. 12— | ||
| Sold to Andrew White | ||
| 4,000# egg | 5.75 | 11.50 | 
| 1,000# pea | 5.25 | 2.63 | 
| ———— | ||
| 14.13 | ||
| —Dec. 12— | ||
| Sold to F. W. Francis | ||
| 6,000# nut | 5.75 | 17.25 | 
| 1,500# pea | 5.25 | 3.94 | 
| ———— | ||
| 21.19 | ||
| —Dec. 12— | ||
| Sold for cash | ||
| 4,000# nut | 5.75 | 11.50 | 
| —Dec. 13— | ||
| Bought from Lackawanna Coal Co. | ||
| 50 tons run of mine | 3.25 | 162.50 | 
| —Dec. 13— | ||
| Sold to Eastern Foundry Co. | ||
| 25 tons run of mine | 3.75 | 93.75 | 
| —Dec. 13— | ||
| Sold to Geo. Miller | ||
| 8,000# egg | 5.75 | 23.00 | 
| —Dec. 13—[146] | ||
| Sold for cash | ||
| 2,000# nut | 5.75 | 5.75 | 
| 4,000# nut | 5.25 | 10.50 | 
| 2,000# pea | 4.75 | 4.75 | 
| ———— | ||
| 21.00 | ||
| —Dec. 13— | ||
| Deposited all cash on hand | ||
| —Dec. 14— | ||
| Bought from Lehigh Coal Co. | ||
| 30 tons nut | 4.25 | 127.50 | 
| —Dec. 14— | ||
| Sold to Lotus Club | ||
| 10 tons nut | 5.75 | 57.50 | 
| —Dec. 14— | ||
| Sold to David Meyer | ||
| 4,000# pea | 5.25 | 10.50 | 
| —Dec. 14— | ||
| Sold to City Wagon Co. | ||
| 10,000# run of mine | 4.50 | 22.50 | 
| —Dec. 14— | ||
| Sold for cash | ||
| 6,000# egg | 5.25 | 15.75 | 
| —Dec. 15— | ||
| Paid Lehigh Coal Co. | ||
| Check# 1 | 106.25 | |
| —Dec. 15— | ||
| Received from D. H. Kennedy | ||
| Cash in full payment of his account. | ||
| —Dec. 15— | ||
| Sold to Samuel Hartley | ||
| 1,000# pea | 4.75 | 2.38 | 
| 2,000# nut | 5.25 | 5.25 | 
| ———— | ||
| 7.63 | ||
| [147]—Dec. 15— | ||
| Sold for cash | ||
| 2,000# pea | 5.25 | 5.25 | 
| 5,000# nut | 5.25 | 13.13 | 
| 4,000# egg | 5.25 | 10.50 | 
| 2,500# run of mine | 4.25 | 6.38 | 
| ———— | ||
| 35.26 | ||
| —Dec. 15— | ||
| Paid Henry Wiggins, teamster | ||
| Check #2 | 24.00 | |
| —Dec. 15— | ||
| Paid D. H. Tuttle | ||
| 1 month's rent, check #3 | 40.00 | |
| —Dec. 15— | ||
| Deposited all cash on hand | ||
| —Dec. 15— | ||
| Charged L. B. Jenkins account to profit and loss | ||
EXERCISE
22. Open the books, using cash book, sales book, journal, and ledger. Enter each transaction, and make all postings to ledger. Take off a trial balance of the ledger accounts.
At the close of business, Dec. 15, the inventory is taken, and shows the following quantities on hand:
| 38 | tons | nut | @ 4.25 | 
| 14 | " | egg | @ 4.25 | 
| 9 | " | pea | @ 3.75 | 
| 18½ | " | run of mine | @ 3.25 | 
Close all accounts representing trading transactions into a trading account, and find the gross trading profit or loss.
Close trading and revenue expenditure accounts into profit and loss account.
Close net profits into proprietor's account.
Bring down the balances in the ledger and take a new trial balance.
SALES TICKETS
23. In a retail business it is necessary for the sales person to record purchases at the time the goods are selected by the customer.[148] When but one or two clerks are employed, it is possible to record these sales in a counter book or blotter; but in a larger business employing several clerks, this method would be extremely inconvenient. The bookkeeper would be obliged to wait for the books; and even if two sets of counter books were provided for use on alternate days, the work would always be at least one day behind.
The increase in the volume of business transacted, and the multiplicity of transactions in a retail store, have been responsible for the introduction of many labor-saving methods and devices. One of these now used in all large stores and in many small ones, is the sales ticket.
The sales ticket is to all intents and purposes a small invoice blank. Sales tickets are put up in pads or in book form, and are numbered in duplicate. The number is prefixed by a letter—as H 10—which is intended to indicate either the department or the sales person. When a sale is made, the ticket or bill is made in duplicate by means of carbon paper; one copy is given to the customer, and the other retained. If it is a cash sale, the copy retained goes to the cashier with the money; if a sale on account, to the bookkeeper to be charged.
These sales tickets are also used for taking orders for future delivery, both copies being retained until the order is filled. When delivery is made, one copy goes to the customer as a bill. Aside from the time saved, the sales ticket is a great convenience, as its use gives the customer a bill for every purchase.
DEPARTMENTAL RECORDS
24. When the goods sold are divided into departments, it is here customary to record carefully the purchases and sales for each department. These records are provided for by the use of purchase and sales books having as many columns as there are departments. Let us suppose that the business under consideration is a single proprietorship, and that the goods sold are clothing, shoes, and furnishings. Each class of goods is kept in a separate department, sales and purchases being recorded by departments.
25. Purchase and sales books of a special design are used, each having three special columns. It will be noted that neither purchases nor sales are recorded in detail, but that both purchase invoices and sales tickets are recorded by number, and only the[149] totals extended in the proper column. The charges and credits are posted to personal accounts from the purchase and sales books. All purchase invoices are filed in numerical order. The sales tickets are kept in bundles, each day's tickets by themselves. The tickets of each department and each sales person are also kept by themselves. If it becomes necessary at any time to know the items of an invoice or sales ticket, it is an easy matter to refer to the files under the proper date and number for the desired information.
The combined totals of the three department columns must equal the footing of the total column. All footings are carried forward until the end of the month, when the totals are posted directly to purchase and sales accounts, completing the double entry. In the ledger, purchase and sales accounts are kept with each department; but when the books are closed, the results from all departments are combined in the trading account. Instead of recording cash sales in a special column in the cash book, all receipts of this kind are entered in the regular cash received column. These sales are not posted from the cash book, but are entered in the sales book daily. Thus they are carried forward in the footings, and at the end of the month the totals of the sales book represent all sales, both on account and for cash.
26. The cash book in this set presents some new features. Instead of using both pages of the book, one page is used for both debit and credit. The bank account is also kept in the cash book, debit and credit columns being provided for this purpose. Deposits are entered in the bank debit column and in the cash credit column. Checks are entered in the bank credit column and posted to individual accounts.
The other books used are the journal and ledger. The journal is used only for adjusting entries which cannot be made through the other books.
SAMPLE TRANSACTIONS
27. The business is opened by C. D. Walker, who invests $3,500.00 cash, which he deposits in the bank. The following transactions are recorded:
| —Jan. 12— | |||||
| Bought from Hart, Schaffner & Marx, Chicago | |||||
| 50 | suits | —————— | $13.50 | $675.00 | |
| 15 | " | 16.50 | 247.50 | ||
| ———— | |||||
| $912.50 | |||||
| Net; 2% 10. | |||||
| Invoice #1. | |||||
| —Jan. 12— | |||||
| Bought from Hamilton Brown Shoe Co., St. Louis | |||||
| 30 | pr. | shoes | —————— | 2.25 | 67.50 | 
| 30 | " | " | 4.25 | 127.50 | |
| 10 | " | " | 1.50 | 15.00 | |
| ———— | |||||
| 210.00 | |||||
| Net 60; 2% 10. | |||||
| Invoice #2. | |||||
| —Jan. 14— | |||||
| Bought from Farwell & Co., Chicago | |||||
| 1 | doz. | shirts | —————— | 13.50 | 13.50 | 
| 2 | " | " | 9.00 | 18.00 | |
| 4 | " | " | 6.25 | 25.00 | |
| 2 | " | sox | 1.50 | 3.00 | |
| 1 | " | " | 2.00 | 2.00 | |
| 10 | " | underwear | 6.50 | 65.00 | |
| 5 | " | hdkfs. | 1.10 | 5.50 | |
| ———— | |||||
| 132.00 | |||||
| Net 60; 2% 10. | |||||
| Invoice #3. | |||||
| —Jan. 14— | |||||
| Bought from Barr Dry Goods Co., St. Louis | |||||
| 12 | doz. | collars | —————— | .75 | 9.00 | 
| 12 | " | " | 1.10 | 13.20 | |
| ———— | |||||
| 22.20 | |||||
| Net 30. | |||||
| Invoice #3. | |||||
| [151]—Jan. 15— | |||||
| Sold to S. W. Martin, 842 3d Av., on account | |||||
| Sales ticket A4. | 25.00 | ||||
| S.T. B6 | 4.50 | ||||
| S.T. C18 | 6.00 | ||||
| ———— | |||||
| 35.50 | |||||
| —Jan. 15— | |||||
| Sold for cash | |||||
| Clothing | 148.70 | ||||
| Furnishings | 26.50 | ||||
| Shoes | 54.00 | ||||
| ———— | |||||
| 229.20 | |||||
| —Jan. 15— | |||||
| Paid Hart, Schaffner & Marx account | |||||
| Check #1 | 894.25 | ||||
| Discount | 18.25 | ||||
| ———— | |||||
| 912.50 | |||||
| —Jan. 16— | |||||
| Sold to A. R. Crane, 1162 Baker St., on account | |||||
| S.T. B7 | 3.00 | ||||
| —Jan. 17— | |||||
| Sold to D. H. Whipple, 476 Lake St., on account | |||||
| S.T. A12 | 27.50 | ||||
| Paid cash on account | 10.00 | ||||
| —Jan. 17— | |||||
| Received from S. W. Martin | |||||
| 1 shirt, for exchange | 1.50 | ||||
| Sold him on account | |||||
| 1 shirt | 2.00 | ||||
| S.T. B9 | |||||
| —Jan. 17— | |||||
| Sold for cash | |||||
| Department | A | —————— | 200.00 | ||
| " | B | 64.00 | |||
| " | C | 87.50 | |||
| ———— | |||||
| 351.50 | |||||
| [152]—Jan. 19— | |||||
| Sold to C. D. Lewis, 64 Ferry Av., on account | |||||
| S.T. B11 | 6.50 | ||||
| S.T. C23 | 3.50 | ||||
| ———— | |||||
| 10.00 | |||||
| —Jan. 19— | |||||
| Paid Hamilton Brown Shoe Co., on account | |||||
| Check #2 | 205.80 | ||||
| Discount | 4.20 | ||||
| ———— | |||||
| 210.00 | |||||
| —Jan. 19— | |||||
| Paid clerk hire, cash | 12.00 | ||||
| —Jan. 19— | |||||
| Paid store rent to D. C. Watson | |||||
| Check #3 | 50.00 | ||||
| —Jan. 19— | |||||
| Sold for cash | |||||
| Department | B | —————— | 37.50 | ||
| " | C | 35.00 | |||
| ———— | |||||
| 72.50 | |||||
| —Jan. 19— | |||||
| Deposited in bank | 550.00 | ||||
| —Jan. 20— | |||||
| Sold to B. E Johnson, 92 King St., on account | |||||
| S.T. A15 | 20.00 | ||||
| —Jan. 20— | |||||
| Sold for cash | |||||
| Department | A | —————— | 75.00 | ||
| " | B | 21.25 | |||
| ———— | |||||
| 96.25 | |||||
| —Jan. 20— | |||||
| Deposited in bank | 100.00 | ||||
| [153]—Jan. 20— | |||||
| Paid freight bills | |||||
| Department | A | —————— | 8.75 | ||
| " | B | 3.42 | |||
| " | C | 4.20 | |||
| ———— | |||||
| Check #4 to C. D. Jenks, Agt. | 16.37 | ||||
| The inventory on Jan. 20 is: | |||||
| Clothing | $487.00 | ||||
| Furnishings | 30.50 | ||||
| Shoes | 64.50 | ||||
| Balance Sheet, Jan. 20 | |||
| Assets | |||
| Cash | |||
| Bank | $2,983.58 | ||
| Office | 97.45 | ||
| ———— | $3,081.03 | ||
| Accounts Receivable | |||
| Martin | 36.00 | ||
| Crane | 3.00 | ||
| Whipple | 17.50 | ||
| Lewis | 10.00 | ||
| Johnson | 20.00 | ||
| ———— | |||
| 86.50 | |||
| Merchandise (Inventory) | 582.00 | ||
| ———— | $3,749.53 | ||
| Liabilities | |||
| Accounts Payable | |||
| Farwell | 132.00 | ||
| Barr | 22.20 | 154.20 | 154.20 | 
| ———— | ———— | ———— | |
| Present Worth | $3,595.33 | ||
 
Adjustment Journal and Department Purchase Book
 
Departmental Sales Book
 
Cash Book Including Bank Account
 
Center Ruled Ledger
 
Center Ruled Ledger
 
Center Ruled Ledger
 
Center Ruled Ledger
 
Center Ruled Ledger
 
Trial Balance
EXERCISE
28. Take a trial balance of the ledger accounts as they appear after the books are closed Jan. 20.
At the close of business, Feb. 28, we find that the following transactions have been recorded:
Purchased clothing from Hart, Schaffner & Marx, $1,500.00; from Brokau Bros., $720.00.
Purchased furnishings from Barr Dry Goods Co., $60.00, from Rosenthal & Co., $437.50.
Purchased shoes from Brown Shoe Co., $460.00.
Sold on account, clothing, $600.00; furnishings, $224.40; shoes, $112.00.
Sold for cash, clothing, $789.50; furnishings, $302.90; shoes, $447.25.
Received cash on account, $672.20.
Received returned goods: clothing, $15.00; shoes, $7.00.
Deposited cash in bank, $2,230.00.
Paid cash for expenses, $10.00.
Gave checks as follows: Hart, Schaffner & Marx, $1,176.00; Brokau Bros., $705.60; Brown Shoe Co., $294.00; Farwell & Co., $132.00; Barr Dry Goods Co., $22.20; Rosenthal & Co., $428.75; rent, $50.00; expenses, $100.00.
Cash discounts earned on accounts paid as follows: Hart, Schaffner & Marx, $24.00; Brokau Bros., $14.40; Brown Shoe Co., $6.00; Rosenthal & Co., $8.75.
Take a new trial balance as the ledger accounts appear after posting these transactions.
The inventory, Feb. 28, is:
| Clothing | $1,790.50 | 
| Furnishings | 176.40 | 
| Shoes | 136.25 | 
| ———— | |
| $2,103.15 | 
Close the books, make statement of trading and profit and loss account. Make a balance sheet.
What were the gross profits for this period?
What were the net profits?
What is the proprietor's present worth?
PARTNERSHIP
29. Legal authorities define a partnership as a combination by two or more persons, of capital, labor, or skill, for the transaction of business for their common profit.
Partnerships may be formed for the purpose of conducting any legitimate business or undertaking, and are created by contract, expressed or implied, between the parties. Partnership agreements need not be in writing, but may be made by oral assent of the parties. Even though they are legal if made orally, partnership agreements should always be made in writing.
30. Partnership Agreements. These should state the date on which the agreement is entered into, the name of the contracting parties, the name by which the partnership is to be known, and the address of the place of business. Following should be a statement of the nature of the business, the amount and form of investment of each partner, the duration of the partnership, the basis of division of profits, provisions for the dissolution of the partnership, definition of the duties of active partners, and a provision for the division of the assets in the event of dissolution or at the termination of the partnership.
31. Kinds of Partners. Partners are of different kinds, depending on the nature of the partnership agreement and the extent of their liability, expressed or implied, as between themselves or in respect to third persons. The usual classification of partners is as follows: ostensible, secret, nominal, silent, and dormant.
Ostensible partners are those whose names are disclosed to the public as actual partners.
Secret partners are those whose names are not disclosed to the public, though participating in the profits.
Nominal partners are those who allow their names to be used as partners, though they may have no actual interest in the business. The fact of their being known as partners makes them liable to third parties.
Silent partners are those who, while sharing in the profits, take no active part in the management of the business. Their names may or may not be known. Silent partners may also be secret partners,
Dormant partners are those, who are both silent and secret partners. They are usually included in a general term like Company, Sons, or Brothers.
32. Participation in Profits. The most simple partnership from an accounting standpoint is one in which the investments of the several partners are equal, and profits are to be divided equally.
This condition does not exist in all partnerships. The members of the partnership may invest unequal amounts and share in the profits on the basis of their investment. The investment may be equal, but one partner may receive an extra share of the profits in return for work performed in lieu of a salary. The investment may be unequal, but the one with the smaller investment may share equally in the profits in return for work performed. It is not unusual for a silent partner to furnish all of the capital and share equally in the profits with an ostensible partner who assumes full responsibility for the management of the business.
33. Interest on Investment. When the investment of the partners is unequal, it is customary to allow interest on the capital invested and to charge interest on all withdrawals. The interest on capital must be credited, and the interest on withdrawals must be charged, before profits can be distributed.
34. Capital and Personal Accounts. In a partnership a special account should be opened in the name of each partner to represent his investment (for example, John Smith, Capital). To this account is credited his net investment. When the books are closed, the account is credited with his share of the profits, and debited with his withdrawals.
A personal account should be opened in the name of each partner, to which is debited all withdrawals, either of money or goods. Even when the capital invested is equal, some partnership agreements provide that interest shall be charged on all withdrawals, particularly when the business is of such a nature that goods traded in are likely to be withdrawn by the partners, or when, for any reason, withdrawals are likely to be unequal. The balance of the partner's personal account is closed into his capital account when the books are closed. Before closing this account, it should be credited with interest on capital account and charged with the interest provided on withdrawals.
35. Opening the Books. When the books of a partnership are opened, the essential features of the partnership agreement should be written at the top of the first page of the journal. Next following the partnership agreement, are the entries showing the nature and amount of the investment of each partner, the amounts being posted to the credit of partners' capital accounts.
36. Closing the Books. When the books of a partnership are to be closed, the revenue accounts are closed into trading and profit and loss, the same as in any other form of business organization. The net profit is then apportioned according to agreement, the share of each partner being credited to his capital account. The balance of his personal account is then carried to his capital account; the balance of that account will then show his net investment.
Illustration of Closing Entries. A, B, and C form a partnership, each investing $1,000.00, profits to be shared equally. When the books are closed, the net profits are found to be $909.60. A's personal account shows a debit balance of $46.50; B's personal account shows a credit balance of $100.00; C's personal account shows a credit balance of $52.00. The entries are as follows:
| Profit and Loss | $909.60 | ||||||
| To | A, | Capital | a/c | $303.20 | |||
| " | B, | " | " | 303.20 | |||
| " | C, | " | " | 303.20 | |||
| A, Capital a/c | 46.50 | ||||||
| A, Personal a/c | 46.50 | ||||||
| B, Personal a/c | 100.00 | ||||||
| B, Capital a/c | 100.00 | ||||||
| C, Personal a/c | 52.00 | ||||||
| C, Capital a/c | 52.00 | ||||||
| The capital accounts after closing are: | |||||||
| A, Capital a/c | |||||||
| Dec. 31, | Bal. personal a/c | $46.50 | $1,000.00 | Jan. 1 | |||
| Balance | 1,256.70 | 303.20 | (1/3 profits) | Dec. 31 | |||
| ———— | ———— | ||||||
| $1,303.20 | $1,303.20 | ||||||
| ══════ | ══════ | ||||||
| $1,256.70 | net invest. | Dec. 31 | |||||
| [167] | |||||||
| B, Capital a/c | |||||||
| Dec. 31, | Balance | $1,403.20 | $1,000.00 | Jan. 1 | |||
| 303.20 | (1/3 profits) | Dec. 31 | |||||
| 100.00 | pers. a/c | Dec. 31 | |||||
| ———— | ———— | ||||||
| $1,403.20 | $1,403.20 | ||||||
| ══════ | ══════ | ||||||
| $1,403.20 | net invest. | Dec. 31 | |||||
| C, Capital a/c | |||||||
| Dec. 31, | Balance | $1,355.20 | $1,000.00 | Jan. 1 | |||
| 303.20 | (1/3 profits) | Dec. 31 | |||||
| 52.00 | pers. a/c | Dec. 31 | |||||
| ———— | ———— | ||||||
| $1,355.20 | $1,355.20 | ||||||
| ══════ | ══════ | ||||||
| $1,355.20 | net invest. | Dec. 31 | |||||
SAMPLE TRANSACTION
37. The first business taken up for consideration under the head of partnerships is a retail shoe business. The stock is kept in three classes: men's, women's, and children's shoes. Purchase and sales books, ruled to segregate transactions of each class, are used. The bank account is kept in the cash book, which is also provided with two columns for discount. All sales, whether for cash or on account, are recorded on sales tickets.
James Benton, Horace Douglas, and Henry Kemp form a partnership under the firm name of Benton, Douglas & Kemp, for the purpose of conducting a retail shoe business in Buffalo, N. Y. The date of the agreement, which is to continue for ten years, is March 1, 1908. James Benton invests $1,000.00 in cash and a stock of shoes inventorying $2,000.00 as follows: men's, $800.00; women's, $700.00; children's, $500.00. Horace Douglas and Henry Kemp each invest $3,000.00 in cash. The three partners are to share equally in the profits and each is to receive a salary of $100.00 per month. The books are to be closed and net profits divided at the end of each three months' period counting from January 1, which brings the first distribution on March 31.
The following transactions are recorded during the month of March:
| —March 1— | |
| Deposited in Second National Bank | $7,000.00 | 
| —March 1— | |
| Bought from National Fixture Co. | |
| Store fixtures | 2,000.00 | 
| Invoice #1 | |
| —March 1— | |
| Bought from John C. Morrison, Buffalo | |
| Men's shoes | 135.00 | 
| Invoice #2 | |
| —March 1— | |
| Bought from Hoyt & Co., Rochester, N. Y. | |
| Women's shoes | 127.50 | 
| Children's shoes | 84.00 | 
| ——— | |
| 211.50 | |
| Net 60; 2% 10. | |
| Invoice #3 | |
| —March 2— | |
| Sold to R. H. Wallace, 842 Delaware Av. | |
| 1 pr. men's shoes | 6.00 | 
| 1 pr. men's slippers | 2.50 | 
| ——— | |
| 8.50 | |
| —March 2— | |
| Sold to D. H. Lyon, 416 Niagara St. | |
| 1 pr. women's | 3.50 | 
| 1 pr. women's | 4.00 | 
| 1 pr. children's | 2.00 | 
| ——— | |
| 9.50 | |
| —March 2— | |
| Sold to Henry Norris, 297 Madison Av. | |
| 1 pr. men's | 5.00 | 
| 1 pr. children's | 1.25 | 
| 1 pr. children's | 1.50 | 
| ——— | |
| 7.75 | |
| [169]—March 2— | |
| Sold to R. H. Homans, 427 Lafayette Av. | |
| 1 pr. women's | 5.00 | 
| —March 2— | |
| Sold for cash | |
| Men's | 44.00 | 
| Women's | 37.50 | 
| Children's | 22.00 | 
| ——— | |
| 103.50 | |
| —March 3— | |
| Sold to H. J. Watson, 197 Locust St. | |
| 2 pr. men's | 15.00 | 
| 1 pr. women's | 5.50 | 
| ——— | |
| 20.50 | |
| —March 3— | |
| Sold to H. J. Meyer, 82 Bennett St. | |
| 1 pr. children's | 1.50 | 
| 1 pr. children's | 2.00 | 
| 1 pr. women's | 3.50 | 
| ——— | |
| 7.00 | |
| —March 3— | |
| Paid Hoyt & Co. bill by check | |
| Less cash discount. | |
| —March 3— | |
| Deposited in Second National Bank | 75.00 | 
| —March 3— | |
| Paid freight on shoes in cash | 2.60 | 
| —March 3— | |
| Sold for cash | |
| Men's | 30.00 | 
| Women's | 24.00 | 
| Children's | 15.00 | 
| ——— | |
| 69.00 | |
| [170]—March 4— | |
| Bought from Lee & Co., Rochester | |
| Women's shoes | 140.00 | 
| Net 30. | |
| Invoice #4 | |
| —March 4— | |
| Sold to D. Andrews, 84 Peck St. | |
| 1 pr. men's | 3.50 | 
| 1 pr. men's | 5.00 | 
| 1 pr. women's | 4.00 | 
| ——— | |
| 12.50 | |
| —March 4— | |
| Sold to Jas. Hayes, 519 Washington St. | |
| 1 pr. women's | 3.50 | 
| 1 pr. children's | 2.00 | 
| 1 pr. children's | 1.25 | 
| ——— | |
| 6.75 | |
| —March 4— | |
| Sold for cash | |
| Men's | 27.00 | 
| Women's | 32.00 | 
| Children's | 12.50 | 
| ——— | |
| 71.50 | |
| —March 5— | |
| Sold to R. D. Nelson, 842 Niagara St. | |
| 1 pr. men's | 6.00 | 
| 1 pr. women's | 5.00 | 
| ——— | |
| 11.00 | |
| —March 5— | |
| Sold to D. Needham, 47 Ames St. | |
| 1 pr. men's | 3.50 | 
| 1 pr. women's | 2.50 | 
| 1 pr. children's | 1.50 | 
| ——— | |
| 7.50 | |
| [171]—March 5— | |
| Sold for cash | |
| Men's | 31.50 | 
| Women's | 26.00 | 
| Children's | 11.00 | 
| ——— | |
| 68.50 | |
| —March 6— | |
| Deposited in Second National Bank | 200.00 | 
| —March 6— | |
| Sold to D. B. Wright, 47 Andrews St. | |
| 1 pr. men's | 5.00 | 
| —March 6— | |
| Sold to H. N. Hoyt, 821 Delaware Av. | |
| 1 pr. women's | 5.00 | 
| 1 pr. children's | 2.50 | 
| ——— | |
| 7.50 | |
| —March 6— | |
| Sold to Amos Wiggins, 92 Prospect St. | |
| 1 pr. men's | 5.00 | 
| 1 pr. women's | 3.50 | 
| ——— | |
| 8.50 | |
| —March 6— | |
| Sold for cash | |
| Men's | 52.00 | 
| Women's | 36.50 | 
| Children's | 18.25 | 
| ——— | |
| 106.75 | |
| —March 6— | |
| Paid clerk hire, cash | 9.00 | 
| —March 6— | |
| Gave checks as follows: | |
| Horace Douglas | 20.00 | 
| Henry Kemp | 25.00 | 
| [172]—March 8— | |
| Sold to D. Altman, 127 Wright St. | |
| 1 pr. men's | 6.00 | 
| Gave him check | 44.00 | 
| Credited his account for 1 mo.'s rent | 50.00 | 
| —March 8— | |
| Sold to R. H. Homans, 427 Lafayette Av. | |
| 1 pr. men's | 6.00 | 
| —March 8— | |
| R. H. Wallace paid his account in full. | |
| —March 8— | |
| Paid account of John C. Morrison by check | |
| —March 8— | |
| Sold for cash | |
| Men's | 25.00 | 
| Women's | 18.00 | 
| Children's | 10.50 | 
| ——— | |
| 53.50 | |
| —March 9— | |
| Sold to Walter Jenks, 87 South Av. | |
| 1 pr. men's | 6.00 | 
| 1 pr. women's | 4.00 | 
| 1 pr. children's | 2.00 | 
| ——— | |
| 12.00 | |
| —March 9— | |
| Sold to D. W. Mantel, 419 Delaware Av. | |
| 1 pr. women's | 5.00 | 
| 1 pr. children's | 2.50 | 
| ——— | |
| 7.50 | |
| —March 9— | |
| Sold to D. C. White, 1160 Main St. | |
| 1 pr. men's | 5.00 | 
| 1 pr. men's | 3.50 | 
| ——— | |
| 8.50 | |
| [173]—March 9— | |
| Sold to A. R. Crows, 40 Shaw St. | |
| 1 pr. women's | 3.50 | 
| —March 9— | |
| Sold for cash | |
| Men's | 54.00 | 
| Women's | 41.50 | 
| Children's | 20.50 | 
| ——— | |
| 116.00 | |
| —March 9— | |
| Deposited in Second National Bank | 275.00 | 
| —March 10— | |
| Sold to Henry Brown, 87 Douglas St. | |
| 1 pr. men's | 6.00 | 
| 1 pr. women's | 4.00 | 
| ——— | |
| 10.00 | |
| —March 10— | |
| Sold to D. L. Benedict, 80 Adams St. | |
| 1 pr. women's | 3.50 | 
| 1 pr. children's | 2.00 | 
| 1 pr. children's | 1.50 | 
| ——— | |
| 7.00 | |
| —March 10— | |
| Sold for cash | |
| Men's | 48.50 | 
| Women's | 39.00 | 
| Children's | 16.50 | 
| ——— | |
| 104.00 | |
| —March 11— | |
| Sold to D. H. Lyon, 416 Niagara St. | |
| 1 pr. men's | 6.00 | 
| —March 11— | |
| Received from Henry Norris, cash | 7.75 | 
| [174]—March 11— | |
| Sold to D. B. Wright, 47 Andrews St. | |
| 1 pr. women's | 3.50 | 
| 1 pr. children's | 2.00 | 
| ——— | |
| 5.50 | |
| —March 11— | |
| Sold to H. J. Meyer, 82 Bennett St. | |
| 1 pr. men's | 3.50 | 
| —March 11— | |
| Sold for cash | |
| Men's | 42.00 | 
| Women's | 39.50 | 
| Children's | 11.00 | 
| ——— | |
| 92.50 | |
| —March 12— | |
| Deposited in Second National Bank | 195.00 | 
| —March 12— | |
| Sold to D. L. Benedict, 80 Adams St. | |
| 1 pr. men's | 5.00 | 
| —March 12— | |
| Sold to H. A. Fisher, 42 Lyons St. | |
| 1 pr. women's | 4.00 | 
| 1 pr. children's | 1.50 | 
| ——— | |
| 5.50 | |
| —March 12— | |
| Sold to Andrew Winters, 476 Delaware Av. | |
| 1 pr. men's | 6.00 | 
| 1 pr. children's | 2.50 | 
| ——— | |
| 8.50 | |
| —March 12— | |
| Sold for cash | |
| Men's | 51.50 | 
| Women's | 43.00 | 
| Children's | 17.75 | 
| ——— | |
| 112.25 | |
| [175]—March 13— | |
| Bought from Rochester Shoe Co., Rochester | |
| Men's shoes | 265.00 | 
| Women's " | 220.00 | 
| Children's " | 98.50 | 
| ——— | |
| 583.50 | |
| Net 30; 2% 10. | |
| —March 13— | |
| Sold to D. Altman, 127 Wright St. | |
| 1 pr. women's | 4.00 | 
| 1 pr. children's | 2.50 | 
| 1 pr. children's | 2.00 | 
| ——— | |
| 8.50 | |
| —March 13— | |
| Sold to D. Alton, 46 Eastern Av. | |
| 1 pr. men's | 5.00 | 
| 1 pr. women's | 3.50 | 
| ——— | |
| 8.50 | |
| —March 13— | |
| Sold for cash | |
| Men's | 67.00 | 
| Women's | 52.00 | 
| Children's | 29.00 | 
| ——— | |
| 148.00 | |
| —March 13— | |
| Paid clerk hire | 9.00 | 
Henry Kemp wishes to retire from the business. His partners, Benton and Douglas, agree to pay him cash for his interest. To close the books, each partner is credited with one-half a month's salary, and the amount is charged to expense. The inventory shows the stock to be:
| Inventory | |
| Men's shoes | $759.75 | 
| Women's | 835.75 | 
| Children's | 519.00 | 
| ———— | |
| $2,114.50 | |
 
Journal Showing Opening Entries for a Partnership
 
Cash Book with Center Column for Particulars
 
Departmental Sales Book
 
Departmental Sales and Purchase Books
 
Classified Ledger Accounts
 
Classified Ledger Accounts
 
Classified Ledger Accounts
 
Classified Ledger Accounts
 
Classified Ledger Accounts
 
Classified Ledger Accounts
 
Classified Ledger Accounts
 
Classified Ledger Accounts
 
Classified Ledger Accounts
EXERCISE
38. 1. Submit a trading and a profit and loss account as shown by the books at the close of business March 13.
2. What errors do you find in these books?
3. Submit a balance sheet.
4. Submit the journal entries to be used in apportioning the profits, and in closing partner's personal account. Show partners' capital accounts after final closing.
5. Submit proper entries when Kemp's interest is purchased, assuming that he is paid by check from the funds in hand.
6. Submit trial balance of ledger of Benton & Douglas as the accounts appear after the purchase of Kemp's interest. Remember that no additional capital is invested.
39. Sale of Partnership. When the business of a partnership is sold, the net assets must be divided among the partners according to agreement, unless the partnership is to continue for the transaction of the same or some other class of business. As a rule, the liabilities are paid (if possible), from the cash funds on hand, leaving the net assets for division.
In the division of assets, one partner will frequently agree to accept a certain class of assets in lieu of cash, but at a discount. To illustrate, one partner might accept fixtures, which cost $1,000.00, at 10% discount. Deducting 10% from the cost price of the fixtures reduces the assets just that amount, and it is necessary to debit profit and loss and to credit fixture account, with the loss.
If any class of assets, other than the goods in which the firm is trading, bring a price above cost, it is necessary to debit the purchaser and credit profit and loss with the profit. If the stock regularly traded in is sold at a profit, no special entry is required; the sale is recorded in the regular way and credited to sales account, from which it finds its way into profit and loss in the final closing of the books.
This class of transactions involves but one of the many kinds of adjusting entries, all of which necessitate careful study on the part of the bookkeeper. In making adjusting entries, full explanations should be given that their meaning or intent may not be misunderstood by one who later refers to them. It is better to err on[190] the side of what may appear as too detailed explanation, than to leave anything to be taken for granted.
Following is an illustration of the entry involving the sale of fixtures at 10% discount:
| Profit and Loss | $100.00 | |
| Fixture Account | $100.00 | |
| 10% discount allowed on fixtures taken by A in part payment of his share of assets | ||
| A's Capital a/c | $900.00 | |
| Fixture Account | $900.00 | |
| Fixtures taken at 10% discount in part payment of his share of assets. | 
40. Benton and Douglas agree to continue the business and to share profits equally. At the close of business, Dec. 31, their balance sheet showed the following:
| Balance Sheet, Dec. 31 | |||
| Assets | |||
| Cash | |||
| In office | $144.60 | ||
| In bank | 1,287.20 | $1,431.80 | |
| ———— | |||
| Accounts Receivable | 810.00 | ||
| Inventory, Merchandise | 3,769.50 | 4,579.50 | |
| ———— | |||
| Inventory, Fixtures | 2,000.00 | 2,000.00 | |
| ———— | |||
| Total Assets | $8,011.30 | ||
| Liabilities | |||
| Accounts Payable | 925.20 | ||
| ———— | |||
| Present Worth | $7,086.10 | ||
| Benton's present worth | $3,543.05 | ||
| Douglas's present worth | 3,543.05 | ||
They accept an opportunity to sell for cash the stock and fixtures, the buyer agreeing to pay 15% above cost price for the merchandise, and cost price for the fixtures. The money received from this transaction, and the money in the office at time of sale, are deposited in the bank. Checks are drawn to settle all accounts payable, $7.22 discount being earned. In liquidating the business[191] of the firm, Benton agrees to accept the accounts receivable in part payment of his share, on condition that 10% be first charged off to cover uncollectable accounts.
EXERCISE
1. Show all entries required to complete the liquidation of this business.
2. At the final settlement, how much cash does each partner receive?
41. Division of Profits. When the investment of the several partners is unequal, the partnership agreement usually provides for the crediting of interest on capital, and the charging of interest on withdrawals.
A and B form a partnership, and commence business Oct. 1. A invests $7,000.00, and B invests $3,000.00. The agreement provides that interest at 6% shall be credited on capital and charged on withdrawals at the time of closing the books, profits to be shared on the basis of their investments.
The books were closed Oct. 31, with the following results:
 
 
The adjustment is made as follows:
| A's investment, | $7,000.00 | Interest for 30 days | (1 month) | $35.00 | 
| A's withdrawals | 200.00 | Interest for 15 days | .50 | |
| ———— | ||||
| Net interest to be credited to A | $34.50 | |||
| B's investment, | $3,000.00 | Interest for 30 days | $15.00 | |
| B's withdrawals, | 100.00 | Interest for 10 days | .17 | |
| ———— | ||||
| Net interest to be credited to B | $14.83 | |||
The journal entry is:
| Interest | $49.33 | |
| A's personal a/c | $34.50 | |
| B's personal a/c | 14.83 | |
| Net interest credited on capital accounts. | ||
After posting the entry, our interest account shows the following:
| Interest on capital | $49.33 | 
This account is, of course, closed into profit and loss, leaving net profits to be divided, $954.67, of which A receives 70%, and B 30%.
For the final closing of the books, we would close the personal accounts of A and B into their capital accounts, and close profit and loss account into their capital accounts. In actual practice the interest on withdrawals and investment would be entered and charged to profit and loss through interest account, before the net profit is brought down. In our illustration we have first brought down what appears to be the net profit, for the purpose of emphasizing the fact that the interest must be considered before profits are divided.
EXERCISE
42. C, D, and E formed a partnership Nov. 1. C invested $9,000.00 cash; D invested $7,000.00 cash; E invested $4,000.00 cash. The partnership agreement provided that profits should[193] be shared on the basis of the capital invested by each; interest at 6% to be credited on capital and charged on withdrawals.
At the close of business the following statistics are gathered from the books:
| C's Capital a/c | Cr. | ————— | $9,000.00 | 
| D's Capital a/c | Cr. | 7,000.00 | |
| E's Capital a/c | Cr. | 4,000.00 | |
| Purchases | Dr. | 15,000.00 | |
| Sales | Cr. | 12,000.00 | |
| Expense | Dr. | 160.00 | |
| Rent | Dr. | 150.00 | |
| Salaries | Dr. | 700.00 | |
| Bank | Dr. | 7,250.00 | |
| Bills Receivable | Dr. | 6,000.00 | |
| Accounts Receivable | Dr. | 7,220.00 | |
| Bills Payable | Cr. | 3,000.00 | |
| Accounts Payable | Cr. | 2,820.00 | |
| C's personal a/c | Dr. | Nov. 15 | $300.00 | 
| D's personal a/c | Dr. | Dec. 1 | 200.00 | 
| E's personal a/c | Dr. | Nov. 20 | 100.00 | 
| Inventory | Dec. 31 | 7,000.00 | 
Make trading account, profit and loss account, and journal entries to adjust interest.
Make balance sheet, and show partners' capital accounts after final closing of the books.
 
A VIEW OF THE NEW YORK GENERAL OFFICES OF THE WESTERN ELECTRIC COMPANY
CORPORATIONS
1. A corporation is an artificial body created by statute law and vested with power to act in many respects as an individual—in particular to acquire, hold, and dispose of property, real or personal; to make contracts; to sue and be sued, and the like.
It is a legal entity apart from its members. It may sue without joining its members, and may be sued by others without the necessity of joining its members. It may transfer property and transact all business, not inconsistent with the rights granted by its charter, in its own name. In the transaction of business it is regarded as an individual.
CLASSIFICATION OF CORPORATIONS
2. Corporations may be divided into two general classes—public and private. A public corporation is a political entity organized for the purposes of government—as a city, county, or village. A private corporation is one organized to further the interests of its members. These may be divided into two classes—stock corporations and non-stock corporations.
A stock corporation is one organized for the pecuniary gain of its members.
A non-stock corporation is one organized to further a particular object—as clubs, charitable associations, societies for scientific research, etc.
Stock or business corporations are the ones with which we are chiefly concerned. Such corporations are organized to enable several persons to unite their capital to conduct a legitimate business enterprise and such organization accomplishes two important results; the rights of the members to transfer their interest without affecting the standing of the business, and exemption from personal liability for contracts or acts of the corporation.
In a partnership, each individual partner is liable for the debts of the partnership, and any partner can make contracts in the name of the partnership, such contracts becoming obligations of net only the partnership but of each individual partner.
A member or stock holder in a corporation is, as a rule, liable only for the amount of his subscription to the capital stock of the corporation. The exception to this is the organization of certain classes of corporations in which it is provided that a stockholder shall be liable for twice the amount of his stock subscription. National Banks are examples of this class. No stockholder, as such, has the right to make contracts in the name of the corporation, and any contracts he may make are not binding on the corporation. Contracts made in the name of the corporation, to be binding, must be executed by an officer duly authorized to make such contracts.
3. Joint Stock Companies. How distinguished from corporations. A joint stock company is a large partnership in which the capital is divided into shares which are distributed among the partners in proportion to their interests. Joint stock companies differ from corporations and are like partnerships in the following respects:
Each member is liable for the debts of the company, and if he sells his shares he is still liable for the debts which were contracted while he was a shareholder.
Except when otherwise provided by statute, all members must join in any action at law by the company, and if another brings an action against the company he must join as many shareholders as he wishes to hold. In some states the law provides that an action against a joint stock company may be brought in the name of its president or other designated officer representing all the members.
4. Joint Stock Companies. How like Corporations. A joint stock company is like a corporation and differs from a partnership in the following respects:
The shares may be transferred. If a member dies his shares pass to his estate; if bankrupt they pass to his assignee; if he sells his shares they pass to the purchaser. Partners may withdraw and new partners may be admitted without the dissolution of the company. A partnership is dissolved by the withdrawal by death or otherwise of a single partner.
The shareholders do not manage the affairs of the company but[197] elect directors or other officers in whom the management of the business is vested. Members, as such, have no authority to bind the company.
CREATION OF CORPORATIONS
5. A corporation is created by legislative act. Formerly each corporation received a special charter from the legislature of the state, but as the advantages of corporations began to receive universal recognition it was seen that the delays incident to the granting of special charters were bound to work a hardship on those desiring to incorporate. Partly to overcome this, but more particularly to insure uniformity in the rights and privileges of corporations, and to prevent the conferring of special privileges through special charters, the legislature of most states has enacted uniform corporation laws. These statutes prescribe uniform regulations for the organization of corporations. State constitutions now very generally prohibit the granting of special charters to private corporations.
6. Requirements. While every state has its own corporation laws, the requirements of corporations are in many respects uniform. The law usually provides that a certificate of incorporation shall be filed with the secretary of state, or some other designated officer. This certificate must as a rule state:
The name of the corporation;
The place of business, where its principal office is located;
The objects of the corporation, including a statement of the business in which it is to engage;
The amount of the capital stock, and the number and par value of the shares into which it is to be divided;
The period for which the corporation is organized;
The number of its directors and the names of those who are to serve at the outset;
The names and addresses of the original incorporators with the number of shares of the capital stock subscribed for by each.
The form of the certificate required in the state of Illinois is shown in the illustration, p. 4.
STOCKHOLDERS
7. The members of a business corporation are known as stockholders or shareholders. At the time of organization the members subscribe for the shares of the capital stock agreeing to take and pay for them when issued. When the stock has been delivered and paid for, the stockholder is under no further obligation, unless the stock is by statute or contract subject to assessment.
 
8. Stock Certificate. When a stockholder has paid for his shares a certificate, known as a stock certificate, is issued to him. This certificate is the written evidence issued by the corporation that the person whose name appears therein is registered on the company's books as the owner of shares of the number and par value named.
The owner of a stock certificate can transfer it, and the one to whom it is transferred becomes a stockholder. Such transfers are not complete, however, until registered on the books of the company. A stock certificate is not, strictly speaking, a negotiable instrument, but it is the custom among business men to indorse stock certificates in blank and transfer them from hand to hand as negotiable instruments, until some one inserts his own name and has the transfer registered on the books of the company.
Such indorsement does not make a stock certificate a negotiable instrument, and the purchaser can acquire no better title than is possessed by the seller. Courts have held that the fact that a certificate of stock is not payable to bearer makes it non-negotiable.
CAPITALIZATION
9. This is the term commonly used to designate the amount of stock which the company is authorized to issue. It may have little reference to the amount subscribed or paid in, for most states authorize corporations to begin business as soon as a certain number of shares have been subscribed for, or even when only a small part of the subscriptions have been paid. For instance, a company with an authorized capitalization of $100,000 may be permitted to commence business as soon as $10,000 has been subscribed and $1,000 is actually paid in.
10. Capital and Capital Stock. The capital of a corporation is usually understood to mean its assets, and is a general term covering all of its property of every nature. It has no connection with the capital stock authorized or the number of shares subscribed.
Capital Stock is a term used in many ways each of which implies a different meaning. It may mean the amount which must be paid in before it can transact business as a corporation; it may mean the capital which the corporation is authorized to issue; it may mean[200] the amount subscribed regardless of the amount actually paid in; or it may mean the amount actually paid in regardless of the amount subscribed.
11. Kinds of Stock. As a rule the capital stock of a corporation is of two classes—common and preferred—though not all corporations issue both classes.
Common Stock is the stock of a corporation issued to all stockholders under the same conditions, and which is to share equally in the dividends.
Preferred Stock is stock which gives its owner certain preferences over the owners of common stock. This preference usually consists of a provision for the payment of certain dividends out of the net earnings of the business before any dividends can be paid on common stock. The officers of a corporation have no power to issue preferred stock unless it is provided for in the charter. Preferred stock may, however, be issued with the consent of all common stockholders. Preferred stock falls into subdivisions depending upon its provisions as follows:
Cumulative preferred stock is stock on which the payment of dividends is not dependent upon the earnings of one year. If a dividend is passed in one year or if not paid in full, it must be paid from future earnings before common stock can draw dividends.
Non-cumulative preferred stock is stock which carries a dividend preference only in respect to the earnings of the current year. While dividends are payable prior to dividends on common stock, no liability attaches to the corporation if earnings in any year are insufficient to pay dividends.
Guaranteed Stock is another name for cumulative or non-cumulative preferred stock—any stock on which the payment of dividends is guaranteed.
A corporation may issue more than one series of preferred stock, as first preferred, second preferred, etc. These issues take preference in the payment of dividends in the order of their priority. Dividends must be paid on first preferred before any surplus is available for the payment of dividends on second preferred.
12. Treasury Stock. This is stock subscribed for and issued which has been acquired by the corporation either by purchase or donation. The term is often erroneously applied to that part of the authorized[201] capital stock which has never been issued, and the error has even been made of referring to it as unsubscribed stock. Treasury stock is an asset and should be so treated on the books of the corporation. Unsubscribed or unissued stock is in no sense an asset; or as one writer puts it, no more an asset than the power of a person to issue notes is an asset.
13. Watered Stock. Any stock which is not represented by actual assets is called watered stock. It is usually represented by fictitious assets—as patents, copyrights, franchises, promotion expense, goodwill, etc.
STOCK SUBSCRIPTIONS
14. It is customary for the first board of directors to state by resolution in what manner the stock is to be disposed of; if subscriptions are to be received; if subscriptions are to be paid immediately or in installments. When the certificate of incorporation has been filed the subscription list is opened. This may be in book form, or a written or printed list. The following is a common form of stock subscription:—
We, the undersigned, do hereby subscribe to the capital stock of the————company, organized under the laws of the state of————in the amount set forth below, and severally agree to pay the amount of such subscription as follows:
When the board of directors shall, through its secretary or treasurer, certify that there has been subscribed——% of the authorized capital of $————, then we severally agree to pay——% of said subscriptions, and to pay a further——% on the——day of each month thereafter, until the full amount of such subscriptions shall have been paid.
 
MANAGEMENT OF CORPORATIONS
15. The affairs of a corporation are managed by its directors who are elected by the stockholders. A director has no authority individually[202] to bind the company. He can only act in conjunction with other directors in regular meeting as provided by the by-laws. The acts of the board are effected by orders or resolutions passed at such meetings. The number of directors constituting the board and the number required to form a quorum is specified in the by-laws. Directors must attend meetings in person to be entitled to vote. They cannot be represented by proxy. Since it is not practicable for the directors to attend to all of the details, they usually delegate to their officers authority to transact all of the every day business of the company. In larger corporations the directors organize themselves into subcommittees as executive committee, finance committee, etc. In small corporations these committees are unnecessary, their acts being performed by the board of directors.
16. Powers of Directors and Officers. The powers of the directors are extensive and are prescribed by the charter and by-laws. The directors have the power to bind the corporation in all its dealings with other persons or corporations. The powers of the stockholders are limited to the election of the directors; but as the directors are elected by a majority of the stockholders, the power to control the corporation through the election of a board of directors who will respect their wishes is thus conveyed to a majority of the stockholders.
Being representatives of the stockholders as a body, the directors must at all times be governed by what they honestly consider the wishes of the majority. Directors have the power to make contracts with the corporation only when they are manifestly fair contracts. For example, when not otherwise provided for, they may fix a fair compensation for their services and for the services of their officers. Except in cases of actual fraud, it is for the majority of stockholders to complain of such contracts, and they have the power to remove offending directors.
Officers of a corporation are its agents and have limited powers, usually prescribed by the by-laws. When not so specified, they are prescribed by the directors. It is not always necessary that all of the powers of an officer be specified in detail. If an officer has been accustomed to perform certain acts with the knowledge and consent of the directors, his acts become binding on the corporation. The title of an office does not necessarily convey any special powers. For example, while it is customary for the directors to confer special powers on the president, his title does not make him, in the corporation's dealings with the public, an agent of higher grade than the secretary, treasurer, or any other officer.
 
THE SUPERINTENDENT'S OFFICE, DOBIE FOUNDRY & MACHINE CO., NIAGARA FALLS, N. Y.
17. Powers of Corporations. As such, a corporation possesses certain necessary powers, and such other special powers as may be conferred by its charter.
To have a corporate name which can only be changed by law.
To sue and be sued.
To possess a corporate seal.
To appoint the necessary officers for the conduct of its business.
To enact by-laws necessary for the management of its business, for transferring of its stock, for calling of meetings, etc.
To acquire and dispose of such property as may be necessary for the conduct of the business for which it is organized.
To make contracts necessary for the carrying out of its purposes.
In general a corporation can engage in no other business than that specified in its charter, but it is granted certain incidental powers necessary to carry out its original purpose.
18. Stockholder's Rights. Each stockholder has the right to have a certificate of stock issued to him; to vote at meetings of stockholders; to inspect the books of the company; to participate in dividends; to invoke the aid of the courts in restraining the directors from committing a breach of trust.
DIVIDENDS
19. Every business corporation is conducted with a view to earning profits. When such profits are distributed to its stockholders they are called dividends, but stockholders cannot participate in the profits until a dividend has been declared by the directors. The law specifies that dividends must be paid out of the net surplus of the company, and provides a penalty for their payment out of capital. Therefore, before declaring a dividend, the directors must be provided with a balance sheet and use every care to determine that a surplus actually exists. For dividend purposes, surplus is usually considered that part of the profits remaining after paying expenses and providing the necessary reserve to cover depreciation of machinery and buildings and losses from uncollectable accounts. Sometimes a further provision is made in the by-laws for the creation of a sinking fund for the payment of bonds.
The times for the payment of dividends are fixed in the certificate[204] of incorporation or the by-laws. Provision is usually made for the payment of dividends either quarterly, semi-annually, or annually.
Directors have full discretion in the declaration of dividends and, so long as they are acting in good faith, may add profits to capital instead of declaring a dividend. When the directors have, by proper resolution, stated that the surplus, or a part of the surplus, shall be distributed to the stockholders, a dividend is said to have been declared. When declared, a dividend becomes a debt of the corporation to its stockholders. It is not necessary that the directors declare dividends of all the surplus or net profits. Frequently the by-laws provide that a certain amount be reserved as working capital, and under any circumstances the questions of the advisability of declaring a dividend rests with the directors. They cannot be compelled to declare a dividend unless it can be shown that, in declining to do so, they are acting in bad faith.
20. Stock Dividends. At their discretion, the directors may, instead of paying a dividend in cash, declare what is known as a stock dividend. When there remains certain unsubscribed stock, or when the corporation is in possession of treasury stock, this stock may be issued to stockholders in payment of dividends. A stock dividend cannot, however, be declared when it would not be proper to declare a cash dividend. The assets must exceed all liabilities, and in determining the existence of a surplus available for dividends, all capital stock that has been issued must be considered as a liability.
CLOSING TRANSFER BOOKS
21. In large companies it is customary for the board of directors to close the stock transfer books a certain number of days prior to the date of payment of a dividend, for the purpose of obtaining the names and addresses of all stockholders. Notices are then sent to all stockholders that a dividend will be paid on a certain date and that the transfer books will be closed for a stated period. Transfer books are also frequently closed for a certain period prior to the annual meeting of the stockholders. The laws of some states provide that only those stockholders whose names have appeared as stockholders on the books of the company for at least thirty days prior to the date of the annual meeting, shall be entitled to vote at said meeting.
STOCKHOLDERS' MEETINGS
22. Meetings of stockholders are, as a rule, held annually, and the date of such meeting is usually specified in the charter. At the annual meeting the board of directors presents, through its president or other officer, a report of the business for the year, accompanied by a financial statement. At this meeting the stockholders elect directors to take the place of those whose terms of office have expired. A stockholder may vote at stockholders' meetings either in person or by proxy, and is entitled to one vote for each share of stock registered in his name at the time of the meeting. Notice of a stockholders' meeting must in all cases be mailed to each stockholder at his last known address, a certain number of days prior to the date of the meeting. This notice is mailed by the secretary of the company.
SALE OF STOCK BELOW PAR
23. Many corporations formed to carry on business of a speculative nature find it difficult to sell stock at par. This is especially true when the assets consist largely of patents, an undeveloped mine, or property of a similar nature. It has become the custom for corporations to take over such properties, issuing in payment for the same full paid stock greatly in excess of its value. The original owners of the property will in turn donate a certain portion of the stock to the corporation to be sold to provide working capital. This stock then becomes treasury stock and is offered for sale at a liberal discount. The selling of property to a corporation at an inflated value is called the process of watering the stock. It can only be justified when an uncertainty exists as to the actual value of the property acquired. In the purchase of a going business, the real value of the goodwill is largely a matter of opinion, and the judgment of the board of directors of a corporation making such a purchase must be considered as final.
CORPORATION BOOKKEEPING
24. Bookkeeping for a corporation as a record of its business transactions with the public is not different than bookkeeping for a single proprietorship or a partnership. There are, however, certain necessary records peculiar to a corporation, including accounts of a[206] financial nature between the corporation and its stockholders. It is with these records and accounts that we are concerned in this discussion of corporation bookkeeping.
25. Books Required. The books required for corporation records are, Stock Certificate Book, Stock Transfer Book, Stock Ledger, Minute Book, (and in certain cases, Installment Book, Stock Register, and Dividend Book). These are auxiliary books and are known as stock books.
Stock Certificate Book. This is a book of stock certificates, with stubs giving full particulars of each certificate issued. When a stock register is used, the record is posted to it from the stub, otherwise posting is made direct from the stub to the stock ledger.
Stock Transfer Book. This is a book in which is kept a record of all transfers of stock. Each entry is practically a copy of the form of assignment found on the back of the stock certificate. It is supposed that each transfer will be signed by the one transferring the stock, but frequently when certificates are presented with the proper endorsement, the transfer is signed by the one making the transfer as attorney in fact. The transfer book is made with two, and sometimes three, transfers to a page. Transfers are posted to the stock register, when used, or direct to the stock ledger.
 
Transfer Book
Stock Ledger. This is the book in which an account is kept with each stockholder showing the number of shares held by him. Sometimes the amount is included. When a stockholder receives a certificate of stock it is posted to the credit side of his account in the stock ledger. When he transfers a certificate it is posted to the debit side of his account. A trial balance of the stock ledger should be taken at stated periods, for the stock standing to the credit of the stockholders should equal the total stock outstanding. The stock ledger is supposed to show only the stock issued and the names of its holders. For example, if the authorized stock of a corporation is 1,000 shares and there remains 300 shares unsubscribed, the stock ledger will show 700 shares—the total issued—to the credit of individual stockholders. An account should be opened in the stock ledger with Capital Stock, which account will be debited with all stock issued. This is in effect a representative account since it represents the total stock that should stand to the credit of other accounts in the stock ledger.
 
Stock Ledger
Minute Book. This is a record book in which the secretary keeps records or minutes of the proceedings of all stockholders' and directors' meetings. This is an official record of the acts of the corporation, and is frequently called for to be introduced in court as evidence. The secretary is custodian of the minute book and should see that it is carefully preserved.
Installment Book. When stock subscriptions are payable in installments, a form of receipt called a scrip or installment certificate is issued. As payments are made they are endorsed on the back of this certificate, and when all payments have been made the scrip is exchanged for a regular stock certificate. These scrip certificates are bound in book form similar to stock certificates.
Sometimes the scrip certificate takes the form of an installment[208] receipt for the amount paid, all receipts being surrendered to the company when payments have been completed.
 
INSTALLMENT CERTIFICATE
Stock Register. Some large corporations keep, in addition to the stock ledger and transfer books, a stock register which is a complete register of all stock issued. This book is kept by the registrar—usually a trust company or bank. All certificates are entered in the register in numerical order and full particulars of each are given. When a transfer is made both the old and new certificates must be taken to the registrar, who cancels the old and places his indorsement on the new, certifying that it has been registered.
One purpose of having a registrar is to prevent an over-issue of stock. The number of shares shown on the register must not exceed the number of shares which the corporation is authorized to issue.
 
Stock Register
Dividend Book. When the directors declare a dividend it is necessary to make a list of stockholders entitled to receive a dividend. Large corporations use a special form similar to the one illustrated.[209] It is made either in a book or on loose sheets which are placed in a binder.
 
Dividend Book
Some stockholders issue written orders to pay all dividends to some other person, which makes it necessary to record on this list the name of the person to whom this dividend is payable, as well as the name of the stockholder.
OPENING ENTRIES
26. In opening the books of a corporation it is necessary to first get the capital entered. In a proprietorship, the capital is credited to the owner; in a partnership it is credited to the individual partners. On the books of a corporation an account called capital stock is opened, to which capital is credited. This account is opened in the general ledger and original entries are made in the journal. The manner of making the opening entries depends upon the method of disposing of the capital stock.
If stock is sold for cash only and the entire amount is subscribed and paid for, the entry is simply
| Cash | $100,000 | ||
| To capital Stock | $100,000 | ||
| Stock subscribed and paid for by the following: | |||
| John Doe | $50,000 | ||
| Richard Roe | 25,000 | ||
| Henry Snow | 25,000 | ||
| as per subscription | |||
| list dated————190——. | |||
If only a part of the authorized stock is subscribed, there are two methods of entering the transaction.
| First: | Debit cash and credit capital stock as above, only as fast as stock is subscribed and paid for. | 
| [210]Second: | Debit cash and credit capital stock for the amount actually subscribed and paid for. Debit a new account called _unsubscribed stock_ and credit capital stock for the balance of the total authorized issue of stock. | 
Illustrating the above, we will suppose that the National Manufacturing Co. is organized with a capitalization of $100,000, of which $50,000 is subscribed and paid for in cash. The entries would be:—
| Cash | $50,000 | ||
| To capital stock | $50,000 | ||
| Stock subscribed and paid for by the following: | |||
| John Doe | $25,000 | ||
| Richard Roe | 15,000 | ||
| Henry Snow | 10,000 | ||
| ———— | |||
| Unsubscribed stock | 50,000 | ||
| To capital stock | 50,000 | ||
If stock is not paid for when subscribed or if it is payable in installments the entry is:
| John Doe | 25,000 | |
| Richard Roe | 15,000 | |
| Henry Snow | 10,000 | |
| To capital stock | 50,000 | |
| For subscription to stock as per subscription list. | ||
Or if it is not desired to enter the names of the subscribers an account is opened in the name of subscriptions, and the entry is:
| Subscriptions | 50,000 | |
| To capital stock | 50,000 | 
The above entries at once place the entire authorized capital stock on the books. When further subscriptions are made, subscription account is debited and unsubscribed stock is credited. When subscriptions are paid, cash is debited and subscriptions credited.
When subscriptions are payable in regular installments, payments may be credited to subscriptions. The plan is sometimes followed, however, of opening an account for each installment, as[211] Installment No. 1, to which payments are credited. When the installment is fully paid this account would be closed into subscription account.
Or still another formula—when stock has been sold subject to assessments to be made by the board of directors, and an assessment has been called the entry is:
| Assessment No. 1. | $10,000 | |
| To subscriptions | $10,000 | |
| An assessment of 20% as per resolution of the board of directors | ||
| John Doe | 5,000 | |
| Richard Roe | 3,000 | |
| Henry Snow | 2,000 | 
When paid, cash is debited and assessment No. 1 is credited. When the next assessment is called an account is opened with assessment No. 2.
27. When a Part of the Stock is Paid for in Property and the Balance in Money. A corporation known as The National Manufacturing Company is formed to take over a manufacturing business owned by John Doe. The capital stock is $100,000 of which Mr. Doe is to receive $50,000 for the assets and goodwill of his business, the company agreeing to assume his liabilities. His statement of affairs shows the following:
| Assets | ||
| Cash in bank | $2,264.00 | |
| Accounts receivable | 4,650.50 | |
| Machinery | 9,000.00 | |
| Manufactured goods | 2,100.00 | |
| Material and supplies | 3,780.00 | |
| Furniture and fixtures | 700.00 | $22,494.50 | 
| ———— | ||
| Liabilities | ||
| Accounts payable | 864.20 | 864.20 | 
| ———— | ———— | |
| 21,630.30 | ||
Since the net assets are $21,630.30, and the stock to be issued to John Doe is $50,000 the difference, or $28,369.70, represents the amount paid for the goodwill of the business.
The transaction is entered as follows:—
| Property and Goodwill of the business of John Doe, transferred to this company as per resolution of the board of directors, Dec. 21st, 1908. | ||
| Goodwill | $28,369.70 | |
| Cash | 2,264.00 | |
| Accounts receivable | 4,650.50 | |
| Machinery | 9,000.00 | |
| Manufactured goods | 2,100.00 | |
| Material and supplies | 3,780.00 | |
| Furniture and fixtures | 700.00 | |
| Accounts payable | $864.20 | |
| Capital stock | 50,000.00 | |
One half of the capital stock is thus accounted for. The balance is to be subscribed, and when subscribed the entries will be as explained in Art. 26, depending upon whether subscriptions are paid in full or in installments.
28. When Stock is Issued in Payment of Property and a Part of the Stock is to be Donated to the Company. John Doe owns a valuable patent on an automobile attachment and desires to secure capital to carry on its manufacture. He interests Richard Roe and Henry Snow, who agree to assist him to form the National Manufacturing Company to take over his patent and manufacture the attachment. The company is incorporated with an authorized capitalization of $150,000. Roe and Snow agree that Doe shall receive $100,000 full paid stock for his patent, and to subscribe $25,000 each, payable in cash to be used for the purchase of the necessary machinery. John Doe, in turn, agrees to donate $50,000 of his stock to provide working capital. The entries are:
| Patents | $100,000 | ||
| Capital stock | $100,000 | ||
| Full paid stock issued to John Doe to pay for patents transferred to the Company by bill of sale dated Dec. 2, 1908. | |||
| Subscriptions[213] | $50,000 | ||
| Capital stock | $50,000 | ||
| Subscriptions to capital stock as follows:— | |||
| Richard Roe | $25,000 | ||
| Henry Snow | 25,000 | ||
| ———— | |||
| Treasury stock | 50,000 | ||
| Working capital | 50,000 | ||
| Full paid stock donated by John Doe to provide working capital. | |||
| When subscriptions are paid:— | |||
| Cash | 50,000 | ||
| Subscriptions | 50,000 | ||
It is decided to sell $30,000 of the treasury stock at 50% of its face value, and subscriptions are received for this amount.
| Subscription to treasury stock | 30,000 | |
| Treasury stock | 30,000 | 
Subscription account is debited and treasury stock credited for the full amount since this is the amount of full paid stock to be issued, regardless of the price at which it is sold.
When this stock is paid for, the entry in the cash book on the debit side is:
| Subscriptions to treasury stock | 15,000 | 
This leaves a debit balance of $15,000 in the account subscriptions to treasury stock, which represents a discount on the stock sold.
The manner of disposing of this discount depends upon the provisions made by the directors in respect to the creating of working capital.
If their resolution provides that the fund maintained for working capital shall be only such an amount as may be realized from the sale of treasury stock, the discount is disposed of by the following entry:
| Working capital | 15,000 | |
| Subscriptions to treasury stock | 15,000 | |
| Discount on 30,000 treasury stock sold. | ||
Suppose, however, that the directors have provided by resolution for the maintaining of a working capital of $50,000. In that case the liability for the full $50,000 must remain on the books until such time as other provision is made. The entry would then be:
| Bonus | $15,000 | |
| Subscriptions to treasury stock | $15,000 | 
The discount is, to all intents, a bonus given to the purchasers, and if, as frequently happens, purchasers are promised a bonus of a share of stock for every share purchased, it would be proper to make the following entry in the first place.
| Subscriptions to treasury stock | 15,000 | |
| Bonus | 15,000 | |
| Treasury stock | 30,000 | |
| Sold 30,000 treasury stock at 50% of face value. | ||
In any dividend distribution the purchasers are entitled to draw dividends on the face value of their stock, since it was issued to them as full paid. It would be manifestly unfair to charge the discount or bonus against profits for the current year, and it is customary to spread it over a period of several years, charging off a certain per cent each year. The bonus account is, in the meantime, carried on the books as an asset, and belongs in the class known as fictitious assets.
Treasury stock is an asset, its real value being the market value of the stock represented. In the event of liquidation of the company, treasury stock would off-set the liability on account of capital stock. When all of the treasury stock is sold the account closes itself; or if it is issued to stockholders in the form of stock dividends, it is closed into profit and loss.
Working capital is a liability, which may be termed an assumed or nominal liability. Like capital stock it is a liability only as between the company and its stockholders. It off-sets whatever form of asset—cash or otherwise—that represents proceeds from the sale of treasury stock. The real position of working capital in the balance sheet is that of a capital liability which must be considered before any surplus available for dividends can be said to exist. Power is usually given the directors to reserve a certain amount for working capital, and even though an actual surplus may exist they have the[215] right to off-set this with a working capital liability instead of declaring a dividend.
29. Premium on Stock. The stocks of many well-managed enterprises sell at a premium. In all such cases the amount received above the par or face value is credited to an account called premium on stock. At the end of the year this account is closed into surplus account. If any such items are standing on the books it can be used to off-set bonus account or organization expenses. It is not proper to close premium account into the current profit and loss account, for while it represents a profit, it is not earned in the regular operations of the business.
30. Reduction of Working Capital. As before stated, so long as working capital remains on the books it must be treated as a liability. Having the right to create working capital, the directors also have the right to reduce it whenever, in their judgment, the necessities of the business no longer require its maintenance in the original amount.
A reduction of working capital has the effect of increasing surplus, since surplus is increased by an increase of assets or a decrease of liabilities. To reduce working capital, the account is closed into surplus. It is perhaps necessary to say that the account should not be closed into profit and loss, since it does not represent current profits.
Suppose that in the case of the National Manufacturing Co., it is desired to reduce working capital from $50,000 to $25,000; the entry would be:
| Working capital | $25,000 | |
| Surplus | $25,000 | |
| Working capital reduced by resolution of the board of directors, January 15th, 1909. | ||
ENTRIES IN STOCK BOOKS
31. The entries in the stock books are very simple and are just the opposite of stock entries in the general or financial books of the company. When certificates of stock are issued, an account is opened in the stock ledger with each stockholder, to which is credited the stock issued to him. At the same time an account is opened in this[216] ledger with capital stock which is debited with all stock issued, thus preserving the balance of the stock ledger. Taking the example in Art. 26, when stock is issued—
| We debit— | ||
| Capital stock | $150,000 | |
| We credit— | ||
| John Doe | $100,000 | |
| Richard Roe | 25,000 | |
| Henry Snow | 25,000 | 
When the $50,000 stock is donated to the treasury to provide working capital—
| We debit | ||
| John Doe | 50,000 | |
| We credit | ||
| Treasury stock | 50,000 | 
and open an account with treasury stock in the stock ledger.
When treasury stock is sold—
| We debit | ||
| Treasury stock | 30,000 | |
| We credit | ||
| Subscribers | 30,000 | 
When a stockholder sells a part or all of his shares to another it has no effect on capital stock or treasury stock accounts in the stock ledger. The only change takes place in the accounts of the individual stockholders involved. The stock transferred is debited to the account of the transferor, and credited to the account of the transferee.
Supposing that $30,000 treasury stock was purchased by Henry Benson, George Dennis, and Richard Carpenter, each purchasing $10,000, the stock ledger and stock register—if one is used—would appear as shown in the illustration. Footing the two sides of the stock register we find a balance of 1,300 shares which is the actual amount outstanding, the balance of 200 shares remaining in the treasury. A trial balance also shows that the stock ledger balances with a credit of $20,000 treasury stock.
 
Stock Ledger
 
Stock Ledger
 
AIR-LINE CASH-CARRYING SYSTEM FOR LARGE RETAIL DRUG STORE
Applicable to a Moderate-Sized General Store. Lamson Consolidated Store Service Co.
 
Stock Register
EXERCISES
1. A corporation is organized with a capital of $50,000.00, divided into 500 shares of $100.00 each. The corporation begins business when 250 shares have been subscribed for. Of this amount A subscribes for 100 shares, B for 100 shares, and C for 50 shares. These shares are paid for in cash within 30 days after the date of subscriptions.
Six months later the balance of the stock is subscribed for, subscriptions being received from A for 50 shares, B, 50 shares, D, 100 shares, and E, 50 shares. C sells 50 shares to B. These new shares are paid for in cash.
Make all entries in general books.
Make all entries in stock books.
2. A, B, and C organize a corporation with an authorized capitalization of $100,000.00, divided into 1,000 shares of $100.00 each. A subscribes for 400 shares, B, 300 shares, and C, 200 shares. The corporation buys from D land and buildings for $20,000.00, paying him $10,000.00 in cash and issuing to him 100 shares of stock.
Subscriptions are paid as follows: A pays $20,000.00 cash and gives his note due in 60 days for $20,000.00; B pays $20,000.00 cash and gives his note for $10,000.00 payable in 30 days; C pays $10,000.00 cash and gives his note for $10,000.00 payable in 10 days.
Make all entries in journal and cash book and post to ledger.
Note.—Land and buildings are grouped under the head of real estate.
3. John Davis and Daniel Greene own the La Belle mine, and to secure capital for its development they decide to organize a mining company and to sell shares. A corporation is organized with a capitalization of $1,000,000.00 in shares of $1.00 each. Of this stock 999,000 shares are issued to Davis and Greene, each receiving an equal number, and they, in turn, deed the La Belle mine to the company. The remaining 1,000 shares are subscribed and paid for by Martin Otis. Davis and Greene donate to the treasury 49,800 shares to be sold for the purpose of securing working capital. The directors, by proper resolution, decide to sell 200,000 shares: 50,000 shares to be sold at 20 cents on the dollar, 50,000 shares at 25 cents, and 100,000 shares at 35 cents. The resolution also provides that the corporation's liability for working capital shall be no more than the amount realized from the sale of treasury stock. Subscriptions[221] are received for the 200,000 shares and payments are made at the prices specified.
Make all necessary entries to get these transactions properly recorded on both the general and stock books.
STOCK ISSUED FOR PROMOTION
32. Frequently when a corporation is organized, stock is issued to a promoter as payment for his services. An enterprise may have great latent possibilities provided sufficient capital can be secured for its development, but until the possibilities for making a profit can be clearly shown, it is difficult to interest the investing public. To interest investors in an enterprise yet to be developed requires a special talent not possessed by the average owner of a patent, mine, or process. There are men who possess this special talent and who make a business of promoting companies.
In many cases—probably most cases—the owner of the thing to be promoted has no money with which to pay the promoter. Consequently, the promoter first satisfies himself that the enterprise actually holds possibilities of profit and then agrees to accept all or a part of his fees in the stock of the company. The portion of his fee that he is willing to accept in stock, and the number of shares demanded, is governed largely by his own faith in the enterprise. His fee may be a certain per cent on the stock sold, or it may be an arbitrary sum represented by a certain number of shares. When he accepts his entire fee in stock, it may represent from 25 per cent to 50 per cent of the entire capitalization, and while the fee may appear exorbitant when represented by the par value of the stock, its actual value to him is represented by the real value of the stock, or the price at which he could sell it.
Volumes might be written on the subject of promotion, but our special concern is the proper treatment of promotion fees on the books of the company. Strictly speaking, promotion fees are as much an expense as the cost of printing the company's prospectus, but to immediately charge it to expense would, in many cases, cause the accounts to show an impairment of capital at the outset. Suppose, for example, that a corporation is organized with a capital of $100,000.00 all paid in cash. The promoter is paid a fee of $15,000.00. Profits earned—trading profits—in the first year are $8,000.00, but[222] we have a charge of $15,000.00 for promotion in the expense account. The books show that the company is insolvent, the liabilities being $7,000.00 in excess of the assets, while the business actually is in a healthy condition.
Expenses paid in the regular course of business are expected to be off-set by earnings. When we pay rent for a store or office we expect that, by reason of our occupancy of that store or office as a place of business, our earnings will be increased in an amount greater than that paid for rent. Promotion expense cannot, in itself, produce earnings. The cash, or other form of asset, received from the sale of stock—the direct result of promotion expense—is off-set by the stock liability created. Earnings to off-set promotion expense must come from future operations of the business.
It has become quite the general custom, therefore, to allow the expense incident to the organization of the company to stand on the books as a fictitious asset, under some such caption as promotion expense, promotion fund, or organization expense. The amount is gradually reduced by charging a stated per cent to profit and loss each year.
There is another special reason why it would be manifestly unfair to immediately charge promotion fees to expense. Suppose a promoter receives 20% of the stock for his services, while the holders of the remaining 80% have paid cash for their shares. Since the 80 per cent paid in cash must earn dividends on the entire 100 per cent of stock, it would be unjust to the holders of the 80 per cent to withhold dividends until the par value of the 20 per cent of stock shall have been added to the assets of the company from profits earned.
The Entry. A patent is owned by Geo. Davis, who secures the services of Wm. Lane to promote a company to undertake its manufacture. The corporation is capitalized at $500,000.00. Davis sells the patent to the company receiving $250,000.00 stock in payment, and Lane receives $25,000.00 stock for promotion, when he has secured subscriptions for the remaining $225,000.00 at par. The entries to record the issue of stock to Lane for promotion are:
| Subscriptions | $25,000.00 | |
| Capital stock | $25,000.00 | |
| Subscription of Wm. Lane | ||
| Promotion expense[223] | 25,000.00 | |
| Wm. Lane | 25,000.00 | |
| Fee due Wm. Lane for promotion of company and sale of stock. | ||
| ———— | ||
| Wm. Lane | 25,000.00 | |
| Subscriptions | 25,000.00 | |
| Amount due to Lane credited to subscriptions to pay for stock subscribed by him. | ||
The entries for the shares issued to Davis and those sold are the same as previously explained and illustrated.
SURPLUS AND DIVIDENDS
33. The directors are under no obligation to distribute in dividends the profits earned in any one year. Instead, the by-laws usually provide that the decision as to when a dividend shall be declared is to be left entirely to the directors. They have it in their power to retain of the profits such an amount as, in their judgment, is advisable or necessary to safeguard the interests of the company. At the close of the fiscal year it is customary to close profit and loss account, and in a corporation it is closed into surplus.
34. Surplus Sub-divided. Sometimes the term surplus is used to designate a part of the profits set aside for a special purpose, as the creation of a fund to meet an obligation falling due at some future date. When surplus is treated as a special fund, or when it has been provided by resolution of the directors "that a certain sum, or a certain per cent of the profits shall be set aside as a surplus fund," and remaining profits not distributed as dividends may be placed to the credit of an account called Undivided Profits or Undistributed Profits.
In reality undivided profits is surplus, and the division of the account merely serves to show that the amount credited to surplus is for some reason reserved, while the amount credited to undivided profits is available for dividends whenever the directors may so elect. Whether or not the surplus should be shown in the balance sheet under these various headings, or all under the general head of surplus, with explanatory notes, is a question which need not concern us at this point.
35. Declaring a Cash Dividend. When a dividend is declared an account should be opened under the caption Dividends Payable or Dividend No. 1., etc. We will suppose that a dividend has been declared out of the profits of the business for the current year. The entry is:—
Profit and Loss
Dividends payable
Dividend of——% declared
by the board of directors
————1909, payable————1909.
When the dividend is paid the entry will be—
Dividends payable
Cash
To pay dividend payable
————1909.
36. Declaring a Stock Dividend. Not all dividends are paid or payable in cash. Sometimes the directors declare a dividend payable in stock and this is known as a stock dividend. There may be treasury stock in possession of the treasurer, and if the books show a surplus, which would make it proper to declare a cash dividend, a dividend may be declared payable in treasury stock. When such a dividend is declared the entry is—
Profit and Loss
Stock dividend
A dividend of——% declared
by the board of directors
————1909 payable————1909,
payment to be made in
treasury stock
Stock dividend
Treasury stock
To pay stock dividend
declared————1909.
The shares are then transferred on the stock books debiting treasury stock and crediting stockholders.
It is not absolutely necessary that a company possess treasury stock to declare a stock dividend. When current profits are large or a surplus, larger than the requirements of the business demand,[225] has been accumulated, a stock dividend may be declared by issuing additional shares, provided the original stock has not all been subscribed for.
If a large surplus has been accumulated and a part of the stock is unsubscribed, a stock dividend would require the following entries:
Surplus
Stock dividend
A stock dividend of——%
declared by the directors————1909
payable in the unissued
stock of this company.
————
Subscriptions
Capital stock
Additional stock subscriptions
received from the following.
————
Stock dividends
Subscriptions
Stock dividend due stockholders
used to off-set subscriptions.
The stock dividend is a device frequently used to conceal actual profits, or to cover up the fact that dividends are being declared in excess of a fixed rate. This is especially true of such public service corporations as lighting companies or street railways. In many cases a company will go through the necessary formalities to increase its capital stock for the purpose of absorbing surplus by means of a stock dividend.
37. Treatment of a Loss. If, during any year, the business has sustained a loss, it will, of course, appear as a balance on the debit side of profit and loss account. This will then be transferred to the debit of undivided profits or surplus, if any, remaining from previous years. For illustration, suppose the books show a surplus of $5,000.00, undivided profits $500.00, loss for the current year $2,500.00, the entry will be:—
| Undivided profits | $500.00 | |
| Surplus | 2,000.00 | |
| Profit and loss | $2,500.00 | |
| Loss for the year. | ||
If there is no surplus remaining from former years, the business is insolvent, in which case the capital is said to be impaired. This can be taken care of in either of two ways. First—by the stockholders subscribing to a fund to cover the deficiency. Second—by a reduction of the capital stock.
EXERCISES
1. David Francis and Henry Harmon own a large tract of timber land in Mexico. In connection with F. B. Walker—a promoter—they organize a corporation to build railways and mills for the purpose of developing the property and to market the timber. The company is capitalized for $1,000,000.00. The land is sold to the corporation for $1,000,000.00, stock for that amount being issued to Francis, Harmon, and Walker. Francis and Harmon each received $400,000.00 and Walker, $200,000.00. This $200,000.00 stock is issued to Walker as his fee for promoting the company. Francis and Harmon each donate 250 shares, of the par value of $100.00 each, to the treasury to be sold to produce working capital.
Make all necessary entries in general books.
2. The profits of a manufacturing company with a paid up capital of $100,000.00, are $9,765.00. The directors, by proper resolution, declare a cash dividend of 6 per cent, set aside a surplus of $3,000.00, and transfer the balance to undivided profits.
Make all necessary entries in general books, showing ledger accounts after payment of dividends.
3. The following year's business of the above company showed a loss of $2,160.00. How is this loss disposed of? Make entries.
4. A company capitalized at $250,000.00 has sold $100,000.00 of its stock, the balance being unsubscribed. Its accumulated surplus is $90,000.00, and the directors declare a stock dividend of 50 per cent to all stockholders. Make all entries.
5. A manufacturing company has a capital stock of $100,000.00. One item in its assets is machinery $26,750.00. The profits for the year are $11,640.00. The directors provide for a reserve for depreciation of machinery of 10% and declare a dividend of 5%.
Make all entries.
CHANGING BOOKS FROM A PARTNERSHIP TO A CORPORATION
38. Wilson, Brackett, and Nixon have been conducting a retail clothing business under a partnership agreement. Appreciating the advantages of a corporate form of organization, they decide to incorporate under the name of the Continental Clothing Company.
The first step necessary to prepare for the incorporation of a partnership is to ascertain the net capital of the business as it stands. Accordingly, an inventory is taken, the books are closed, and a balance sheet prepared with the following results:
| Balance Sheet of Wilson, Brackett, and Nixon | |||
| Assets | |||
| Cash | $1,650.72 | ||
| Bills receivable | $ 1,725.00 | ||
| Accounts receivable | 3,264.18 | 4,989.18 | |
| ———— | |||
| Merchandise inventory | 10,450.00 | ||
| Furniture and fixtures | 4,000.00 | 14,450.00 | $21,089.90 | 
| ———— | ———— | ||
| Liabilities | |||
| Bills payable | 3,000.00 | ||
| Accounts payable | 2,089.00 | 5,089.90 | |
| ———— | |||
| Wilson, capital account | 7,000.00 | ||
| Brackett, capital account | 5,000.00 | ||
| Nixon, capital account | 4,000.00 | 16,000.00 | 21,089.90 | 
| ———— | ———— | ||
From this balance sheet it is seen that the net capital is $16,000.00, of which Wilson owns $7,000.00, Brackett, $5,000.00, and Nixon, $4,000.00. On this showing, it is decided to form the company with a capital stock of $20,000.00, all of which is to be issued as full paid stock to the partners in proportion to their interests in the partnership.
New books are opened for the corporation and the next step is to transfer the accounts of the partnership to the corporation. An account is opened in the partnership ledger with the Continental Clothing Company and the following entry is made:
| Continental Clothing Co. | $21,089.90 | |
| Cash | $1,650.72 | |
| Bills receivable | 1,725.00 | |
| Accounts receivable[228] | 3,264.18 | |
| Merchandise inventory | 10,450.00 | |
| Furniture and fixtures | 4,000.00 | 
The above entry closes all of the asset accounts and shows that they have been transferred to the new company.
The next entry is:
| Bills payable | $3,000.00 | |
| Accounts payable | 2,089.90 | |
| Wilson | 7,000.00 | |
| Brackett | 5,000.00 | |
| Nixon | 4,000.00 | |
| Continental Clothing Co. | $21,089.90 | 
The above entry closes the liability and partners' accounts showing that they have been transferred to the new company and also closes the account of the Continental Clothing Co.
39. Entries on the Corporation Books. We are now ready to open the books of the new company. Subscription books are opened and the following subscriptions are received:
| Wilson | 8,750.00 | 
| Brackett | 6,250.00 | 
| Nixon | 5,000.00 | 
The net assets of the partnership are $4,000.00 less than the capital stock of the new company. No money is to be invested to cover this discrepancy, so it will be necessary to account for it on the books by opening a fictitious asset account under some such name as goodwill. Having made this provision, the books of the new company are opened by the following entries:
| Subscriptions | 20,000.00 | |
| Capital stock | 20,000.00 | |
| Subscriptions received as per subscription books. | ||
| ———— | ||
| Cash | 1,650.72 | |
| Bills receivable | 1,725.00 | |
| Accounts receivable | 3,264.18 | |
| Merchandise inventory | 10,450,00 | |
| Furniture and fixtures | 4,000.00 | |
| Goodwill | 4,000.00 | |
| Bills payable[229] | 3,000.00 | |
| Accounts payable | 2,089.90 | |
| Subscriptions | 20,000.00 | |
| The business and goodwill of the firm of Wilson, Brackett, and Nixon transferred to this company in payment of subscriptions to capital stock. | ||
These entries serve to get the capital stock, also the assets and liabilities of the partnership properly recorded on the books of the new company.
STOCK DONATED TO EMPLOYES
40. A partnership composed of Benson, Black, and Mabley is conducting a retail hardware business. They desire to give their bookkeeper (Parker) an interest in the business. The firm has the following assets and liabilities:
| Assets | ||
| Cash | $3,000.00 | |
| Accounts receivable | 2,000.00 | |
| Merchandise | 15,000.00 | |
| Total assets | $20,000.00 | |
| Liabilities | ||
| Accounts payable | 2,000.00 | |
| Benson capital | 6,000.00 | |
| Black capital | 6,000.00 | |
| Mabley capital | 6,000.00 | |
| Total liabilities | 20,000.00 | |
They incorporate the Benson Company with a capitalization of $40,000.00 divided into 400 shares of $100.00 each. Benson, Black, and Mabley each subscribe for 100 shares, and 20 shares are presented to Parker. The balance of the stock is to remain unsubscribed until such time as it is decided to accept further subscriptions. The business of the partnership is to be accepted by the company in payment of subscriptions which have been made, and which are for 320 shares or $32,000.00. The net assets of the partnership being $18,000.00, goodwill must represent the balance of $14,000.00. The entries on the books of the partnership follow—
| The Benson Co. | $20,000.00 | |
| Cash | $3,000.00 | |
| Accounts receivable | 2,000.00 | |
| Merchandise inv. | 15,000.00 | |
| ———— | ||
| Accounts payable | 2,000.00 | |
| Benson | 6,000.00 | |
| Black | 6,000.00 | |
| Mabley | 6,000.00 | |
| The Benson Co. | 20,000.00 | 
41. On Books of the Benson Co. The entries on the books of the new company are the same as in previous illustrations, the stock donated to Parker having been a gift from the partnership and the amount included in the goodwill.
| Subscriptions | 32,000.00 | |
| Capital stock | 32,000.00 | |
| ———— | ||
| Cash | 3,000.00 | |
| Accounts receivable | 2,000.00 | |
| Merchandise inventory | 15,000.00 | |
| Goodwill | 14,000.00 | |
| Accounts payable | 2,000.00 | |
| Subscriptions | 32,000.00 | 
42. When the Gift is Made by an Existing Corporation. We will suppose that the Benson Co. wishes to donate 10 shares of stock to each of three employes, A, B, and C. Having 80 shares unsubscribed, the donation will be made from that stock. Supposing that the company has accumulated a surplus, the transaction will be entered on the "books" as follows:
| Subscriptions | 3,000.00 | |
| Capital stock | 3,000.00 | |
| Subscriptions of A, B, & C per subscription book. | ||
| ———— | ||
| Surplus | 3,000.00 | |
| Subscription | 3,000.00 | |
| Surplus appropriated to subscriptions per resolution of the board of directors Jan. 25th, 1909. | ||
The above would be a rather unusual proceeding as the stock is fully paid, though such gifts are sometimes made. The tendency of the present times is toward profit sharing for the employes of corporations. The plan of profit sharing takes many forms, and there are some notable examples among very large corporations which have given employes stock in the corporation, or afforded them an opportunity to acquire stock on very favorable terms.
Among smaller corporations it is quite common to enable employes to acquire its stock subject to certain special conditions. Frequently employes are permitted to subscribe for stock with an agreement that they are to pay no money, but that dividends declared are to be applied to the payment of subscriptions. In this way the stock is made to pay for itself out of its own earnings. Sometimes provision is made for the payment of small annual installments on the subscriptions in addition to applying the dividends. When stock is issued to employes under these conditions, the contract sometimes specifies that in the event of the subscriber leaving its employ before the subscription is paid in full, the ownership of the stock shall revert to the company, and in such cases the stock, until it becomes full paid, is usually placed in the hands of a trustee. The principal object in issuing stock to an employe and surrounding the transaction with these restrictions is, of course, to insure his continuous service by making it an object to him to remain in the employ of the company.
When stock is so issued, the entry is—
Subscriptions
Capital stock
Subscriptions to stock
by employes, said stock
to be issued subject to the
conditions named in the resolution
authorizing its issue,
passed by the board of
directors January 25th, 1909.
The subscription account is left open until such time as it is closed by the payments credited. When a dividend is declared the entries are—
Surplus
Dividends payable
Being a dividend of ——%
declared by the board of
directors on————1909
payable————1909.
————
Dividends payable
Subscriptions
Dividend applied to the
payment of subscriptions.
Another provision sometimes met with in the issue of stock to an employe is that in lieu of an increase in salary he shall receive, at the end of the year, a certain amount in stock. He is then permitted to subscribe for a stated amount of stock and to apply the bonus, or added salary, as a payment. The bonus is usually a stated per cent of sales or of net profits. When such a contingency arises the entry is—
Salaries
John Jones
——% of sales as
per agreement.
Subscriptions
Amt. due applied in
payment of stock subscription.
If he has no account, on the books the transaction may be recorded by one entry—
| Salaries | $1,500.00 | |
| Subscriptions | $1,500.00 | |
| —————— | ||
WHEN STOCK SUBSCRIPTIONS ARE NEVER FULLY PAID
43. Corporations are sometimes organized with all capital stock subscribed but only paid for in part, and the balance of subscriptions never called for. T. C. Harris, John Alfred, and M. B. Hatch organize a company to conduct the business of buying, selling, and renting automobiles with a capital stock of $15,000.00, each subscribing for $5,000.00. A cash payment of 25% is made on the stock[233] and the balance is to be paid in when called for. The entries stand on the books as follows—
| Subscriptions | $15,000.00 | |
| Capital stock | $15,000.00 | |
| Cash | 3,750.00 | |
| Subscriptions | 3,750.00 | 
The business prospers to such an extent that the profits provide sufficient money and it is not likely that the stockholders will be called upon for further payments. It is decided to reduce the stock to $5,000.00 and to declare a dividend to make this stock full paid. The entries for these transactions follow:
| Capital stock | 10,000.00 | |
| Subscriptions | 10,000.00 | |
| Capital stock reduced in accordance with resolution of board of directors passed Jan. 27, 1909. | ||
| ———— | ||
| Surplus | 1,250.00 | |
| Dividends payable | 1,250.00 | |
| Dividend declared by board of directors Jan. 27, 1909, payable immediately. | ||
| ———— | ||
| Dividends payable | 1,250.00 | |
| Subscriptions | 1,250.00 | |
| Dividends applied to the payment of stock subscriptions. | ||
The original stock certificates are now surrendered and new ones issued in their place. In the stock ledger the stockholders are debited and capital stock credited for the shares surrendered. Then, capital stock is debited and stockholders credited for the new shares issued.
It might happen that a corporation wishes to reduce the capital stock held by stockholders without having it appear that capital stock has been reduced. This has been done by purchasing its stock and placing it in the treasury. Payment for the stock may be made in cash or notes, or it may be taken from surplus. The entries would be—
| Treasury stock | 10,000.00 | |
| Cash | 10,000.00 | |
| [234] | ||
| or | ||
| Treasury stock | 10,000.00 | |
| Bills payable | 10,000.00 | |
| or | ||
| Treasury stock | 10,000.00 | |
| Surplus | 10,000.00 | 
If the capital stock is to be reduced on the books, capital stock will take the place of treasury stock in these entries as—
| Capital stock | 10,000.00 | |
| Cash | 10,000.00 | 
EXERCISES
1. Parsons, Young, and Searles are partners and decide to form a corporation with capital stock of $40,000.00, which is to be issued as full paid stock in exchange for their present business. Each partner is to receive stock in proportion to his interest in the present business. The balance sheet of the partnership is as follows:
| Assets | ||
| Cash | 3,500.00 | |
| Bills receivable | 6,000.00 | |
| Accounts receivable | 6,500.00 | |
| Merchandise | 14,000.00 | |
| ———— | ||
| Total | 30,000.00 | |
| Liabilities | ||
| Bills payable | 4,000.00 | |
| Accounts payable | 2,000.00 | |
| Parsons | 10,000.00 | |
| Young | 8,000.00 | |
| Searles | 6,000.00 | |
| ———— | ||
| Total | 30,000.00 | |
Make entries on books of the partnership.
Make entries on books of the corporation.
 
A CORNER IN ONE OF THE SHOPS OF BROWNE & SHARPE MANUFACTURING CO., PROVIDENCE, R. I.
2. Hoadley and Stockton are partners and desire to incorporate a company with a capital of $10,000.00 to take over their business. It being necessary to have three incorporators they agree to give Hopper, an employee, 10 shares—$1,000.00—of the stock of the new company. The stock is to be divided equally between Hoadley and Stockton after giving Hopper $1,000.00. The balance sheet of the partnership is as follows:
| Assets | ||
| Cash | $960.00 | |
| Accounts receivable | 1,570.00 | |
| Merchandise | 720.00 | |
| ———— | ||
| Total | $3,250.00 | |
| Liabilities | ||
| Accounts payable | 460.00 | |
| Bills payable | 500.00 | |
| Hoadley | 1,145.00 | |
| Stockton | 1,145.00 | |
| ———— | ||
| Total | 3,250.00 | |
Make all necessary entries on the books of the partnership.
Make open entries on the books of the new company.
3. The National Manufacturing Co., has an authorized capital of $100,000.00 of which $60,000.00 is paid up and $40,000.00 unsubscribed. It is decided to permit employes to subscribe for $10,000.00 of the stock by paying 10 per cent in cash, all dividends declared to be applied to the payment of subscriptions.
What entries are made when this stock is subscribed for?
A 10 per cent dividend being declared at the end of the first year what entry is required?
4. The Atlas Novelty Co. has a capital stock of $50,000.00. All of the stock has been subscribed for, but only 40 per cent has been paid. A surplus of $10,000,00 has been accumulated. It is desired to reduce the stock to $25,000.00 full paid. What is the necessary proceeding, and what entries are required?
5. A company has a capital stock of $50,000.00 full paid, and a surplus of $11,172.00. A stockholder who owns $7,000.00 stock in the company wishes to dispose of his stock and, to secure cash, offers to sell it to the company at par. His offer is accepted and the stock purchased, but the company does not wish to reduce its capitalization. What is the entry?
RESERVES AND THEIR TREATMENT
44. A reserve is an amount retained from current earnings to meet a future contingency. According to a prominent authority[236] whose recent discussions of this subject have attracted attention, a reserve is an expression of the judgment of the accountant as to what amount will be necessary to meet a contingency. Reserves are created for many purposes, among which the following are good examples.
Reserves for bad debts. An amount—usually a stated per cent of accounts receivable—annually set aside to cover losses from uncollectable accounts.
Reserves for depreciation. The plant—buildings and machinery—will wear out, no matter how substantially built. A charge is made against current earnings to create a reserve which will provide for a renewal of the plant, or any part of it, when worn out. Separate reserves are usually maintained for buildings and machinery.
Reserves for Patents, Franchise, Goodwill and similar fictitious assets. An annual charge of an amount sufficient to extinguish the value at which the fictitious asset has been placed on the books.
Reserves for permanent improvements on leased property. Permanent buildings, title to which will revert to the lessor at the expiration of the lease, are sometimes erected on leased property. A reserve is created to absorb the cost of such improvements during the life of the lease.
Reserves for buildings in hazardous undertakings. In certain lines of business, manufacturing plants are erected with the expectation of having a permanent supply of raw material. If the supply gives out, the plant may be valueless for other purposes. Examples are oil wells and mines. A reserve is created to absorb the cost.
The reserve is coming into more general use every year, especially by corporations, whose managers see the necessity of providing for these contingencies. When a machine wears out it must be replaced. If no reserve has been created, the money for its replacement must come from current earnings, or be provided by borrowing money or increasing capital. The better plan is to make provision in advance by creating a reserve.
The amount of the reserve should be the value of the asset, and the sum set aside annually should be sufficient to equal the value of the asset at the end of its estimated life. To illustrate, if a machine is estimated to last 10 years, the annual reserve for depreciation should be 10% of its cost. The reserve is carried on the books as[237] a liability and is an off-set to the asset which it is to replace. If we were to prepare a statement of the value of machinery as shown by the books we would state it in this form—
| Machinery | $20,000 | |
| Less reserve for depreciation | 2,000 | |
| ———— | ||
| $18,000 | ||
This shows the exact amount at which this asset is valued. Taking the illustration referred to—at the end of 10 years the liability reserve for depreciation will equal the asset machinery, and the funds which have been reserved from profits during the past 10 years will be available for the purchase of new machinery.
45. Reserve Funds. A term frequently used to designate a reserve created for a certain purpose is reserve fund. This term is somewhat confusing for when we speak of a fund we are more likely to think of it as an asset than as a liability. When the principle underlying reserves is thoroughly understood, however, it is readily seen that the use of the term reserve fund is merely a question of the use of English and does not affect the principle. A reserve or reserve fund is a nominal liability artificially created to off-set a decrease in value of an asset. On the principle that an increase of liabilities represents a loss, the amount reserved each year represents a loss, but since the liability created is not a real but a nominal liability it does not affect the real assets of the business.
46. Sinking Funds. A sinking fund is an amount set aside out of profits to meet an anticipated liability, or an obligation which is to fall due at some future date. Sinking funds are set aside for such purposes as the payment of bonds at maturity, mortgages, etc. The sinking fund is the amount which, invested at compound interest, will produce the desired amount at the end of the period.
A sinking fund is an asset and may or may not be withdrawn from the business. Frequently a sinking fund is invested in securities, such as government bonds, which are placed in the hands of a trustee, thus insuring against the withdrawal of the funds from actual use in the business.
Unlike a reserve, a sinking fund has no effect on the apparent profits of the period in which it is created. It does, however, tie up or render unavailable for dividends a certain part of those profits.[238] Whether or not it is carried on the books in a separate account, a sinking fund is a part of the surplus of a business.
47. Computing Sinking Funds. The amount necessary to set aside at the end of the year to provide a given sum in a stipulated number of years at a stated rate of interest, compounded annually, may be found as follows:
Divide the interest for one year upon the sum to be accumulated by the compound interest upon $1.00 for the stipulated time. The result will be the amount necessary to invest at the end of each year.
If the amount is to be invested at the beginning of the year, divide the result obtained as above by the amount of $1.00 for one year.
Example. To provide for payment of $50,000.00 at the end of 15 years, what amount must be put into a sinking fund at the end of each year, if the fund is invested to earn 3% compound interest? Interest on $50,000.00 for 1 year at 3% is $1,500.00. Compound interest on $1.00 for 15 years at 3% is .55797. Dividing $1,500.00 by .55797 gives $2,688.32, the amount necessary to put into the fund annually. If this amount is to be invested at the beginning of each year, divide the above result ($2,688.32) by $1.03 (the amount of $1.00 for one year at 3%) and we obtain $2,610.02 the amount needed.
BONDS
48. In the sense here used a bond is the written obligation of a corporation to pay a certain amount at a specified future date. Bonds are usually secured by a mortgage on all or a part of the property of the corporation.
A bond issue is a favorite method of borrowing money with corporations. Bonds can be issued in any denomination, and by reason of this a loan can be distributed among a large number of investors. Being secured by mortgage on the company's property the bonds of a corporation are very frequently more desirable investments than its stocks. Interest on bonds must be paid before dividends can be declared.
Bonds can only be issued with the consent of the holders of a certain per cent of the stock.
49. Classes of Bonds. The bonds of corporations are of several classes, as follows:
A first mortgage bond is one secured by first mortgage on the company's property.
A second mortgage bond is one secured by second mortgage. Interest cannot be paid on second mortgage bonds until it has been paid on the first mortgage bonds.
General mortgage bonds are those secured by a general mortgage on all of the company's property.
Collateral bonds are secured by the deposit of collateral security.
A debenture is a bond with no other security than the good name of the company.
Refunding bonds are those issued in place of maturing bonds which the company does not wish to pay in cash.
Equipment bonds are those secured by the rolling stock of a railway, and are also known as car trust certificates.
A gold bond is any form of bond, the terms of which specify that it shall be paid in gold.
Registered bonds are those, the names of the owners of which must be registered on the books of the company. Ownership of a registered bond can be transferred only on the books of the company.
50. Bond Liability. When bonds are issued by a corporation, either public or private, an account is opened under some such caption as bond issue or bonds payable. As fast as bonds are sold the proceeds are credited to this account, which represents a liability. A new account should be opened for each issue of bonds.
The bonds of a given issue will all bear the same date, with interest payable from that date. We will suppose that a corporation issues its bonds for $100,000.00 in denominations of $1,000.00 each. These bonds are dated Feb. 1st, and bear interest at 5 per cent payable annually. They are payable at the end of 10 years from date. The company agrees to maintain a sinking fund of an amount sufficient to pay the bonds at maturity if invested in securities drawing 4 per cent interest, and to invest the fund in such securities which are to be placed in the hands of a trustee.
During the first year bonds are sold in the amounts and under the conditions which follow:
First. On the date of issue $10,000.00 of these bonds are sold at par.
Second. At the end of three months $10,000.00 of the bonds[240] are sold at 101 and accrued interest, yielding $10,225.00 of which $10,000.00 is principal, $100.00 premium, and $125.00 interest.
Third. The next sale is $10,000.00 of the bonds at 98, interest accrued $250.00, yielding $10,050.00 made up of principal $10,000.00, less discount $200.00, and interest $250.00.
 
Ledger Accounts of a Bond Issue
51. Premium on Bonds. When bonds are sold at a price above par, the premium should be credited to a premium on bonds account. When sold below par, the discount may be charged to the same account.
52. Interest on Bonds. The interest paid on bonds may be charged to an interest on bonds account, which keeps it separate from the regular interest account. When bonds are sold with accrued interest, which is paid by the purchaser, the accrued interest is credited to interest on bonds.
53. Expense of Bond Issue. All expenses incurred in the issue and sale of bonds should be charged to expense of bond issue account. The account can be closed into profit and loss immediately, or it is proper to spread it over the life of the bonds, charging off the proper amount each year. It is also considered proper to charge discount on bonds to this account.
54. Continuing the example in Art. 50, we find that the amount of bonds outstanding is $30,000.00, and a sinking fund must be established which will equal this amount when the bonds mature. Following the rule in Art. 38, we divide the interest on $30,000.00 for one year at 4 per cent ($1,200.00) by the compound interest on $1.00 for 10 years at 4 = (.48024) obtaining as a result $2,498.75, the amount necessary to be invested at the end of each year. This amount must be provided each year for permanent investment to meet the principal and an additional $1,500.00 must be provided each year for interest.
The entries which follow are the ones necessary to record the sales shown in Art. 50.
| —Feb. 1— | ||
| Cash | $10,000.00 | |
| Bond issue | $10,000.00 | |
| ———— | ||
| —May 1— | ||
| Cash | 10,225.00 | |
| Bond issue | 10,000.00 | |
| Premium on bonds | 100.00 | |
| Interest on bonds | 125.00 | |
| ———— | ||
| —Aug. 1—[242] | ||
| Cash | 10,050.00 | |
| Expense of bond issue | ||
| (discount) | 200.00 | |
| Bond issue | 10,000.00 | |
| Interest on bonds | 250.00 | |
At the end of the year when the interest is paid and the first installment of the sinking fund is set aside, these entries are made:
| —January 31— | ||
| Interest on bonds | 1,500.00 | |
| Cash | 1,500.00 | |
| ———— | ||
| Sinking fund | 2,498.75 | |
| Cash | 2,498.75 | |
The illustrations (page 240) show the status of all of these ledger accounts at the end of the year.
MANUFACTURING AND COST ACCOUNTS
55. Manufacturing began in this country many years ago and was for a long time confined to the eastern and New England states. Encouraged and fostered by national, state, and local governments, and by discoveries of sources of supplies, it has extended to all parts of the country. Manufacturing has grown to proportions which place it at the very head of our industries, if we except agriculture, the growth of which has been largely influenced by the progress in manufactures. One result is that the business of manufacturing has perhaps more than any other, attracted capital from great numbers of investors, large and small. Owing to its very nature, manufacturing readily lends itself to the corporate form of organization, and it is for manufacturing that a very great number of corporations have been formed. Manufacturing has, therefore, been selected for a more complete exposition of corporation accounting.
The accounts of a manufacturing business are to a certain extent peculiar to itself. Regardless of the nature of the product, there are certain underlying principles which should govern the devising of a system of accounts for a manufacturing business. Perhaps the most important feature to be kept in mind is to so arrange the system that the cost of manufacturing the goods will be shown.
Correct cost accounting methods are of greater importance to the manufacturer than the method of keeping accounts with his customers. He cannot afford to wait until the end of the year for results; he must know what his goods cost him if he is to intelligently make selling prices. There are so many opportunities for fluctuations in manufacturing costs that the accounts must at least show approximate results at all times.
Cost accounting is a profession in itself, and it is not our purpose to discuss, in this paper, all of the details of collecting data in the factory and shop. The purpose of this paper is to show the accounts with which a bookkeeper for a manufacturing business should become familiar. Even when a manufacturer does not maintain a complete cost accounting system the bookkeeper can produce some valuable statistics by a proper arrangement of the accounts.
ACCOUNTS USED
56. For the purpose of illustration we have selected a representative schedule of the accounts of a manufacturing business. The following accounts are those which have a direct bearing on the manufacturing branch of a business and do not include the administrative and selling branches.
FACTORY ASSETS
1. Real Estate. Includes the cost of land and factory buildings.
2. Machinery. Charged with the cost of all machinery including total cost of installation. Freight, cartage, and cost of erecting the machine ready for use should be included.
3. Patterns and Tools. Charged through cash and purchase book for all patterns and tools purchased. Charged through cash book and journal—with proper credit to material and labor accounts—if manufactured in the factory.
4. Material Purchases. Charged through purchase and cash books for all purchases of material that enters into the product. Cost includes charges for delivery. Credited for all material used in the factory. This may be subdivided into several accounts to represent the different classes of material used—as iron, steel, lumber, leather, hardware, etc.
5. Supplies Purchases. Charged through purchase and cash books for all purchases of factory supplies, like oil, waste, belt lacing, and similar items. Credited for all supplies used in the factory.
6. Finished Goods. Charged for all goods finished, usually at cost of manufacture. Sometimes a small factory profit is added. This account represents a purchase account to the commercial department, as it represents the cost of goods to them,
FACTORY EXPENSES
7. Salaries. Charged for salaries of superintendent, assistant superintendent, and factory clerks.
8. Labor. Charged through cash and pay roll books for the amount of all factory pay-rolls.
9. Experimental. Charged through cash and pay-roll books and journal for all labor and material used in experimental work carried on for the purpose of improving the product.
10. General Factory Expense. Charged through cash and purchase books for cost of miscellaneous factory expense items not otherwise accounted for.
11. Power, Heat, and Light. Charged for fuel, oils, water, wages of engineer and firemen, electricity (when purchased), and all other items entering into their cost.
12. Building Maintenance and Repairs. Charged through cash and purchase books for materials purchased specially for repairs to buildings. Charged through journal and pay-roll book for labor and materials or supplies consumed in maintenance and repairs to buildings.
13. Repairs to Machinery. Treated the same as No. 12.
14. Repairs to Patterns and Tools. Treated the same as No. 13.
15. Insurance. Charged through cash book for all premiums paid for insurance on buildings and contents.
16. Taxes. Charged for all state, county, and city taxes.
17. Depreciation of Buildings. An amount charged off each year to cover depreciation.
18. Depreciation of Machinery. Treated the same as No. 17. Depreciation based on estimated life of machine.
19. Depreciation of Patterns and Tools. Treated the same as No. 18.
SUMMARY ACCOUNTS
20. Manufacturing Account. Charged for cost of labor and material consumed in manufacture of goods; charged for proper proportion of all expense accounts; credited with cost of all finished goods. Balance represents cost of all goods in process.
COLLECTING COST STATISTICS
57. Routine Followed. The notes following the names of the accounts in the above schedule explain their purpose and show clearly how charges are made direct to the expense accounts. Further explanations are necessary in regard to charges and credits to manufacturing account.
Labor is easily disposed of as the amount standing to the debit of labor account at the end of the month is transferred to the debit of manufacturing account, closing labor account.
Material charges are more difficult to handle. In all well-regulated factories all material is as carefully accounted for as cash. Proper storage rooms are provided in which all material is stored. These rooms are placed in charge of a man known as stockkeeper or stores clerk, and no one is allowed to take material from the storerooms without first presenting a written order, signed by the foreman, showing for what purpose the material is to be used. This order is retained by the stockkeeper and after he has posted the material to his own records he sends it to the bookkeeper. From these orders, the bookkeeper compiles a record of material withdrawn and, at the end of the month, the amount is debited to manufacturing account and credited to material purchases.
The stockkeeper keeps a record of all material received and delivered and the balance of his accounts shows the quantities of the different materials which he should have in stock. His record should agree with the balance of material purchases account.
When a stockkeeper is not employed it is necessary to have reports from the factory. The bookkeeper should arrange to obtain daily reports from the foremen showing all materials taken into their departments which are to be used in the manufacture of the regular product. If any of this material is to be used for the manufacture of tools or patterns for use in the factory, or for repairs to tools, patterns, machinery, or buildings, it should be noted on the report with a statement[246] of the exact purpose for which it is intended. From these reports, the bookkeeper will compile his material records which will be credited to material purchases, and charged to manufacturing account and the different repair accounts at the end of the month.
Supplies are handled the same as materials, except that where this is a small item it is sometimes treated as an expense account. Where a considerable value is involved it is preferable to consider it as a subdivision of the material account.
The expense accounts must be charged on a percentage basis for the reason that the amounts actually expended vary in different months, and an expense item paid in one month may cover that particular expense for an entire year. Such items are insurance premiums and taxes, paid once a year to cover twelve months. Other expense items like experimental, power, and repairs are difficult to determine for a single month. It is customary to base the charge for these items on the records for the previous year. The amount of such expenses for a year is divided by twelve and each month one twelfth of the amount is charged to the manufacturing account and credited to the expense account. If there is any discrepancy at the end of the year it is adjusted by a debit or credit to finished goods.
Reports should be made daily by all foremen showing exactly what partly finished goods are received in their department and the quantity delivered to the next department. A record of these reports should be kept, which will show at all times the quantity of goods in process in each department. Reports of finished goods received in the stock room will show the quantity manufactured, or rather finished, during the month. See report form illustrated on page 53.
If all goods on which work had been started were finished, the charges to manufacturing account would represent their exact cost, but there is always a certain quantity of goods in various stages of manufacture, and the amount already expended on them must be considered. Therefore an inventory is taken of goods in process. Great care must be exercised, in taking this inventory, that too high a value is not placed on partly finished goods, for if the valuation is too high the apparent cost of finished goods will be less than actual cost. It is of utmost importance that the cost of manufacture be not understated, for it is on this cost that selling prices will be based. This is one reason why some manufacturers add a small-factory profit. Unless a complete system of cost accounting is maintained, this inventory of goods in process must be an estimate, but the record of goods in process in each department will be of considerable assistance in making the estimate.
 
Daily Report of Work in Process
When the inventory is complete the amount should be deducted from the total debits to manufacturing account, which will show the cost of goods manufactured. This cost should then be credited to manufacturing account and charged to finished goods account. Manufacturing account will now show a debit balance representing cost of goods in process.
This method will produce very satisfactory results for factories in which but one line of goods is manufactured, but does not supply the information required where several styles, sizes, or lines are made. For one line of goods it is only necessary to divide the total cost by the quantity produced, as pounds, feet, dozen, or gross to find the cost of a single unit. In the more complicated business a detailed cost system would be required.
PAY-ROLL RECORDS
58. In connection with the labor account, the manner of keeping the pay-roll record is of considerable importance. Like most other forms of record, pay-roll books are made to suit the needs of the individual concern. For a manufacturing business a feature to be kept in mind is such an arrangement as will give the most complete record of the cost of labor in each separate department. Where men are never transferred from one department to another during a weekly or monthly pay-roll period, this result would be obtained by a simple grouping of the names by departments. In many manufacturing lines, however, workmen are frequently transferred so that to obtain costs for departments it is necessary to provide special forms for distribution.
But why go to the trouble of distributing the pay-roll by departments? That we may more closely watch expenses and costs. The reports which the bookkeeper receives from foremen show quantities of goods passing through each department. If the pay-roll is sectionalized it will enable the bookkeeper to determine the labor cost per unit of goods manufactured in each department. A comparison of these costs from month to month will be of value in showing changes in cost. The form illustrated provides for a business having four departments and paying employes both on piece work and day wage plans.
 
Pay-roll Register for Time and Piece Work
EXPENSE INVENTORY
59. When the books are closed, it usually happens that certain expense accounts show expenditures for items of expense that are not accrued. Illustrations are insurance and taxes paid yearly in advance. Suppose insurance premiums to the amount of $150.00 are paid on April 1st to cover insurance for one year. If the books are closed July 1st, 9/12 of this amount will have been paid for insurance that we have not received—the premium has not been earned. The inventory will also show unused material which has been charged to such expense accounts as repairs. It is proper to take an inventory of these amounts, treating them as assets in the balance sheet.
To properly record all such unearned expenses and make the books agree with the balance sheet, an account should be opened under the title of Expense Inventory, to which these items will be charged, with corresponding credits to the proper expense accounts. After the books have been closed, these items will be changed to the expense accounts, and credited to expense inventory, closing the latter account.
EXPENSE LIABILITY
60. Certain expenses will have accrued which have not been paid. Such an item is interest on bills payable, bonds, or mortgages, or taxes due and unpaid. These items should be treated as liabilities in the balance sheet. An account called Expense Accrued should be opened and credited with these items, with corresponding debits to expense accounts. When the books have been closed, this account is closed by crediting the items to the expense accounts from which they were received.
BALANCE LEDGER
61. A form of ledger now in quite common use is known as the balance ledger. The form differs from the standard ledger form in being provided with an extra column in the center in which balances are extended. If the bookkeeper when posting, extends the balance after each item is posted, much time is saved in looking up accounts and in taking trial balances. The nature of the account will usually indicate whether there is a debit or credit balance. Accounts in the sales ledger will usually show a debit balance, while one in the purchase ledger will have a credit balance. If the balance is the opposite from what is to be expected it may be indicated by placing the letter D in front of the amount in the balance column for debits, or the letter C after the amount for credits.
 
WHEEL LATHE SHOP IN THE BALDWIN LOCOMOTIVE WORKS, PHILADELPHIA, PENNA.
 
Center-Ruled Balance Ledger
SAMPLE TRANSACTIONS
62. The following transactions exhibit the accounts which are special to a manufacturing business without including the commercial accounts which record sales. The manner of keeping those accounts is the same for a manufacturing business as for any other.
Being a business conducted by a corporation these accounts include the stock accounts usually kept in the general books. The auxiliary stock books are omitted, it being felt that the special illustrations of such books will have been sufficient to give the student a thorough understanding of their uses.
The books required in the manufacturing business, omitting sales accounts, are invoice register or purchase book, cash book, journal, pay-roll distribution book, purchase ledger, and general ledger.
A corporation known as the Atlas Manufacturing Co., is organized with an authorized capitalization of $100,000.00, with the provision that business is to begin when $50,000.00 of the stock has been[252] subscribed, and $25,000.00 paid in. The incorporators are Henry Biddle, John Noonan, David Snow, Henry Farwell, and George Dunn. Each incorporator subscribes for $10,000.00 stock payable one-half down and one-half in 30 days. The detailed record follows:
| —March 1— | |||
| Received subscriptions to the capital stock, payable one-half down, and one-half in 30 days, from the following. Stock is to be issued when paid in full. | |||
| Henry Biddle | $10,000.00 | ||
| John Noonan | 10,000.00 | ||
| David Snow | 10,000.00 | ||
| Henry Farwell | 10,000.00 | ||
| George Dunn | 10,000.00 | ||
| Received cash in payment of subscriptions from the following: | |||
| Henry Biddle | 5,000.00 | ||
| John Noonan | 5,000.00 | ||
| David Snow | 5,000.00 | ||
| George Dunn | 5,000.00 | ||
| Received from | |||
| Henry Farwell | |||
| His note at 30 days with 6% interest in payment of installment on his subscription | 5,000.00 | ||
| ———— | |||
| Deposited cash in Second National Bank | 20,000.00 | ||
| —2— | |||
| Received from | |||
| Derby Desk Co. | |||
| Invoice #1, terms N/30 | |||
| Charge to office fixtures | 350.00 | ||
| —3— | |||
| Leased for two years from Jacob Newman a factory building at an annual rental of $1,800.00, payable quarterly in advance. Gave him check No. 1 for 3 months' rent. | |||
| —4—[253] | |||
| The following invoices are entered— | |||
| Meyers Engine Co. | |||
| Invoice No. 2, terms N/30 | |||
| Charge to machinery | 1,500.00 | ||
| —4— | |||
| Patton Machine Co. | |||
| Invoice No. 3, terms N/30 | |||
| Charge to machinery | 3,500.00 | ||
| —4— | |||
| Danforth & Co. | |||
| Invoice No. 4, terms N/30 | |||
| Charge to material | 960.00 | ||
| —5— | |||
| The following invoices are entered— | |||
| Franklin Printing Co. | |||
| Invoice No. 5, terms 2/10, N/30 | |||
| Charge to office supplies | 165.40 | ||
| —5— | |||
| Slade Oil Co. | |||
| Invoice No. 6, terms 3/10, N/30 | |||
| Charge to supplies | 54.25 | ||
| —6— | |||
| Norwich Machine Co. | |||
| Invoice No. 7, terms N/30 | |||
| Charge to machinery | 8,500.00 | ||
| —6— | |||
| Paid freight by check No. 2 to T. Fogarty, Agt. | |||
| Machinery | 216.20 | ||
| Materials | 11.60 | 227.80 | |
| ——— | |||
| —8— | |||
| Francis & Co. | |||
| Invoice No. 8, terms 3/10, N/30 | |||
| Charge to materials | 640.00 | ||
| —9—[254] | |||
| Stevens & Co. | |||
| Invoice No. 9, terms 3/10, N/30 | |||
| Charge material | 225.00 | ||
| —9— | |||
| Gave Danforth & Co. | |||
| Check No. 3 | |||
| To pay bill of March 2 | 960.00 | ||
| Less 2% | 19.20 | 940.80 | |
| ——— | |||
| —10— | |||
| Lackawana Coal Co. | |||
| Invoice No. 10, terms N/30 | |||
| Charge power, heat, & light | 185.00 | ||
| —11— | |||
| Gave Franklin Printing Co. | |||
| Check No. 4. | |||
| To pay bill of March 4 | 165.40 | ||
| Less 2% | 3.31 | 162.09 | |
| ——— | |||
| —12— | |||
| Danforth & Co. | |||
| Invoice No. 11, terms 2/10, N/30 | |||
| Charge material | 315.00 | ||
| —13— | |||
| Drew check No. 5. for 2 weeks' pay-roll | 220.50 | ||
| Charge machinery for cost of installing | 178.50 | ||
| Building maintenance for repairs to building per pay-roll distribution | 42.00 | ||
| —15— | |||
| Gave Derby Desk Co. | |||
| Check No. 6 | |||
| To pay bill of March 1 | 350.00 | ||
| —15— | |||
| Gave Slade Oil Co.[255] | |||
| Check No. 7 | |||
| To pay bill of March 5 | 54.25 | ||
| Less 3% | 1.63 | 52.62 | |
| ——— | |||
| —17— | |||
| Gave Francis & Co. | |||
| Check No. 8 | |||
| To pay bill of March 7 | 640.00 | ||
| Less 3% | 19.20 | 620.80 | |
| ——— | |||
| —18— | |||
| Gave Stevens & Co. | |||
| Check No. 9 | |||
| To pay bill of March 8 | 225.00 | ||
| Less 3% | 6.75 | 218.25 | |
| ——— | |||
| —19— | |||
| Eureka Tool Co. | |||
| Invoice No. 12, terms N/30 | |||
| Charge tools | 250.00 | ||
| —20— | |||
| Check No. 10 for 1 week's pay-roll | |||
| Charge labor | 326.25 | ||
| Charge tools | 27.50 | 353.75 | |
| ——— | |||
| (Making tools for shop per pay-roll distribution) | |||
| —22— | |||
| Received from Danforth & Co. | |||
| Credit memo for damaged goods in lot covered by invoice dated 3/12 | 63.00 | ||
| Credit material | |||
| Gave them check No. 11 | |||
| For acct. | 252.00 | ||
| Less 2% | 5.04 | 246.96 | |
| ——— | |||
| —27—[256] | |||
| Check No. 12 for 1 week's pay-roll | 342.70 | ||
| Charge labor per pay-roll distribution | |||
| —30— | |||
| Gave Norwich Machine Co. | |||
| Note of Henry Farwell | 5,000.00 | ||
| Accrued interest | 25.00 | 5,025.00 | |
| ——— | |||
| Gave them check No. 13 to pay their account | 3,475.00 | ||
| —31— | |||
| Salaries check No. 14 for salaries of Supt. & Clerks | 350.00 | ||
63. Manufacturing Data. The following data has been collected by the bookkeeper from the reports of superintendent and foremen, and from the inventories taken at the end of the month.
| Material issued to factory | 1,003.35 | |
| Material used for building repairs | 50.00 | |
| Inventories | ||
| Supplies | 45.00 | |
| Rent (unexpired) | 300.00 | |
| Power, heat, and light (Coal) | 150.00 | |
| Office supplies | 140.40 | |
| Goods in process—material | 602.00 | |
| Labor | 400.00 | 1,002.00 | 
| ——— | ||
We will now close the ledger to ascertain manufacturing results for the month, by making the following adjusting entries in the journal—
Debit Manufacturing Account
for material issued to factory.
Debit Building Maintenance and Repairs
for material used in repairs.
Credit Material Purchases
for both of the above.
Debit Manufacturing Account
for Labor Account
for Supplies used—found by deducting inventory from supplies purchases.
for Salaries Account
for Rent one month
for Power, Heat, and Light—found as above
for Building Repairs
for Office Supplies—found as above
Credit accounts representing above
for amounts charged.
The manufacturing account will now show, on the debit side the total manufacturing expense for the month. The next step is to find the cost of finished goods to be credited to manufacturing account and charged to finished goods account. Our inventory of goods in process, which includes material and labor only, amounts to $1,002.00. The labor account and reports from foremen show that the amount of these items used in the factory is $1,672.30. In round numbers, the former is 60% of the latter, that is, sixty per cent of the work started is still in process. We will assume, therefore, that this is a fair percentage to be used in determining the expense items invested in goods in process. Taking 60% of the total manufacturing expense gives $1,400.13, which, deducted from the total, leaves $933.42 as the cost of finished goods.
In this case the per cent of goods in process is large for the reason that it is the first month of operation. The results in succeeding months will be more nearly equal. If the factory is running regularly, turning out practically the same quantities each month, the quantity of finished goods will just about equal the work started in any one month.
Should we wish to show a factory profit of 10%, it will be necessary to add 10% to the cost of finished goods which will then represent the cost to be used by the sales end of the business. Since we have no account to which this amount can properly be credited, we will open a new account called contingent profits, which will be closed into profit and loss at the end of the year.
Since we are not closing the books for the purpose of making a balance sheet, we do not close the expense accounts into an expense inventory account as explained in article 59. Instead, the balances are allowed to stand until such time as the books are finally closed.
 
Invoice Register with Distribution Columns.
 
Invoice Register with Distribution Columns
 
Check and Disbursement Record
 
Manufacturing Journal
 
Manufacturing Journal
 
Manufacturing General Ledger
 
Manufacturing General Ledger
 
Manufacturing General Ledger
 
Manufacturing General Ledger
 
Purchase Ledger
 
Purchase Ledger
 
General Ledger Trial Balance
 
Purchase Ledger Statement
EXERCISE
The transactions given in this exercise are a continuation of the business referred in to the preceding articles. During the month of April the following transactions are recorded.
| Material purchases | $2,670.00 | |
| Supplies purchases | 127.50 | |
| Patterns and tools purchases | 150.00 | |
| Cash received on subscriptions | 25,000.00 | |
| Deposited in Bank | 25,000.00 | |
| Checks drawn | ||
| Purchase accounts | 5,500.00 | |
| Salaries | 375.00 | |
| Pay-rolls | 1,670.20 | |
| distributed as follows: | ||
| Labor | $1,652.70 | |
| Machinery repairs | 17.50 | |
| David Snow | 10,000.00 | |
| (Stock purchased at par by Company) | ||
| The following data is obtained from the reports of foremen and inventories taken at the end of the month: | ||
| Material issued to factory to be used in manufacturing goods. | 2,261.00 | |
| Material used in machinery repairs | 16.70 | |
| Inventories, April 30 | ||
| Supplies | 147.00 | |
| Rent (unexpired) | 150.00 | |
| Power, heat, and light (Coal) | 75.00 | |
| Office supplies | 118.40 | |
| Goods in process—material | 615.00 | |
| Labor | 410.00 | 1,025.00 | 
| ——— | ||
1. Find value of goods in process, using the same percentages in estimating expense items as shown for material and labor.
2. Make journal entries closing accounts into manufacturing account to show cost of goods completed during the month.
Note:—To find total cost of material and labor, used and partly used, add to the amounts shown for one month the inventory of the same items at end of preceding month.
3. Make trial balance of general ledger after books are closed as shown in model set.
 
GENERAL OFFICES OF THE A. B. DICK COMPANY, CHICAGO, ILL.
VOUCHER SYSTEM OF ACCOUNTING
1. Voucher. A document which vouches the truth of accounts.
Receipt. An acknowledgment of money paid.
The voucher system is sometimes referred to as a modern system of accounting, but a study of the above standard definitions indicates that it is modern only in respect to forms of records and routine.
In the nomenclature of accounting the term voucher is quite commonly used in the same sense as the term receipt. The only distinction appears to be that a voucher is usually understood to be an acknowledgment of the payment of a particular item on account, while a receipt may be an acknowledgment of the payment of money without reference to the item or items covered.
Since the transaction of business began receipts or vouchers in some form have undoubtedly been used. Some form of acknowledgment of money paid has always occupied a place in business. But at first, receipts were not required—they were incidental; given as a matter of courtesy; a "thank you" in written form.
When the first man, after paying his grocery bill, was forced to pay it a second time because the merchant had failed to mark his account "paid," he demanded a receipt. He learned then and there that accounts, and those who keep them, are not infallible. He told his neighbors, and the custom of demanding receipts for money paid, came into being.
The receipt was demanded as a matter of self-protection, to prevent the possibility of payment of an amount being successfully demanded a second time. But the receipt was not an integral part of the accounting records of a business; it might or might not be demanded without affecting the records. So long as business was conducted by single proprietors or small partnerships, this was satisfactory,[274] since the receipt was not required as a record between partners.
With the advent of joint-stock companies and corporations, came ownership by a large number of investors. Having their capital invested, these owners had a right to know what was being done with their property, and there came a demand for a more strict accounting of money and property entrusted to the care of the managers of the business.
As business expanded and corporations grew in size and power, with wider spheres of activity, it became necessary to divide the operations of business concerns into departments, with corresponding divisions of authority. This meant the creation of a central authority to whom an accounting must be made by the departments or branches.
Audits were introduced. Not only did stockholders want to know that the business was honestly conducted, but the managers demanded proof that property entrusted to subordinates was accounted for and that the accounts were accurate—that is, truthful. Not satisfied with the evidence offered by entries in account books, auditors asked for further proof of the payments recorded; they demanded receipts, vouchers.
The voucher as used in modern accounting practice is then something more than a receipt for the payment of money; it is a proof that property has been administered as claimed by the accounting records. "A document which vouches the truth of accounts,"
2. Use of Vouchers. The most general use of the voucher still is as an acknowledgment of the payment of money. In fact, when we speak of a voucher it is usually understood to mean a receipt or acknowledgment of the payment of money for a specific purpose.
A voucher states the exact purpose for which the money is paid, the items either being listed or reference made to a specific invoice or account. Then when receipted it becomes a voucher in fact and takes its place as an integral part of the accounting records. The voucher may be said to form a connecting link, furnishing proof that the money was expended as shown in the records and that it was received by the payee. In this respect it acts as a check against a misappropriation of funds.
As the system of vouchers for payment of money came into more general use, many accountants argued that it should be carried[275] still further. Sales records were vouchered by original orders, shipping receipts, and invoice copies, and purchases by the regular vouchers, but there was no voucher for transactions involving transfers of values from one account to another. In making journal entries involving such transfers, many opportunities for fraud were opened. Just such entries have been frequently used to cover up fraudulent transactions.
The logical step to make the voucher system complete in every detail was the introduction of the journal voucher. If a voucher is provided for each journal entry, the bookkeeper can produce authority for every transaction recorded in his books.
The journal voucher is a voucher of authority, that is, it authorizes the entry involved and must be signed by an officer having power to make such authorization. To the bookkeeper, it is in many cases a protection, for if a question arises as to the legality of a transaction, he can produce his authority for the entry, which will place the responsibility where it belongs.
We have come in contact with cases in which the bookkeeper, following the explicit instructions of an officer of a company, has made entries clearly intended to defraud either creditors or stockholders, only to be later made the "scapegoat" and held jointly responsible with his superior officer.
Not all such entries show their clear intent, though their real purpose be fraudulent. Some of them are so ingenuous and supported by such plausible explanations, that the bookkeeper has no suspicion of their real nature. A case in point: a corporation was organized in a small town to engage in a manufacturing enterprise. Like many another corporation of similar character, the benefits which would accrue to the town, were dwelt upon at length by the promoters, and citizens were induced to invest their savings in small blocks of stock. Also, like many another enterprise entered into and managed by men with no technical training, this little factory struggled along for a few years, always operated at a loss. But a change came; an experienced manager was secured and the business began to exhibit symptoms of a healthy growth. The second year showed a profit; almost enough to wipe out the deficit. The third year the business outgrew the capacity of the plant, and $20,000.00 was invested in new machinery. Not an old machine[276] was discarded. The manager instructed the bookkeeper to charge $15,000.00 of the amount to repairs, explaining that it would off-set the amount which should have been charged off as depreciation in former years. Perhaps,—but it made the books show a small loss instead of a substantial profit for the year. And it is significant that several holders of stock, worth face value, and more, sold their holdings to the manager at an average price of .65. If no profit could be made on such a volume of business as had been transacted that year, what hope for the future?
 
Fig. 1. Voucher to be Receipted and Returned
To what extent a bookkeeper is justified in presuming to conserve the morals of his employer, is not a subject for present discussion. Just where the line should be drawn between moral and legal responsibility, is sometimes difficult to determine. But that bookkeeper innocently assisted in robbing unsuspecting stockholders. Had he insisted on the signed authority of the manager—that is, demanded a voucher—the entry might never have been made; he, at least, would have been freed from any possible charge of complicity.
3. Forms of Vouchers. The essential feature of a voucher is that it must show clearly the purpose for which it is drawn, and provide a proper form of receipt. There are many forms of vouchers designed to meet the requirements of different businesses.
 
Fig. 2. Back of Voucher Showing Distribution
The most simple form of voucher is a statement of items paid, with a receipt to be signed by the payee. A remittance in the form of cash or a check accompanies the voucher, the receipted voucher being returned by the payee. A form of voucher of this class is shown in Fig. 1.
The items paid can be listed on the voucher, or there may be a reference to certain invoices included in the payment. Some accountants attach the original invoice to the voucher, but for certain reasons we do not advocate this practice. Until the receipted voucher is returned there is no record of the items covered, unless the invoice has been copied.
 
Fig. 3. Combined Voucher and Check Used by the Pennsylvania Railroad Company
Some houses are slow in returning receipted invoices, resulting in many annoying delays. If the invoice is kept on file we at least have a record of the transaction, and it may be very necessary to refer to the invoice for prices or other information.
The back of the voucher is usually printed with a form for a distribution of the amount to the account or accounts to which it should be charged. A typical form is shown in Fig. 2. For permanent filing a voucher of this style is folded so that the number appears at the top, followed by the name of the payee, and the distribution record.
4. Voucher Checks. A step in advance of the early form of voucher with separate check is the voucher check. This is a form which combines the voucher and check.
Of voucher checks there are many forms, each designed to meet some special condition, or to conform with the ideas of the accountant. While these forms exhibit many variations in detail they may be divided into two general classes: folded voucher checks and single voucher checks.
The folded voucher check is usually twice the width of an ordinary check, making it regular check size when folded. This is intended to provide a receipt for the payment of items listed, by the endorsement of the check. Several such forms are illustrated.
Fig. 3 is a form of combined voucher and check used by the Pennsylvania Railroad Company, The account is transcribed on A, this being a sheet twice the width of a check. This form is made in duplicate, B being the carbon copy which is filed as a record of authority for the issuance of the voucher. The check itself, shown in C, is written on the back of the original voucher. A. When folded, this form is the size of a regular check and goes through the bank in the usual manner. The endorsement of the payee is a receipt in full for the items covered by the voucher.
This is a representative form of the folded voucher check. Naturally the details recorded will vary in different businesses, but the general plan is subject to slight changes. Some objection is raised by banks to the folded form. The claim is made that considerable inconvenience is caused in handling in the bank, by checks slipping between the folds.
Many of the earlier forms of voucher checks were not checks until certain conditions had been complied with. On the face of the voucher was printed "when properly receipted this voucher will be paid through ... Bank." This required a receipt in some special place, instead of the usual endorsement of a check, and it was not always easy to tell, at a glance, the amount to be paid.
Very naturally, objections were raised by the banks against the use of these complicated forms, but forms have been simplified in ways that have largely overcome these objections.
 
Fig. 4. Form of Voucher Check that Requires no Folding
An improvement is the ordinary check form arranged to provide a valid receipt for stated items. Such a form is illustrated in Fig. 4. This is an ordinary check form of regulation size, on which is noted the item or items paid. The checks are put up in pads and numbered as used. When endorsed, the check provides a valid receipt for the items covered.
 
Fig. 5. Duplicate Voucher Check in Loose Leaf Form
 
Fig. 6. Voucher Distribution
 Sheet
A voucher check with some advantageous features is shown in[281] Fig. 5. This is made in duplicate. A is the original voucher check, while B is the duplicate. When sent out, the stub shown in B, a duplicate of the statement on the original check, is attached to the check. This is detached by the payee for his records, and enables him to deposit the check without waiting to make the entry in his cash book.
These voucher checks are made in sheets and punched for filing in a loose-leaf binder. The balance of the form shown in B, the part remaining after the check and duplicate statement have been removed, is a copy of the check, and remains in the binder.
The checks are numbered consecutively, but the voucher number is entered when used and corresponds with the number of the voucher paid.
The office record of the items paid is made on the voucher form shown in Fig. 6. These are numbered consecutively, in the order in which they are approved, and when paid are filed in numerical sequence.
Another style of loose-sheet voucher check is illustrated in Fig. 7. This form is made on the typewriter, in triplicate, and includes the original check, a receipt and a copy of the check. The forms are made two to a sheet, and when a check is to be written the triplicate sheet is placed in the machine, three copies being made at one writing.
 
Fig. 7. Triplicate Form of Voucher Check that Provides a Receipt and a Copy of the Check
 
PLANT OF THE W. L. GILBERT CLOCK CO. AT WINSTED, CONN.
The triplicate form, or copy of the check, is the permanent record from which posting is done. Both the check and receipt are mailed and the payee is expected to return the receipt. If not returned within a reasonable time, the payee is followed up by letter and asked to return the receipt, as this becomes a part of the permanent office records.
 
Fig. 8. Duplicate Voucher with Check Attached
An excellent form of voucher with check attached is shown in Fig. 8. The voucher is made in duplicate, the check being attached to the original. The duplicate is kept on file for the office record, while the original, with check attached, is mailed to the vendor. He detaches the check and deposits it, keeping the original statement in his files. In the event of discrepancies, the vendor is expected to return both voucher and check, endorsement being considered as a receipt in full for items included in the statement.
5. Journal Vouchers. As previously explained, a journal voucher is a properly signed authorization of a journal entry. Journal vouchers are not intended to be used for the ordinary journal entries of a business, as closing entries and ordinary adjusting entries. They[284] are more particularly intended for special credit items or allowances, and special transfer or adjusting entries.
Fig. 9 illustrates a convenient form of journal voucher. This form is intended to be filed in a loose-leaf binder, and when so filed, becomes the journal itself, posting being made direct to ledger accounts. The usual method, however, is to make the entry in the journal and file this voucher as an evidence of authority.
A journal voucher should require the final approval of some one man before it becomes valid. The head of a business can keep in touch with all special allowances by having the journal vouchers brought to him for his signature.
 
Fig. 9. Journal Voucher for Adjusting Entries
One reason for the use of journal vouchers in large establishments having several departments is that special credits and allowances are constantly coming up, with which only one department manager is familiar. His O. K. is obtained, and the voucher must be approved by the manager, which makes these men responsible for the transaction.
6. The Voucher Register. Though the form of voucher is of considerable importance, and should be designed to meet the requirements of the business, the keystone of the voucher system of accounting is the voucher register. Wherever used, the voucher[285] register possesses certain uniform characteristics, but in each business the form takes on special features; in fact, the voucher register is distinctively a special form.
The voucher register is really a form of purchase book, with other features added, and takes the place of these records. In addition to the usual features of the purchase book or invoice register, the voucher register furnishes a complete record of payment of bills, and shows at all times the net amount of Accounts Payable. Another most important feature is that it exhibits all expenditures, for whatever purpose. A voucher is provided and properly registered for every check issued, insuring a receipt in proper form for every dollar paid out.
When properly handled, the voucher system does away with the purchase ledger, no ledger accounts with creditors being necessary. The register in connection with a file of unpaid vouchers, furnished a complete record of each individual creditor's account. At the same time, a controlling account is provided, which exhibits the total of outstanding accounts, and balances with the voucher register.
To furnish representative illustrations, we show several forms of voucher registers, which exhibit the special features usually found in such records. These may be used as guides in designing registers for any business.
Figs. 10 and 11 show forms identical in general arrangement, except that one is designed for a mercantile business, while the other is intended for a manufacturing establishment. The columns beginning at the extreme left are as follows: Date Entered, Voucher Number, Name of Payee and nature of account, Date of Invoice, Vouchers Payable (the total), and Date Due. The columns following are for distribution of the total to the different accounts. Columns are provided for those accounts in each group to which most frequent charges are made. The amounts of the vouchers are extended in these columns and footings carried forward to the end of the month.
In every business there are certain expense accounts to which charges are infrequent, not more than one charge a month, and in some cases one or two in a year. Examples of these accounts are insurance, taxes, rent, etc. To add columns to an already large voucher register for the accommodation of these few items is impractical, hence the Sundries column is provided for charges to accounts[286] for which special columns are not provided. Space is allowed for entering the names of the accounts, and each item is posted direct to the ledger account.
 
Fig. 10
 
Fig. 11
 
Fig. 12
 
Fig. 13
Typical Forms of Voucher Registers
 
Designed for Use in Different Businesses
The form of voucher register illustrated in Fig. 12 is designed for use where a complete voucher system, including the use of journal vouchers, is maintained. The special feature of this form is the addition of several columns for credit accounts. Space is provided for entering the names of the accounts to be credited, the amounts being carried to the proper ledger columns. This makes it possible to enter any journal voucher, and since full particulars are shown in the voucher itself, no explanations are required in the register.
At the right of these forms are columns for recording particulars of settlement. A column headed Unpaid Vouchers will also be noted. On the last day of the month, when all items have been entered, the amounts of all unpaid vouchers are extended in this column, and the total is carried forward to the next month's sheet, where it is entered in the vouchers payable column. When these vouchers are paid, particulars of payment are entered on the sheets containing the original record; as would have been done if they were paid in the month in which they were entered.
The footings of all columns are carried forward to the end of the month, when the totals of all distribution columns, excepting sundries, are posted to the debit of the corresponding ledger accounts. The footing of the vouchers payable column, less unpaid amount brought forward, must agree with the total footings of all distribution columns, since it represents the total of all vouchers registered. The net amount, that is, the footing of the vouchers payable column, less the amount of unpaid vouchers brought forward, is posted to the credit of a vouchers payable account.
On the credit side of the cash book, two columns headed Vouchers Payable are provided for the entry of payments. One column is headed Discount and the other Amount of Check, the discount column being a memorandum only. At the end of the month the total of these columns is posted to the debit of the vouchers payable account, the controlling account of the voucher register. When the footing of unpaid vouchers is brought forward at the end of the month, it should agree with the balance of the vouchers payable account.
Another method of handling unpaid vouchers is to provide both[289] debit and credit columns on the voucher register, headed Suspense Accounts, as shown in Fig. 13. All unpaid vouchers are carried to the credit column at the end of the month, and when paid the entry is made in the debit column. Footings of the suspense columns are carried forward in pencil, for, when all amounts on one sheet have been paid, those items need not be considered in obtaining the balance. One advantage claimed for this method is that it keeps the vouchers payable column free of all but current items.
Another feature of this form, Fig. 13, is the absence of a check number in the payment column. In this case, a voucher check is used, which necessitates but one series of numbers. When bills are audited, the voucher checks are made out and numbered, but the dates are omitted until payment is made, when they are entered with other particulars under the head of Payments.
An objection is sometimes made that with the voucher system, allowing but one line to an invoice, no provision is made for partial payments. This can be easily overcome with this form of register. Any unpaid balance of a current item will be carried to the suspense column. If further partial payments are likely to be made, the amount should be entered in the credit column and the name of the payee in the remarks column. Several lines should then be allowed for the account, permitting the entry of as many separate payments.
When all bills are paid as soon as audited, taking advantage of cash discounts, there is no necessity for columns intended to care for suspense items. All vouchers will be paid not later than during the month next following the date of entry, and there will be no unpaid vouchers not found on the current or next preceding month's record.
7. Operation of Voucher System. While accountants have introduced many details into the operation of the voucher system, all intended to make the application of the system more nearly perfect in some particular business, the general routine of conducting the system is summed up in the following:
1. Auditing of invoices.
2. Executing and registering vouchers.
3. Filing audited vouchers.
4. Paying vouchers.
5. Filing paid vouchers.
6. Indexing paid vouchers.
8. Auditing of Invoices. When invoices are received they should immediately go to the purchasing agent. If there is no regularly appointed purchasing agent, or in a business like a department store where there are several buyers, the invoices should be kept by the auditor, comptroller, or chief accountant until the goods are received, when he will obtain the O. K. of the person who ordered the goods or incurred the obligation.
Pending the receipt of the goods, the invoices should be filed alphabetically, under the name of the vendor. The file may be one of the flat files which can be kept on the desk or if the number of invoices be large, a section of a vertical file drawer can be used.
When the goods have been received, which will be attested by a report in some form by the receiving clerk, the invoice is O. K.'d for quantities and prices by the buyer, and extensions are checked by the auditor or chief accountant.
9. Executing and Registering Vouchers. As soon as the invoices are audited, vouchers are executed and entered in the invoice register. Extensions are made to the proper columns, placing the accounts on the books, just as would be done if invoices were credited to accounts of the vendors in the general or purchase ledgers.
Vouchers should never be made for invoices in dispute, as to prices or on account of claims for shortage, damaged goods or other cause. Until such claims are adjusted, the invoices should be kept in a file reserved for items in suspense. When the books are closed, such items must be included under liabilities in the balance sheet. To avoid actually entering them on the books, they may be entered in the balance sheet under some such caption as "Suspense Accounts."
10. Filing Audited Vouchers. The vouchers are now ready for filing until date of payment. This does not apply if invoices are always paid as soon as audited, but in the majority of business houses at least a part of the vouchers will not be paid until the last due date; or if discounts are taken, they will be paid on the last discount date.
Some provision must be made for bringing these vouchers to notice on the date at which they should be paid. For this purpose, a "tickler" or date file is used. This consists of a file with an index of 31 numbered index sheets, intended to represent the days of the month, and sometimes a set of twelve index sheets printed with the names of the months.
The audited vouchers are filed under the date when payment is to be made, either the discount date or the last due date, by placing them back of the index sheet bearing the corresponding number. To illustrate; if an invoice is dated the 2nd of the month, and terms are 2/10, the last discount day will be the 12th, and the voucher will be filed back of the No. 12 index sheet. If payment is due in a subsequent month, the voucher is filed back of the corresponding monthly index, then on the first of the month these vouchers are distributed under the proper dates.
11. Paying Vouchers. Each day the vouchers filed back of that day's index are removed from the file for attention. If for any reason they are not to be paid that day, they should be filed under the next date when it is desired to bring them to notice. It may be well to note at this point that the vouchers and invoices are usually filed together in the date file.
The check is now written and entered in the cash book or the check register, attached to the voucher, and mailed. Or if a voucher check is used it is only necessary to date and enter. These payments are posted from the cash book to the voucher register. It is not a safe plan to enter the voucher check direct in the voucher register, as postings to the cash book are liable to be overlooked. Payments in one day may be recorded on widely separated pages of the voucher register, while in the cash book or check register they would be entered consecutively, making posting much less difficult.
When the voucher and check have been mailed the invoices are placed in a temporary file, indexed alphabetically, where they are kept until the return of the receipted voucher. It will be noted that we do not advocate mailing the original invoice with the voucher. This temporary file is examined from time to time, and if any vouchers have been out an unreasonable length of time, the vendors are asked to sign and return them, or sign duplicates sent for the purpose.
When the voucher check is used, the temporary file for invoices is not required. The checks, if cashed, must be returned through the bank, and the invoices can be filed permanently.
12. Filing Paid Vouchers. On the return of the voucher, properly receipted, the invoices which it pays are removed from the temporary file, when all are ready for permanent filing.
The invoices are permanently filed in an alphabetically indexed[292] file, under the names of the vendors, keeping all invoices from each firm together. At some time before filing, preferably when the voucher is executed, the voucher number should be entered on the invoice, and when several invoices are paid by one check, they should be fastened together with a staple or other suitable device.
The paid vouchers should be filed in numerical sequence, with indexes numbered by 100's and 20's to separate them and to assist in locating any desired number. If we want to find voucher No. 964, we turn to the index 900, constituting the main division, then to index 60, back of which the desired voucher will be quickly located. A file should be procured of suitable size to accommodate the voucher to be filed.
 
Fig. 14. Card Index of Vouchers Paid
13. Indexing Vouchers. With the permanent filing of the paid voucher the transaction is closed, with one exception. There must be another index to the voucher file. Knowing the number, we can quickly locate any voucher or find its record on the register, but if we want to locate the voucher paid to Jackson & Co.—without knowing the number—we have no guide.
Reference to the original invoices, filed alphabetically, on which the numbers are noted, will locate the voucher, but there are vouchers for which no invoices are on file. To locate these by name of payee, an alphabetical index is necessary, and it is advisable to include all vouchers even when invoices are on file.
For this purpose, a card index is recommended, and a suitable form is shown in Fig. 14. A card is used for each person or firm to whom vouchers are issued, and all vouchers are listed by date and number. The cards are filed alphabetically, making it easy to find any name.
14. Voucher File. The manner of filing and indexing invoices and vouchers, from the receipt of the invoices to the permanent filing of the paid voucher, has been explained. For the file itself, the vertical file is recommended.
 
Fig. 15. File Showing Method of Indexing Vouchers
Fig. 15 illustrates one drawer of a vertical file, subdivided with the different indexes required, showing how in a small business a single drawer can be made to answer all purposes.
In a large business several drawers would be required. The first drawer would be for pending invoices, where would be filed invoices for which shipments have not been received. The second drawer would contain audited vouchers held for payment, and suspense items; the latter including invoices held for adjustment of claims. Paid invoices and paid vouchers would each require a separate drawer.
Files should be selected with reference to the size of the papers to be filed. Manufacturers of such equipment now supply cabinets in sections, in a great variety of sizes, making it possible to build up a filing cabinet with drawers to fit every paper of standard size.
DEMONSTRATION
15. The operation of the voucher system in respect to the records in the register is demonstrated in the illustration, Fig. 16, the record showing how the following transactions are handled. Invoices listed have been audited for payment.
 
Fig. 16. Voucher Register Showing Entries
| —Jan. 12th— | ||
| National Mercantile Co. | ||
| 100 bbls. flour | $4.25 | $425.00 | 
| Dated Jan. 9th | ||
| Terms 2/10, N/30 | ||
| —Jan. 12th— | ||
| Western Grocer Co. | ||
| 50 cases soap | 2.10 | 105.00 | 
| Dated Jan. 8th | ||
| Terms 2/10, N/30 | ||
| —Jan. 14th— | ||
| Morton Salt Co. | ||
| 100 bbls. salt | .85 | 85.00 | 
| Dated Jan. 11th | ||
| Terms 1/10, N/30 | ||
| —Jan. 15th— | ||
| Paid voucher No. 1 to | ||
| National Mercantile Co. | ||
| —Jan. 15th— | ||
| Paid voucher No. 2 to | ||
| Western Grocer Co. | ||
| —Jan. 16th— | ||
| Watson & Snow | ||
| 60 bbls. vinegar, 3000 gals. | .14 | 420.00 | 
| Dated Jan. 12th | ||
| Terms N/30 | ||
| —Jan. 17th— | ||
| Jennings Coal Co. | ||
| 3 tons coal | 6.50 | 19.50 | 
| Dated Jan. 17th | ||
| Terms N/30 | ||
| —Jan. 18th— | ||
| Paid pay roll | ||
| Wages of laborers | 125.50 | |
| Office salaries | 37.50 | |
| —Jan. 19th—[296] | ||
| Paid voucher No. 3 to | ||
| Morton Salt Co. | ||
The illustration, Fig. 16, shows the complete record of these transactions in the voucher register. The total footings of all distribution columns agree with the total of vouchers payable column, proving the extensions to be correct. The combined totals of checks and discounts equal the total payment column. Unpaid vouchers are extended, and the total of this column added to the total payments equals the total of vouchers payable.
 
Fig. 17. Cash Disbursement Book
Our voucher register being in balance, footings are now posted. The total of vouchers payable column is posted to the credit of that account in the general or private ledger, and the footings of the distribution columns are posted to the debit of their respective accounts.
Fig. 17 illustrates how the payments are recorded on the disbursement or credit side of the cash book. When the checks are written they are entered in the cash book, from which they are posted[297] to the voucher register. Voucher numbers are entered when the amounts are posted.
At the end of the month the columns are footed, and the totals of the discount and check columns are posted to the debit of vouchers payable. Footings of discount and total columns are posted to the credit of discount on purchases and bank accounts.
The vouchers payable account in the ledger would now appear as follows:
| Vouchers Payable | ||
| Dr. | Cr. | Balance | 
| $777.00 | $1,216.50 | $439.50 | 
We have already seen that the voucher register balances, and turning to that record, we find the footing of the unpaid vouchers column to be $439.50, which agrees with the balance of vouchers payable account.
EXERCISE
Prepare a form of voucher register providing for distribution to the following accounts: Merchandise, Purchases, In-Freight, Expense, Salaries, and Sundries. One of the chief requisites of the accountant is the ability to prepare suitable forms for accounting records. Care should be used in preparing this form to omit no detail that should be included in such a voucher register.
When the register has been prepared, record the following transactions.
| —Feb. 12th— | ||
| Enter the following invoices | ||
| #1 Jones & Laughlin | ||
| For merchandise | $164.20 | |
| Date 2/10, Terms 2/10, N/30. | ||
| #2 Francis & Roberts | ||
| For expense | ||
| Date 2/12, Terms cash | 27.50 | |
| —Feb. 13th— | ||
| #3 David Nelson & Sons | ||
| For merchandise | 239.80 | |
| Date 2/11, Terms 3/10, N/30 | ||
| Paid Henry Meyer | ||
| For salary | 25.00 | |
| Check #1 | ||
| —Feb. 14th—[298] | ||
| Paid Jones & Laughlin | ||
| by check #2, Voucher #1 | ||
| less cash discount | ||
| —Feb. 15th— | ||
| Paid Francis & Roberts | ||
| by Check #3, Voucher #2 | ||
| less cash discount | ||
| —Feb. 16th— | ||
| Paid David Newman | ||
| for rent | 40.00 | |
| Check #4 | ||
| —Feb. 17th— | ||
| Enter the following invoices | ||
| #4 National Furniture Co. | ||
| For office furniture | 65.00 | |
| Date 2/16, Terms 2/10, N/30 | ||
| #5 Watkins & Hollister | ||
| For merchandise | 84.00 | |
| Date 2/15, Terms 2/10, N/30 | ||
| —Feb. 19th— | ||
| Paid David Gillette, Agt. | ||
| For in-freight | 9.62 | |
| Check #5 | ||
Foot all columns as for posting at end of the month.
UNIT SYSTEM OF VOUCHER ACCOUNTING
16. In all classes of accounting records, the unit system is rapidly gaining in popularity. The unit system, so called, consists of individual records of each transaction or each item recorded, instead of a combination of several transactions in one record.
The increase in the use of the unit system has been brought about very largely by the improvements in typewriters, which make it possible to produce several copies of a given document at one writing. An example of the application of the unit idea is seen in modern sales records, where duplicate invoices are made, one copy serving as a sales sheet and posting medium.
 
A VIEW IN THE GENERAL OFFICES OF THE S. OBERMAYER CO., CINCINNATI, OHIO
The unit system has been very successfully applied to voucher accounting, saving much time and resulting in very complete records. Compared with ordinary voucher systems, the most prominent feature of the unit system is a method of distribution by filing, rather than by means of a voucher register.
All vouchers are made on the typewriter, in manifold, one or more copies being used for record purposes only. The original is used exactly as described in the preceding pages.
An essential feature of the system is that a copy of the voucher is provided for each account to which it is to be distributed. When one account only is involved, the voucher is made in duplicate, but if the amount is to be distributed to two accounts an extra copy is required. The voucher should be so arranged that the distribution can be shown on the face of the duplicate and triplicate copies.
The duplicate voucher is filed according to its distribution, instead of recording the amount in the voucher register. A vertical file is used for this purpose. The index cards are headed with the names of the accounts, and are arranged in the order of the accounts in the ledger; this being the order in which the same accounts would be arranged in a voucher register. Back of each index is a folder in which the vouchers are filed.
Each voucher copy is filed in the folder representing its proper account, and is securely fastened to the folder with a staple or paper fastener. When this voucher is filed it is also recorded on the outside of the folder, which is printed as shown in Fig. 18.
This form is designed for a record of amounts, distributed under the proper monthly headings. The amount of each voucher is carried to the current month's column. At the end of the month, the footing of the column shows the amount to be charged to that particular account in the general ledger.
To arrive at the total of vouchers payable account, a recapitulation sheet, ruled as shown in Fig. 19, is used. This is an index card, and is placed in the front of the file. Totals of all account folders are entered in the proper columns of this sheet, at the end of each month. Payments are posted to this sheet at the end of the month, from the cash book, and the balance extended. This balance, of course, represents the unpaid vouchers and is checked against the unpaid voucher file.
 
Fig. 18. Front of Folder for Unit System of Voucher Accounting
 
Fig. 19. Monthly Recapitulation for Unit System of Voucher Accounting
The totals of the different account columns are posted to their respective accounts in the general ledgers, either directly from the recapitulation sheet, or through the journal. The recapitulation sheet, as here shown, is a transcript of the vouchers payable account, and might be used as a ledger card, but it is generally considered better practice to carry the account in the general or private ledger, as usual.
Such a voucher system furnishes a complete record, with much less transcribing of items, than is involved in the use of the voucher register. The copy of the voucher is made at the same writing as the original, the amount of each individual voucher is entered but once, on the account folder, and monthly totals, only, are carried to the distribution columns on the recapitulation card.
This system is equally well adapted to the loose-leaf method. A sheet is used for each account, behind which the vouchers are filed, and a monthly recapitulation sheet is provided for distribution.
COMBINED PURCHASE LEDGER AND INVOICE FILE
17. Not every business readily adapts itself to a complete voucher system. Special conditions sometimes arise which make it seem advisable to keep ledger accounts with all firms from whom the business is making purchases. A case in point is a business, lacking capital to pay all bills promptly, necessitating payments on account, or by note, instead of payments covering certain invoices in full.
To obviate the difficulties, in maintaining a complete voucher record, under these and similar conditions, many substitutes have been devised. As an example of what may be accomplished in this direction, we illustrate a system which is in successful operation in a manufacturing business.
In the ledger, the usual nominal accounts are kept but no purchase or voucher register is used. Columns are provided on the credit side of the cash book for such expense accounts as are usually paid in cash, that is, for which no invoices are rendered, and for accounts payable.
For the purchase accounts with firms and individuals, a vertical file is used. Each creditor is assigned a folder, on the front of which a suitable record form is printed. This form is shown in Fig. 20. The name and address are written at the top, and the ledger account is kept in the columns at the extreme left of the form. All of the[302] columns for distribution are left blank, it being seldom that purchases from one firm are distributed to more than a half dozen different accounts.
When an invoice has been O. K.'d it is immediately filed in the proper folder. The total is entered in the credit column and distributed to the proper accounts, the names of which are written at the head of the distribution columns. Payments on account are posted to these ledger accounts from the cash book.
If the distribution is properly made, the totals of all distribution columns will agree with the total of the credit column. At the end of the month the total of these distribution columns on the individual account folders are drawn off on the monthly recapitulation sheet illustrated by Fig. 21. The totals shown by the recapitulation are posted to the debit of the corresponding ledger accounts, while the grand total is posted to the credit of accounts payable account;—which is the controlling account of the purchase ledger. Totals of payments on account are posted to the controlling account from the cash book.
The proof of accuracy of the controlling account is found in the usual way, by checking against the balances of the individual purchase accounts.
With this system, invoices are filed, and the amounts posted, with practically one operation. The items which make up each ledger account are distributed as soon as posted, totals only being carried to the recapitulation sheet, from whence they reach the ledger.
Accounts are quickly located, as the folders are indexed alphabetically. When an account is balanced it must be left in its place until the end of the month, provided credits have been entered in the current month, so that totals of distribution will be carried to the recapitulation sheet. At the end of the month, all accounts which balance may be transferred to a section of the file reserved for closed accounts. Should any of these accounts again become active, they are transferred to the regular file without the slightest confusion.
For the purpose of saving time, the balances of all open accounts may be drawn off when the totals of the distribution columns are obtained.
 
Fig. 20. Combined Purchase Ledger and Voucher System
 
Fig. 21. Monthly Recapitulation and Distribution Sheet
While not recommended for general adoption this system has its points of merit, and in certain contingencies would undoubtedly prove very satisfactory. The main reason for its publication in this work is to show the possibilities of modifying a system, in respect to details, without destroying its more important features. The voucher feature, the obtaining of a formal receipt for every payment, can be maintained just as effectively with this system as with a more formal voucher system.
THE PRIVATE LEDGER
18. A ledger, devised to contain such accounts as the principals of a business desire to keep from the knowledge of the bookkeeper or other office employes, is known as a private ledger. The title is also frequently used to designate an ordinary general ledger.
The accounts most frequently found in the private ledger are Capital accounts, Profit and Loss, Reserves, Surplus, Bills Payable, Bonds and Mortgages Payable, and Controlling accounts with the general or personal ledgers. It may also contain such accounts as Salaries of Officers, or Partners, Investment and Drawing accounts, and accounts with real or nominal assets. If it is desired to keep from the employes, knowledge of the exact nature of any transaction, or the standing of a particular account, it can be done by making use of the private ledger.
When both ledgers are used, the private ledger contains only those accounts which it is desired to keep private, while the general ledger is kept for all other accounts, except those included in the personal ledgers.
The private ledger is most commonly used in large businesses where, for various reasons, a number of employes have access to the books, and it is desired to keep them in ignorance of the private affairs of the concern. The private ledger is usually kept by one of the partners, an officer, the auditor, or the chief accountant.
19. Advantages of Private Ledger. The primary advantage of the private ledger to the principals of a business, is that by its use, they can keep to themselves all details of transactions of a special nature.
Some other advantages that accrue to the principal may be enumerated as follows:
He can, through the private ledger, keep an eye on the activities and condition of the business as a whole, or of any particular department or branch of that business.
He can keep in touch with the liabilities, or with the total amount of personal accounts outstanding.
He can absolutely control the distribution of expense in manufacturing operations.
He can keep from his employes, knowledge of the profits or losses of the business.
Partners can keep private the amount of their investments, or the salaries drawn.
Salaries paid to individual officers or employes can be kept private.
Dividends declared, capital subscribed, investments of a special nature, or amount of assets of any kind, can all be kept from the knowledge of employes.
20. How Operated. Accounts in the private ledger must not conflict with accounts in general or personal ledgers, and the fact that private accounts are kept should not interfere with the balance of the general books. To insure against any such conflict, a private ledger controlling account is kept in the general ledger.
In the general cash book, and sometimes in the journal, debit and credit columns headed Private Ledger are provided. All entries affecting private ledger accounts are extended in these columns, but no particulars are recorded. At the end of the month, the totals of these columns are posted to a private ledger account in the general ledger. This controlling account then appears in the general ledger trial balance, and must agree with the balance of accounts in the private ledger.
With the private ledger a private journal is used, in which entries affecting private ledger accounts are made, with explanations in detail.
As an example of the use of the private ledger we will suppose that a payment of $500.00 is to be made to a certain party, and it is desired to keep that transaction private. The bookkeeper is instructed to draw a check for the amount, to be charged to private ledger account. He enters the check in the general cash book, debiting private ledger and crediting cash or bank. The entry is posted from the general cash book to the private journal, where full particulars are recorded, from which it is posted to the private ledger. In the case referred to, the amount of the check is debited to the proper nominal account, and credited to a general ledger account.
The general ledger account in the private ledger is a controlling account which agrees with the private ledger account in the general ledger. Only entries affecting general ledger accounts are posted to this account. Entries involving changes in private ledger accounts only, are made in the private journal direct.
Some concerns keep the controlling accounts with the sales and purchase ledgers in the private ledger. At the end of the month, total debits and credits to accounts in these ledgers are entered in the private journal. These totals are obtained from the general cash book, sales book, purchase book, and any other books from which postings are regularly made.
 
Fig. 22. Cash Book with Columns for Private Ledger Accounts
When a private ledger is kept, it precludes the possibility of forced balances in the general ledger trial balance, since the balances of the private ledger accounts must agree with the private ledger controlling account in the general ledger, and if sales and purchase ledger controlling accounts are kept in the private ledger, these must balance with the personal accounts in those ledgers. The use of a private ledger not only acts as a check on trial balance errors, but simplifies the trial balance by making possible a proof of ledgers in sections.
Fig. 22 is an illustration of a cash book with columns for the private ledger account.
21. Manufacturing Accounts in the Private Ledger. Not infrequently, manufacturers find it advisable to keep private certain details which affect costs, or even all knowledge of the exact cost of their manufactured product. This may be done by keeping certain manufacturing controlling accounts in the private ledger.
In determining the cost of manufacture of any class of goods, three elements enter into the computation; material, labor, and expense. To determine the cost of the first two items is comparatively simple, requiring only an efficient system of records in the factory. But to determine the amount of expense of all classes, included in the cost of a given article, job, or operation, is more difficult.
A system of records that will show the exact cost of such items as power, heat, or taxes properly chargeable to an individual job or operation is obviously impossible, and it has been found necessary to apportion these, and all similar items of expense, on a percentage basis. Usually this percentage is based on some element of cost which can be determined with accuracy.
Cost accountants and engineers have worked out this percentage on the basis of various elements of cost, as direct labor, material, machine hour, man hour, or a combination of two or more of these elements. The exact method used, which must be adapted to the conditions existing in the individual factory, does not enter into this discussion.
Since there are numerous items of expense of the character referred to, it is customary to group them, for purposes of cost computation. Sometimes all such expense items are grouped under the one head of General Expense. It is by means of a controlling account in the private ledger, that the distribution of expense is made, thereby keeping private the exact cost of manufacture.
The known cost of a certain job or article—the cost of material and labor—is frequently referred to as the prime cost. The duties of the cost clerk may end with determining the prime cost, his computations not including expense items.
The total cost of material and labor for the month is charged to private ledger account, material and labor accounts receiving proper credit. The exact amounts of the various items of expense for the month are also charged to private ledger account, with credits to expense accounts.
In the private journal, these items are charged to various controlling accounts, and credited to the general ledger controlling account. The usual entries are:
| Manufacturing Account | $______ | ||
| General Ledger | $______ | ||
| For material | $______ | ||
| For labor | $______ | ||
| Expense Distribution | $______ | ||
| General Ledger | $______ | ||
| For rent | $______ | ||
| For power | $______ | ||
| For repairs | $______ | ||
| Etc. | Etc. | ||
The percentage of expense for the current month on whatever element based, has been determined from the actual results of the preceding month. To illustrate, we will suppose that expense is apportioned on the basis of direct labor; the cost of this item during the month was $1,600.00, and the amount of expense charged to operation of the plant during the same period was $240.00;—which gives us a ratio of 15%.
We wish to determine the cost of jobs as they are completed during the current month. The records turned in by the cost department give us the actual cost of material and direct labor, but not knowing the exact ratio of expense to direct labor for this month, we use last month's ratio, and add an amount equal to 15% of the known cost of direct labor. When the actual results for the month are determined it is quite probable that the ratio will vary from last month's record, as either factor may change. It will be necessary to adjust this difference, which is the reason for an expense distribution or expense adjustment account in the private ledger.
By keeping the expense controlling account in the private ledger, the principal can keep private, not only the actual cost of an article, but the percentage of expense and the basis of the expense apportionment. If thought desirable, he can add further amounts for the purpose of establishing a selling price.
In actual operation, the amount of expense to be charged against completed work will be computed, and the following entry made:
| Manufacturing Account | $______ | |
| Expense Distribution | $______ | |
| The amount of expense charged to jobs completed. | 
If the expense ratio used were exact, the expense distribution account would balance at the end of each month, but owing to the fluctuations, a balance will remain. This is adjusted by increasing or decreasing the percentage used during the following month, and in this way the accounts are kept in balance.
Manufacturing account has been charged with labor, material, and expense,—the total manufacturing cost. Completed goods are charged to a finished goods account, the entry being:
| Finished Goods | $______ | |
| Manufacturing Account | $______ | |
| Net cost of goods completed | 
But manufacturing account will not balance, for there always will be work in process, and the balance of the account will be the cost to date of this work in process, a most important record.
This discussion is not intended to cover every possible use of the private ledger, but, by means of examples, to suggest its possibilities. The explanations and examples should afford the student many hints of value.
EXERCISE
On a certain date, the following transactions are recorded on the books of Carter & Adams:
| Purchases on account | $560.00 | 
| Sales on account | 420.00 | 
| Paid for rent | 75.00 | 
| Sales for cash | 82.00 | 
| Henry Carter (partner) | |
| Withdrew cash | 50.00 | 
| John Adams (partner) | |
| Advanced to the business | 300.00 | 
What items in the above list of transactions should, in your opinion, be posted to the private ledger? On journal paper, make the entries and show necessary private ledger accounts.
CHARTING THE ACCOUNTS
22. The proper arrangement of the accounts of a business is best shown by a chart, in which the accounts to be kept are grouped according to their relative importance. In laying out a chart of accounts,[310] they should be first separated into their proper divisions. The natural divisions are capital, trading, and profit and loss.
Each division contains only those accounts that naturally belong in that particular class. These divisions are then subdivided into groups containing specific kinds of accounts, the groups being arranged in logical sequence. As an example, the trading division of a manufacturing business is divided into manufacturing and trading. There may be several subdivisions of the manufacturing account; several classes of goods may be manufactured and a manufacturing account kept for each class, or it may be necessary to manufacture completed parts, each requiring a complete manufacturing process. Detailed costs being required for each of these completed parts, manufacturing accounts are kept for each, the main division representing the cost of the finished product, as a result of the assembling of the parts. The completed parts are treated as raw material, when drawn for use in the finished product, the total costs being finally absorbed by the main manufacturing account. One of the many examples that might be cited is a packing business, operating its own can factory and keeping a manufacturing account to show the cost of cans. Other accounts show the cost of the product packed in those cans, and both costs are absorbed in the cost of the commodity as marketed.
The trading account is similarly subdivided. In a department store, the manager of a department may receive a certain percentage of the profits of his department. This necessitates trading accounts for each department. A mercantile concern may operate branch stores and keep trading accounts with each, on the books of the main office; a factory may produce several lines of goods, with a corresponding subdivision of trading accounts.
A chart of accounts not only furnishes a guide to the bookkeeper, but presents in the most logical form, the natural divisions of the business. It is both a working guide and a mirror of the accounting records.
23. Chart of Small Trading Business. The most simple chart of accounts is one for a small trading business conducted by a single proprietor. Following is a chart of the accounts of such a business.
 
Fig. 23. Chart of Profit and Loss Accounts
A study of this chart will disclose the reasons for the general grouping of the accounts. The first general group, capital accounts is subdivided into assets and liabilities. The assets are grouped in the order of their availability; the order in which they can most readily be converted into cash. The liabilities are grouped according to the security; unsecured, secured and capital.
There being but one trading account, it is represented by a single group, purchases and in-freight representing the cost of goods, and sales the gross proceeds. The balance of this account exhibits the gross profits.
 
Fig. 24. Chart of Profit and Loss Accounts
We now come to the profit and loss account by which the trading or gross profits are absorbed. This group contains, first, the revenue producing accounts not represented in the trading account; second, the revenue expenditures or expense accounts. The outer brackets of the chart group all of the accounts under Debit and Credit. This shows that the balances of the accounts are debit or credit as the case may be.
We have traced the profits to the profit and loss account, but in closing the books they will finally be absorbed by the proprietor's capital account. The chart, Fig. 23, traces the profits from trading to proprietor's account. In the trading account, the gross profit completes the balance. This profit is now absorbed by the profit and[313] loss account. Net profit completes the balance of profit and loss account, and is, in turn, absorbed by the proprietor's account. Here, the net profit added to previous investment, equals the present worth. The chart, Fig. 24, also traces profits to the proprietor's account.
24. Chart of Manufacturing Accounts. A chart of the accounts of a manufacturing business follows similar lines to that of a trading business, the only change being the addition of the accounts of the manufacturing group. The accounts of this group will depend both upon the nature of the business and the extent to which the details of operation are recorded.
A chart of the accounts of a harness and saddlery manufacturing business is given herein. This business is divided into three departments; harness, collar, and saddlery.
A record of the gross profits, resulting from the operation of each department, being desired, we have three manufacturing and three trading accounts.
The chart shows the accounts classified to exhibit detailed operations of each department. The number of accounts in this chart is 98. This is rather more than is required in the average business of this character, but the chart furnishes a good illustration of the possibility of segregating accounts of various classes.
Even so large a number of accounts, with the minute subdivisions here shown, does not present the difficulties that might appear at first glance. The principal requirement is a thorough knowledge of the items entering into each account; the actual keeping of the accounts is a matter of close attention to these details. When an elaborate chart of accounts is laid out, it should be accompanied by detailed explanations and instructions. Some large concerns issue printed instructions which are given to all officers and employes who may be called upon to determine, to what account an item should be charged.
CHART OF ACCOUNTS—HARNESS MANUFACTURING
Capital Accounts
Assets
1 Cash
2 Bills Receivable
[314]3 Accounts Receivable
Inventories—Harness Department
4 Finished Stock
5 Leather
6 Hardware
7 Supplies
Inventories—Collar Department
8 Finished Stock
9 Leather
10 Hardware
11 Supplies
Inventories—Saddlery Department
12 Finished Stock
13 Leather
14 Hardware
15 Supplies
Inventories—Machinery
16 Machinery—Harness
17 Machinery—Collar
18 Machinery—Saddlery
Inventories—Tools
19 Tools—Harness
20 Tools—Collar
21 Tools—Saddlery
Inventories—General
22 Office Fixtures and Supplies
23 Delivery Equipment
24 Real Estate—Land and Buildings
Liabilities
25 Accounts Payable
26 Bills Payable
27 Mortgages
Reserves
28 Depreciation of Buildings
29 Depreciation of Machinery
30 Depreciation of Tools and Fixtures
31 Bad Debts
32 Capital Stock
33 Surplus
Manufacturing Accounts
A Harness Department
34 Purchases—Leather
35 Purchases—Hardware
36 Purchases—Supplies
37 In-Freight
38 Labor—Cutting Department
39 Labor—Manufacturing Department
[315]40 Inventory Adjustment
B Collar Department
41 Purchases—Leather
42 Purchases—Hardware
43 Purchases—Supplies
44 In-freight
45 Labor—Cutting Department
46 Labor—Manufacturing Department
47 Inventory Adjustment
C Saddlery Department
48 Purchases—Leather
49 Purchases—Hardware
50 Purchases—Supplies
51 In-Freight
52 Labor—Cutting Department
53 Labor—Manufacturing Department
54 Inventory Adjustment
D Manufacturing Expense Adjustment
55 Power, Heat and Light
56 Engine Room Supplies
57 Salaries—Superintendent and Factory Clerks
58 Wages Engineers and Miscellaneous
59 General Factory Expense
60 Repairs and Maintenance—Buildings
61 Repairs and Maintenance—Machinery
62 Repairs and Maintenance—Tools
Trading Accounts
E Harness Department
63 Sales
64 Returns and Allowances
65 Inventory Adjustment
F Collar Department
66 Sales
67 Returns and Allowances
68 Inventory Adjustment
G Saddlery Department
69 Sales
70 Returns and Allowances
71 Inventory Adjustment
H Profit and Loss
72 Interest Credits
73 Cash Discount Credits
74 Rent Credits
I Administration
75 Insurance and Taxes
76 Salaries—Officers
77 Salaries—Bookkeepers and Clerks
78 Printing and Stationery
79 Legal Expenses
[316]80 Postage, Telegraph and Telephone
81 Office Expenses
82 Traveling Expense—Officers
83 Misc. General Expense
J Sales Expense
84 Advertising
85 Salaries—Salesmen
86 Commission
87 Traveling Expense—Salesmen
88 Trade Show Expense
89 Out-Freight and Express
K Collecting
90 Collection Fees
91 Cash Discounts Allowed
L Delivery Expense
92 Wages
93 Maintenance Horses and Wagons
94 Maintenance Motor Trucks
M Depreciation Adjustment
95 Buildings
96 Machinery
97 Tools and Fixtures
98 Bad Debts
25. Chart Explained. The following explanations will give the student a working knowledge of the operation of these accounts. Accounts, 1 to 33, inclusive, comprising assets and liabilities, are omitted, as no instructions will be required for keeping these accounts. All accounts are referred to by number.
34. Purchases—Leather. Charged with all purchases of leather for use in harness department. Credited with all leather transferred to other departments.
35. Purchases—Hardware. Charged with all purchases of hardware for use in harness department. Credited with all hardware transferred to other departments,
36. Purchases—Supplies. Charged with all purchases of supplies and materials, other than leather and hardware, for use in harness department. Credited with all transfers to other departments.
37. In-Freight. Charged with the cost of freight and cartage on all purchases for the harness department. Totals pro-rated to department purchase accounts at the end of each month.
38. Labor—Cutting Department. Charged with the wages of all men employed in cutting department, including foreman.
39. Labor—Manufacturing Department. Charged with the wages of all harness makers, and others employed in the harness manufacturing department.
40. Inventory Adjustment. An account used for the temporary adjustment of inventories for the purpose of obtaining monthly balances. At the end of the fiscal period, or whenever the books are closed, the balance of this account is transferred to inventory accounts.
Accounts 34 to 40, inclusive, are finally closed into a harness manufacturing account.
The same instructions apply to accounts 41 to 47, inclusive, in respect to the collar department, and to accounts 48 to 54, inclusive, in respect to the saddlery department.
55. Power, Heat and Light. Charged with all fuel and electric power, consumed for power, heat and light.
56. Engine Room Supplies. Charged with all oils, waste and other supplies, used in the engine room.
57. Salaries—Superintendents and Factory Clerks. Charged with salaries of general superintendent, superintendent's clerk and all clerks employed exclusively in the factory, as time keepers and clerks.
58. Wages—Engineers and Miscellaneous. Charged with wages of engineer and assistants, wages of shipping clerk and assistants, wages of receiving and stock clerks, wages of all general laborers whose time is not chargeable to a specific department.
59. General Factory Expense. Charged with all miscellaneous items of factory expense not provided for in other accounts.
60. Repairs and Maintenance—Buildings. Charged with all material and labor consumed in the repairs and maintenance of buildings.
61. Repairs and Maintenance—Machinery. Charged with same items as No. 60, as applied to machinery.
62. Repairs and Maintenance—Tools. Same as No. 61, applied to tools.
Accounts 55 to 62, inclusive, are closed into a manufacturing expense adjustment account, monthly. This account is credited with expense charged to each departmental manufacturing account, the distribution being made on a percentage basis.
63. Sales—Harness Department. Credited with the amount of all sales in the harness department.
64. Returns and Allowances. Charged with all returns and allowances on account of harness sales, except cash discount.
65. Inventory Adjustment. An account used for the temporary adjustment of inventories of finished stock, for the purpose of obtaining monthly statements of gross profits. At the end of the fiscal year, the balance of the account is transferred to inventory of finished goods account, through the trading account.
Accounts 63 to 65, inclusive, are closed into a harness trading account, at the end of the fiscal year. For purposes of comparison, monthly trading statements are made, leaving these accounts undisturbed until the end of the year.
Accounts 66 to 68, inclusive, and 69 to 71, inclusive, are handled exactly the same manner, in relation to the collar and saddlery departments.
72. Interest Credits. Credited with all interest collected on past due accounts, or received on outside investments.
73. Cash Discount Credits. Credited with all discounts earned by the prepayment of bills.
74. Rent Credits. Credited with all amounts received from rentals of property owned by the company, or as a result of subletting leased property.
75. Insurance and Taxes. Charged with all sums paid for fire, liability or other insurance, state and municipal taxes, and license fees.
76. Salaries—Officers. Charged with the salaries of all administrative officers, and directors' fees.
77. Salaries—Bookkeeper and Clerks. Charged with amounts of salaries of all bookkeepers, stenographers, and other office clerks.
78. Printing and Stationery. Charged with the cost of all stationery and printed matter used in the offices.
79. Legal Expense. Charged with attorney's fees and all expense of litigation.
80. Postage, Telegraph and Telephone. Charged with all sums paid for postage, and telegraph and telephone service.
81. Office Expenses. Charged with sundry items of office expense, not provided for in other accounts.
82. Traveling Expense—Officers. Charged with all legitimate traveling expenses incurred by officers in the interest of the company.
83. Misc. General Expenses. Charged with all expense items not otherwise accounted for.
Accounts 72 to 83, inclusive, are closed into an administration account.
84. Advertising. Charged with all sums paid for advertising, including periodical advertising, catalogs, circulars, and novelties.
85. Salaries—Salesmen. Charged with the salaries of all traveling salesmen.
86. Commissions. Charged with all commissions paid to brokers or salesmen.
87. Traveling Expenses—Salesmen. Charged with all legitimate expenses of salesmen, incurred in the interest of the company.
88. Trade Show Expense. Charged with all expenses incurred on account of exhibitions at trade shows. Sometimes treated as a part of advertising expense.
89. Out-Freight and Express. Charged with all freight and express paid on goods sold at delivered prices.
Accounts 84 to 89, inclusive, are closed into a sales expense account.
90. Collection Fees. Charged with all fees paid to banks, attorneys or others, for the collection of accounts.
91. Cash Discounts Allowed. Charged with all allowances to customers, for prompt payment of bills.
Accounts 90 and 91 are closed into a collecting account.
92. Wages. Charged with the wages of drivers and barn men.
93. Maintenance.—Horses and Wagons. Charged with cost of feed, stable supplies, repairs to harness and wagons, blacksmithing and horse-shoeing.
94. Maintenance—Motor Trucks. Charged with all expense of up-keep and repairs to delivery trucks.
Accounts 92 to 94, inclusive, are closed into a delivery expense account.
95. Depreciation—Buildings. Credited monthly with current charges for depreciation.
96, 97, and 98. Handled the same as No. 95.
Accounts 95 and 98 are closed into a depreciation adjustment account.
 
Manufacturing Ledger with Closing Entries
 
Manufacturing Ledger with Closing Entries
 
Manufacturing Ledger with Closing Entries
The illustrations (pp. 48-50) show how all of these accounts are assembled into main groups, and finally closed into profit and loss, and capital accounts. An explanation of the accounts in the harness department will be sufficient to show how all of the accounts are treated.
Harness manufacturing, account A, is charged with accounts 34 to 39, inclusive, and the proper portion of account D. It is credited with the cost of all finished goods, the amount being transferred to account E, harness trading. It is credited with the increase in[323] inventories over the preceding month, this amount being transferred to account 40; if inventories show a decrease, the amount is charged.
Harness trading, account E, is charged with cost of finished goods from account A; with account 64; with gross profits, transferred to profit and loss, account H. It is credited with sales, account 63; with increase in inventory, account 65.
Gross profits on account of trading are closed into profit and loss.
Inventory adjustment accounts Nos. 40 and 65, are still open and the balances show total inventories. The actual amounts of inventories are transferred to accounts 4 to 7, inclusive. This will leave a balance in inventory adjustment account No. 40, representing work in process in the harness factory. These inventory adjustment accounts are closed only at the end of the fiscal year, or when the books are closed. At the beginning of a new fiscal period the inventories are again charged to inventory adjustment accounts, and adjusting entries made monthly in manufacturing and trading accounts.
REVIEW QUESTIONS.
PRACTICAL TEST QUESTIONS.
In the foregoing sections of this Cyclopedia numerous illustrative examples are worked out in detail in order to show the application of the various methods and principles. Accompanying these are examples for practice which will aid the reader in fixing the principles in mind.
In the following pages are given a large number of test questions and problems which afford a valuable means of testing the reader's knowledge of the subjects treated. They will be found excellent practice for those preparing for Civil Service Examinations. In some cases numerical answers are given as a further aid in this work.
PART I
1. Name three objects of bookkeeping.
2. Define and give examples of three classes of debits; of credits.
3. What are the general rules for debit and credit?
4. What is meant by the term balance? When is an account said to show a debit balance, and when a credit balance?
5. How many methods of bookkeeping are in use? Name them.
6. How is double entry distinguished from single entry bookkeeping?
7. What is the fundamental principle of double entry bookkeeping?
8. Name two or more advantages of double entry bookkeeping.
9. What name is given to books used for bookkeeping records?
10. Into how many classes are account books divided? Give examples.
11. Name and give the principal uses of the most commonly used books.
12. What is meant by journalizing? by posting?
13. What is a promissory note?
14. What is your understanding of the term bills receivable and bills payable?
15. What is the name of the book in which a record of bills receivable and bills payable is kept?
16. What is an acceptance?
17. What is discount? exchange?
18. What is a deposit slip and how is it used?
19. What is a signature card and what are its uses?
20. What is meant by indorsement of checks?
21. Prepare three forms of indorsement and explain the meaning of each.
22. What is meant by petty cash? How is the account of petty cash kept?
23. Mr. H. B. Emerson is a dealer in coal and lumber. That he may know what profits are made in each branch of his business, he keeps accounts in his ledger with coal and lumber. In his sales book, one column is used for lumber sales and one for coal sales. No purchase book is kept. His assets and liabilities are as follows:
| ASSETS | |||
| Cash in State bank | $1,427.30 | ||
| Inventory, | coal | 600.00 | |
| " | lumber | 1,750.00 | |
| Frank Knowlton, note due Aug. 2nd | 75.00 | $3,852.30 | |
| ———— | |||
| LIABILITIES | |||
| Eastern Coal Co., open account | 260.00 | ||
| Northern Lumber Co., " | 420.00 | 680.00 | |
| ———— | |||
The following transactions are recorded:
May 3. Bought from John Weber, for cash, lumber $130.00; paid by check No. 19.
May 4. Sold to Edward Walsh, on account, 2 tons coal @ 7.00, $14.00.
May 5. Drew from bank for petty cash, check No. 20, $10.00; sold to Franklin & Co., lumber, $256.00.
May 6. Sold for cash, coal $17.50; received from Edward Walsh, on account, $10.00.
May 7. Gave Northern Lumber Co., check No. 21, $220.00, 60-day note, $200.00.
May 8. Accepted 30-day draft of Eastern Coal Co., $260.00; paid for repairs to desk, cash, $1.50.
Make all necessary entries in books of original entry to properly record the above.
PART II
1. Into what two general and what three special classes are accounts divided in double entry bookkeeping?
2. Define and give examples of personal, real, representative, and nominal accounts.
3. What is a merchandise account? What accounts are substituted for the merchandise account in modern bookkeeping? In what particular is the use of these accounts an improvement over the older method of using a merchandise account?
4. Name and define four classes of assets, giving examples of each.
5. Give two examples of fixed assets in one business which become floating assets in another business. Give two examples of floating assets in one business which become fixed assets in another business.
6. What are revenue receipts? revenue expenditures? What accounts are designated by the term revenue accounts?
7. What is the broad term by which all revenue expenditure accounts are designated? Name and define five commonly used subdivisions of this account.
8. What is meant by journalizing? When purchase and sales books are used, what class of entries are made in the journal? Give three examples of journal entries involving transfers of value from one account to another.
9. What is a three column journal, and how is it used?
10. Journalize the following transactions:
| April 15. | Bought from Reliance Mills, on account | ||
| 94 bbls. flour @ | $4.75 | ||
| Sold to D. H. Pointer, on account | |||
| 15 bbls. flour @ | 5.35 | ||
| Sold to H. S. Fleming, on account | |||
| 60 bu. wheat @ | 1.05 | ||
| April 16. | Gave to Reliance Mills, my note payable in 60 days, to balance account | ||
| Received from D. H. Pointer note for 30 days to balance account. | |||
11. What is meant by posting? Explain the operation of posting, using one of the above transactions as an example.
12. In what particular does posting from the cash book differ from posting from the journal? Explain this difference, and illustrate with two examples.
13. What is a trial balance, and for what purpose is it taken? What does a trial balance prove?
14. What are cash discounts? Are cash discounts a proper charge against capital, or against revenue? Why?
15. Name two ways of treating cash discounts in the ledger, based on your answer to the previous question.
16. Illustrate two methods of entering cash discounts allowed in the cash book; illustrate the customer's ledger account as it would appear after posting the credit, from each of these entries. Which method, in your opinion, most clearly shows how the account was settled?
17. Should cash discounts earned be credited against the cost of goods purchased, or credited to profits? Why?
18. What is a profit and loss account? What does the balance of this account represent? How frequently is the balance of profit and loss account transferred? To what accounts, in a proprietorship or partnership? in a corporation?
19. What is a trading account, and what is its purpose? With what classes of items should trading account be debited and credited? How is the trading account constructed?
20. What is meant by the turnover? How can the amount of the turnover be shown in the trading account?
21. What is a manufacturing account, and of what items is it made up? What does the balance of the manufacturing account represent?
22. What is a merchandise inventory account, and when and for what purpose is it used? When are the books said to be closed?
23. What is a balance sheet? In what order should the asset and liability accounts be listed on the balance sheet?
24. From the following trial balance prepare trading account, profit and loss account, and balance sheet.
| TRIAL BALANCE | ||
| Proprietor (Investment) | $7,500.00 | |
| Bill Payable | 3,000.00 | |
| Accounts Payable | 1,550.00 | |
| Bank | $1,254.84 | |
| Accounts Receivable | 2,685.11 | |
| Bills Receivable | 3,860.00 | |
| Merchandise Inventory | 6,277.76 | |
| Furniture and Fixtures | 750.00 | |
| Purchases | 7,605.78 | |
| Expense | 1,416.30 | |
| Discount on Sales | 112.65 | |
| Interest | 44.20 | |
| Sales | 11,990.70 | |
| Cash | 122.46 | |
| ————— | ————— | |
| $24,084.90 | $24,084.90 | |
| Inventory at end of period $6,807.09. | ||
25. Give examples of the proper journal entries when the following transactions occur in respect to notes receivable:
When a note is received;
When a note is paid;
When a note is collected by the bank.
26. Complete the explanations of the following entries, and state under what circumstances they would be made:
| Bank | $199.00 | |
| Interest | 1.00 | |
| Bills Discounted | $200.00 | |
| Bills Discounted | 200.00 | |
| Bank[332] | 200.00 | |
| Bills Receivable | 5.00 | |
| Bills Discounted | 1,000.00 | |
| Bank | 1,005.00 | 
27. Make the proper journal entries under the following circumstances:
When a note is past due;
When a note is renewed;
When a renewed note has been discounted.
28. We buy from Marshall Field & Company a bill of dry goods, amounting to $978.40, and give them our note @ 60 days in payment. What entry?
29. Marshall Field & Company discount our note, and it is presented for payment by the Continental National Bank. We give our check in payment of the note, with interest @ 5%. How much do we pay, and what is the entry?
30. We borrow $1,000.00 from our bank on our note @ 30 days, interest @ 6%. What is the exact entry?
31. When a draft has been accepted how should it be treated on the books?
32. What is the proper entry when a customer pays our sight draft?
33. We draw on George Johnson for $650.00 @ 60 days sight. He accepts the draft, which we discount at our bank 3 days later, the bank charging us 7% interest. What entries are necessary?
34. We accept a draft from John V. Farwell & Co. for $416.00 payable in 90 days. What is the entry on our books? What is the entry on the books of Farwell & Co.?
35. We pay a sight draft drawn by Cable Piano Co. What entry?
1. What books are generally used in a small retail business? What is a blotter, and how is it used?
2. What is the special feature of the journal ruled ledger, and of what advantage is such a ledger in a retail business?
3. In a single proprietorship, what does the proprietor's account represent?
4. Name one good reason why withdrawals of the proprietor should be charged to a personal account.
5. When the books are closed, what account absorbs the profit or loss?
6. What is meant by taking an inventory, and what processes are involved?
7. Should an inventory be based on cost or on selling prices? Why?
8. What is meant by closing the books?
9. In a retail business, such as is discussed in the text, what regular accounts are closed into trading account?
10. What does the balance of trading account represent? Into what account is this balance closed?
11. What does the difference between assets and liabilities, as shown by the balance sheet, represent? In a single proprietorship, with what ledger account does this balance agree?
12. George Thompson commences business to-day, with assets consisting of cash, $1,650.00; an account due from Henry Watson, $84.60. His transactions consist of purchases on account as follows:
| From | Henry Karl & Co. | $460.00 | 
| " | White & Black | 320.50 | 
| Purchases for cash | 129.00 | |
| Sales | for cash | 87.50 | 
| " | on account | 274.80 | 
| Paid on account to Karl & Co. | 300.00 | |
| Collected on account | 124.80 | |
| Paid for sundry expenses | 63.70 | |
| Inventory at close of business | 655.50 | |
Open the books, enter the transactions in journal, cash book, and sales book, and make all postings to the ledger. Prepare a trial balance,
At the close of business, prepare a trading account, close into profit and loss, and close net profits into proprietor's account, Prepare a balance sheet,
13. What is a sales ticket, and for what purpose is it used?
14. What benefit is derived from keeping departmental purchase and sales records.
15. Prepare suitable forms for departmental purchase and sales records for a business divided into three departments.
16. What is a partnership?
17. What is the purpose of a partnership agreement?
18. By what names are the different classes of partners known?
19. On what basis are the profits of a partnership usually divided?
20. How are the personal and capital accounts of partners distinguished? What is the purpose of each of these accounts?
21. When the books of a partnership are closed, into what accounts are the revenue accounts closed? Into what accounts is the profit and loss account closed?
22. When the business of a partnership is sold, or liquidated, how are the net assets divided?
23. If any part of the assets, other than the goods in which the firm is trading, brings a price above cost, what journal entry is necessary? What entry if the price is below cost?
24. When partners invest unequal amounts in the business, what is the usual method of adjusting the inequality?
25. White, Black, and Brown who have been conducting business under a partnership agreement, decide to liquidate the business and dissolve the partnership. In the final settlement White agrees to accept the accounts receivable, which amount to $6,432.00, in part payment of the amount due him, provided 10% is first charged off to cover doubtful accounts. What journal entry is necessary?
26. H. W. Hackett has been conducting a grocery business. His books have been kept by double entry, and were last closed December 31st, 1908. At that time, his net worth was $2,698.50. April 30th, 1909, he sold to John Ransom a half interest in the business for $1,500.00. Ransom made a cash payment of $1,000.00, and gave his note for $500.00 payable on demand, with interest at 6%. The profits for the four months ending April 30th, 1909, (estimated from the books), were $325.00. This amount was to be allowed to Mr. Hackett and placed to his credit on the books. Make journal entries for the allowed profit and for the sale of the half interest. The books are not to be closed at the beginning of the new partnership.
27. Prepare in proper form a solution of the problem given in Art. 40, Page 72.
28. Prepare a complete solution of the problem given in Art. 42, Page 74.
1. Into what two general classes are corporations divided? Name and give examples of two classes of private corporations.
2. How are joint stock companies distinguished from corporations? In what ways are they like corporations?
3. How are corporations created? Name 5 common requirements of the certificate of incorporation or application for a corporate charter.
4. What is meant by a stockholder, and how may a person become a stockholder in a corporation? What is a stock certificate?
5. What is meant by the capitalization of a corporation? What is the difference in meaning of the terms capital and capital stock, as these terms are usually understood?
6. Define the two principal classes of stock issued by corporations. Name and define two kinds of preferred stock. What is meant by the term treasury stock? Watered stock?
7. By whom are the affairs of a corporation managed? From whom do they receive their authority? Has a director, as such, the power individually to bind the corporation?
8. What special powers have the directors? In what way do the powers of officers and directors differ?
9. Name five of the necessary powers of a corporation, as such. Name three of the rights of an individual stockholder.
10. What is meant by a dividend? By whose authority are dividends declared? What is your understanding of the term stock dividend?
11. What class of records is implied by the term corporation bookkeeping? Name, and describe briefly, the books used in corporation bookkeeping.
12. Give examples of the proper entries on the books, under the following conditions:
(a) The entire capital stock ($100,000.00) is subscribed and paid for in cash.
(b) Only $60,000.00 of the stock is subscribed, but this is paid in cash. It is not desired to show on the books more capital than is paid in.
(c) Cash subscriptions are received for $49,000.00 of an authorized issue of $100,000.00, but it is desired to show the total capitalization on the books.
(d) The entire capital stock ($150,000.00) is subscribed but not paid in. It is desired to show the capital stock, without opening accounts in the general books with individual subscribers.
(e) A payment of 20% is called for on the above stock.
13. A corporation is organized with a capitalization of $50,000.00 to take over the business of Henry Thompson. He is to pay his liabilities out of his assets, and transfer the balance of the property belonging to the business to the corporation, receiving $25,000.00 full paid stock. The following discloses the condition of his affairs:
| ASSETS | ||
| Cash in Bank | $1164.50 | |
| Accounts Receivable | 3760.00 | |
| Real Estate | 10000.00 | |
| Merchandise Inventory | 7642.50 | |
| Furniture and Fixtures | 600.00 | $23167.00 | 
| ———— | ||
| LIABILITIES | ||
| Bills Payable | 1000.00 | 1000.00 | 
| ———— | ———— | |
| Balance | $22167.00 | |
What is the proper entry on the books of the corporation, the balance of the stock being unsubscribed?
14. A corporation agrees to purchase a mine, issuing $1,000,000.00 full paid stock in payment. The owner of the mine, to whom the stock is issued, agrees to donate to the company $500,000.00 of his stock to provide working capital. Subsequently, $100,000.00 of this stock is sold at 50% of its face value; $200,000.00 at 60%;[338] $100,000.00 at 70%; and $100,000.00 at par. Working capital is maintained at the amount realized from the sale of the donated stock. Make all entries to show these transactions, it being understood that all subscriptions are paid in cash.
15. If the stock of a corporation sells at a premium, how would you enter the amount received above par? To what account would you transfer the premium when closing the books?
16. What would be the entries in the stock books to record the transactions shown in questions 12 and 14?
17. A promoter organizes a corporation to develope a mine, receiving as his fee $50,000.00 in stock. What are the entries on the books of the corporation?
18. The profits of a corporation with a paid up capital of $200,000.00, are $18,750.00. The directors declare a cash dividend of 6%, and create a special surplus fund of $5,000.00. Make all necessary entries.
19. The losses of the above corporation during the following year were $2,750.00. Make proper entries, with full explanations.
20. The accumulated surplus of a corporation capitalized at $1,000,000.00, with a paid up capital of $600,000.00, is $110,000.00; the current profits are $100,000.00. The directors declare a cash dividend of 7%, and a stock dividend of 25%. Make all entries to record these transactions on the general books of the corporation.
21. The following statistics are taken from the books of a corporation:
| Capital Stock | $300,000.00 | 
| Merchandise Inventory | 97,600.00 | 
| Machinery | 110,800.00 | 
| Undivided Profits | 600.00 | 
| Profit and Loss (Credit) | 31,210.00 | 
It is desired to set aside a special surplus fund as a machinery depreciation reserve, the depreciation being figured at 10% a year, and to pay a dividend of 6%. What entries are necessary?
22. Parsons, Young, and Searles are partners and decide to form a corporation with capital stock of $40,000.00, which is to be issued as full paid stock in exchange for their present business. Each partner is to receive stock in proportion to his interest in the present business. The balance sheet of the partnership is as follows:
| ASSETS | ||
| Cash | $3,500.00 | |
| Bills Receivable | 6,000.00 | |
| Accounts Receivable | 6,500.00 | |
| Merchandise | 14,000.00 | |
| ————— | ||
| Total | $30,000.00 | |
| LIABILITIES | ||
| Bills Payable | 4,000.00 | |
| Accounts Payable | 2,000.00 | |
| Parsons | 10,000.00 | |
| Young | 8,000.00 | |
| Searles | 6,000.00 | |
| ————— | ||
| Total | 30,000.00 | |
Make entries on books of the partnership.
Make entries on books of the corporation.
23. Hoadley and Stockton are partners and desire to incorporate a company. The stock is to be divided equally between Hoadley and Stockton after giving Hopper $1,000.00. The balance sheet of the partnership is as follows:
| ASSETS | ||
| Cash | $960.00 | |
| Accounts Receivable | 1,570.00 | |
| Merchandise | 720.00 | |
| ————— | ||
| Total | $3,250.00 | |
| LIABILITIES | ||
| Accounts Payable | 460.00 | |
| Bills Payable | 500.00 | |
| Hoadley | 1,145.00 | |
| Stockton | 1,145.00 | |
| ————— | ||
| Total | 3,250.00 | |
Make all necessary entries on the books of the partnership.
Make open entries on the books of the new company.
24. The National Manufacturing Co. has an authorized capital of $100,000.00 of which $60,000.00 is paid up and $40,000.00, unsubscribed. It is decided to permit employes to subscribe for $10,000.00 of the stock by paying 10 per cent in cash, all dividends declared to be applied to the payment of subscriptions.
What entries are made when this stock is subscribed for?
A 10 per cent dividend being declared at the end of the first year, what entry is required?
25. The Atlas Novelty Co. has a capital stock of $50,000.00. All of the stock has been subscribed for, but only 40 per cent has been paid. A surplus of $10,000.00 has been accumulated. It is desired to reduce the stock to $25,000.00 full paid. What is the necessary proceeding, and what entries are required?
26. A company has a capital stock of $50,000.00 full paid, and a surplus of $11,172.00. A stockholder who owns $7,000.00 stock in the company wishes to dispose of his stock and, to secure cash, offers to sell it to the company at par. His offer is accepted and the stock purchased, but the company does not wish to reduce its capitalization. What is the entry?
27. What is a reserve? Give three examples showing purposes for which reserves are created.
28. What is a reserve fund? Why is a reserve fund treated as a liability?
29. What is a sinking fund, and what is its purpose?
30. What is a bond? Describe three classes of bonds.
31. When bonds are issued, by what account are they represented in the ledger? Does this account represent an asset, or a liability?
32. If bonds are sold at a premium, to what account is the premium credited? Would it be correct to credit this premium to profit and loss? Why?
33. To what account is the interest paid on bonds charged? When bonds are sold with accrued interest, which is paid by the purchaser, what disposition is made of the interest received? What disposition should be made of expense incurred in the sale of bonds?
34. What is the most important point to be kept in mind when devising a system of accounts for a manufacturing business?
35. From what items is the manufacturing account made up? What does the balance of manufacturing account represent?
36. Describe, briefly, a method of obtaining the necessary statistics to make up the manufacturing account for a business in which but one line of goods are manufactured? What is the object of sectionalizing the pay-roll by departments?
37. What is an expense inventory account; when is it used; and how is it made up? When is an expense liability considered; by what account is it represented; and how is the account made up?
38. What is meant by a balance ledger? Illustrate a form of balance ledger.
39. For what purpose is an invoice register used? Explain the general plan of such a book.
40. Make up a manufacturing account from the data given on Page 76. Show the journal entries used in making up this account.
1. State, in your own words, the generally accepted meaning of the term voucher, as used in business.
2. What is the nature of a journal voucher, and for what purpose is it used?
3. Prepare a form of voucher to be accompanied by a separate check.
4. Prepare a form of voucher check.
5. For what book is the voucher register substituted? What book is dispensed with?
6. Explain the purpose of the sundries and unpaid voucher columns in the voucher register.
7. With what controlling account must the total of unpaid vouchers as shown by the register, agree? Explain the sources of debits and credits posted to this controlling account.
8. Prepare a form of voucher register, suitable for a manufacturing business using three classes of raw material, operating five shops, and selling the product through traveling salesmen.
9. What are the necessary steps in auditing, executing, and registering vouchers? How should audited vouchers be filed?
10. Describe the routine in paying vouchers, and in filing invoices and paid vouchers. How should vouchers be indexed?
11. What is the distinguishing feature of the unit system of voucher accounting?
12. If a voucher pays items to be charged to three accounts, how many copies are required and how is the distribution shown?
13. Explain the method of filing and recording vouchers in the unit system. How are monthly totals recorded?
14. What routine should be followed to carry the totals to the ledger?
15. Describe, and illustrate with the necessary forms, a system in which a purchase ledger and invoice file are combined.
16. What is a private ledger and for what purposes is it used?
17. Name some of the special advantages of the private ledger.
18. Describe, briefly, the operation of the private ledger, giving an example.
19. Describe, and illustrate with journal entries, in what way a manufacturer can make use of the private ledger.
20. Transactions of the following classes are recorded on the books of Dane & Whitney:
Purchases on Account
Sales on Account
Paid for Rent
Paid Dane's Salary
Sales for Cash
Whitney advanced cash to the business.
What items, in the above, should be recorded in the private ledger?
21. In charting the accounts of a business, into what three main groups should they be divided? Give an example of the subdivision of one of these groups.
22. Prepare a chart of the accounts of a small trading business conducted by a partnership. Explain this chart.
23. Prepare a chart of the accounts of a manufacturing business making three classes of goods.
24. What are the principal characteristics of a chart of accounts of a manufacturing business?
25. Using the above manufacturing chart, explain how profits are traced from group to group until they reach the surplus account.
A
Acceptances, 56
definition of, 11
Accommodation note, definition of, 11
Account books
classes of, 42
definition of, 11
Account current, definition of, 11
Account sales, definition of, 11
Accounting charts, 309-323
explanation of chart, 316
of manufacturing business, 313
of small trading business, 310
Accounts
classification of, 90
definition of, 11
merchandise, 71
merchandise inventory, 100
nominal, 70
personal, 69
profit and loss, 97
purchase, 71
real, 69
representative, 70
sales, 72
Accrued interest, definition of, 12
Acknowledgment, definition of, 12
Ad valorem, definition of, 12
Administrator, definition of, 12
Adventure, definition of, 12
Advice, definition of, 13
Affidavit, definition of, 13
Agent, definition of, 13
Agreement, definition of, 13
Allowance, definition of, 13
Annual statement, definition of, 13
Annuity, definition of, 13
Antedate, definition of, 13
[346]Appraise, definition of, 14
Appreciation, definition of, 14
Approval sales, definition of, 14
Arbitrate, definition of, 14
Articles, definition of, 14
Assets
definition of, 14
fictitious, 78
fixed, 77
floating, 78
passive, 78
Assign, definition of, 14
Assignee, definition of, 14
Assignment, definition of, 14
Assignor, definition of, 14
Association, definition of, 14
Attachment, definition of, 14
Audit, definition of, 14
Auxiliary, definition of, 14
Average, definition of, 14
B
Balance, definition of, 14, 39
definition of, 14
Balance of trade, definition of, 15
Bale, definition of, 15
Bank balance, definition of, 15
Bank deposits, 56
check books, 56
depositing cash, 57
indorsement of checks, 57
pass book, 57
signature card, 56
Bank draft, definition of, 15
Bank note, definition of, 15
Bank pass book, definition of, 15
Bankrupt, definition of, 15
Bill, definition of, 15
Bill of exchange, definition of, 16
Bill head, definition of, 16
Bill of lading, definition of, 16
Bill of sale, definition of, 16
Bills payable, definition of, 18
Bills receivable, definition of, 18
Bills receivable and bills payable, 54
Blanks, definition of, 18
[347]Blotter, definition of, 18
Bond liability, 239
Bonded goods, definition of, 18
Bonds, 238
classes of, 239
definition of, 18
expense of issue of, 241
interest on, 241
premium on, 241
Bonus, definition of, 18
Book account, definition of, 18
Bookkeeping
for corporation, 205
definition and objects of, 37
methods of, 39
Brand, definition of, 18
Broker, definition of, 18
Brokerage, definition of, 18
Bullion, definition of, 18
C
Call loans, definition of, 18
Cancel, definition of, 18
Capital, definition of, 18
Capital of corporation, 199
Capital stock, 199
definition of, 18
Capitalization, 199
capital, 199
capital stock, 199
treasury stock, 200
watered stock, 201
Cartage, definition of, 18
Cash book, 43
posting from, 89
Cash discounts, 94
allowed, 94
earned, 95
entering in cash book, 94
Cash dividend, declaring, 224
Cash sales, definition of, 18
Center-ruled ledger, 143
Certificate of stock, definition of, 18
Certified check, definition of, 20
Charges, definition of, 20
Chart, definition of, 20
Charter, definition of, 20
[348]Charting the accounts, 309
Check, definition of, 20
Check books, 56
Clearing house, definition of, 20
Closing an account, definition of, 20
Collateral, definition of, 20
Commercial abbreviations, 35
Commercial paper, definition of, 20
Commercial signs and characters, 37
Commercial terms, dictionary of, 11
Commission, definition of, 20
Commission merchant, definition of, 20
Common law, definition of, 20
Common stock, definition of, 200
Company, definition of, 20
Compromise, definition of, 20
Consideration, definition of, 22
Consignee, definition of, 22
Consul, definition of, 22
Contingent assets and liabilities, definition of, 22
Contingent fund, definition of, 22
Contra, definition of, 22
Contract, definition of, 22
Conveyance, definition of, 22
Copyright, definition of, 22
Corporation accounts, 195-270
bonds, 238
bookkeeping, 205
changing books from partnership to corporation, 227
closing transfer books, 204
entries on corporation books, 228
entry of stock for promotion, 222
reserves and their treatment, 235
stock donated to employes, 229
when stock subscriptions are never full paid, 232
surplus and dividends, 223
treatment of loss, 225
Corporation bookkeeping, 205
books required, 206
entries in stock books, 215
opening entries, 209
Corporations
capitalization, 199
classification of, 195
creation of, 197
definition of, 195
dividends, 203
[349]management of, 201
Corporations
management of
powers of corporations, 203
powers of directors and officers, 202
stockholders' rights, 203
stock certificate, 199
stockholders, 197
stock issued for promotion, 221
stock subscriptions, 201
Counterfeit, definition of, 22
Coupon, definition of, 22
Coupon bond, definition of, 22
Credentials, definition of, 22
Credit, rules for, 38
Creditor, definition of, 22
Cumulative preferred stock, definition of, 200
Currency, definition of, 22
D
Day book, 43
Debenture, definition of, 22
Debit
definition of, 22
rules for, 38
Deed, definition of, 22
Defalcation, definition of, 22
Deferred bonds, definition of, 23
Delivery receipt definition of, 23
Demand note, definition of, 23
Departmental records, 148
Deposit, definition of, 24
Depositing cash, 57
Depreciation, definition of, 24
Discount, definition of, 24
Discount and exchange, 56
Discounts allowed, 94
Dishonor, definition of, 24
Dividend, 203
definition of, 24
Dividend book, 208
Dormant partners, 165
Double entry, 39
advantages of, 40
books used in, 43
principle of, 40
Doubtful, definition of, 25
Draft
[350]definition of, 24
journalizing, 113
Drawer, definition of, 25
Drayage, definition of, 25
Due bill, definition of, 25
Dunning, definition of, 25
Duplicate, definition of, 25
Duty, definition of, 25
E
Earnest, definition of, 25
Embezzlement, definition of, 25
Exchange, definition of, 25
Expense account, 80
heat and light, 81
insurance, 81
interest, 81
labor, 82
out freight and express, 81
rent, 81
salaries, 82
taxes, 81
Exports, definition of, 25
Extend, definition of, 25
F
Face value, definition of, 25
Facsimile, definition of, 25
Fictitious assets, example of, 78
advertising, 78
Financial statement, definition of, 25
Fiscal, definition of, 25
Fixed assets
definition of, 25
examples of, 77
furniture and fixtures, 77
horses and wagons, 77
real estate, 77
Fixed charges, definition of, 26
Fixtures, definition of, 26
Floating assets, examples of, 78
accounts, 78
cash, 78
merchandise, 78
notes or bills receivable, 78
Folio, definition of, 26
Footing, definition of, 26
[351]Foreign exchange, definition of, 26
Forms
account sales, 12
acknowledgment, 13
adjustment journal and departmental purchase book, 154
balance sheet, 101
bill, 15
bill of exchange, 17
bill of lading, 16
bill of sale, 19
bills payable, 55
bills receivable, 55
cash book including bank account, 156
cash book with center column for particulars, 177
cash book with column for private ledger accounts, 306
cash disbursement book, 296
center-ruled ledger, 143, 157-161
certificate of stock, 21
chart of profit and loss accounts, 311, 312
check register, 260
classified ledger accounts, 180-188
closing entries, trading and profit and loss account, 140
combined purchase ledger and voucher system, 303
daily report, 247
day book, 43
day book or blotter, 121
delivery receipt, 24
demand note, 24
departmental sales book, 155, 178
departmental sales and purchase books, 179
draft, 25
endorsement, 58
file showing method of indexing vouchers, 293
installment certificate, 208
inventory sheet, 137
invoice register, 258
journal, 74
journal entries recording all transactions, 128-130
journal ruled retail ledger, 132-137
journal showing opening entries for partnership, 176
journal voucher for adjusting entries, 284
lease, 27
ledger accounts, classified, 180-188
ledger with journal ruling, 120
manufacturing account, 99
manufacturing ledger with closing entries, 320-322
merchandise inventory, 100
[352]monthly recapitulation and distribution sheet, 303
opening entry in journal, 122
order, 29
order book, 42
pay-roll, 249
power of attorney, 32
profit and loss account, 99
promissory note, 31
proprietor's account, 99
purchase book, 75
purchase ledger, 267
receipt, 33
retail ledger, journal ruled, 132-137
sales book, 74
scale book, 144
signature card, 57
special account, 12
statement, 34
statement of incorporation on stock plan, 198
trading account, 98
transfer book, 206
unit system of voucher accounting, monthly recapitulation for, 300
voucher, 35
voucher, back of, showing distribution, 277
voucher with check attached, duplicate, 283
voucher check in loose-leaf form, duplicate, 280
voucher check that requires no folding, 280
voucher check, triplicate form of, 282
voucher and check combined, 278
voucher distribution sheet, 281
voucher register showing entries, 294
voucher registers, typical forms of, 286
voucher to be receipted and returned, 276
vouchers paid, card index of, 292
Freight, definition of, 26
G
Gain, definition of, 26
Gauging, definition of, 26
Going business, definition of, 26
Goodwill, definition of, 26
Gross, definition of, 26
Gross profit, transfer of, 99
Guarantee or guaranty, definition of, 26
[353]Guaranteed stock, 200
H
Honor, definition of, 26
Hypothecate, definition of, 26
I
Import, definition of, 26
Income, definition of, 26
Income bonds, definition of, 26
Indemnity, definition of, 26
Indorse, definition of, 26
Indorsee, definition of, 26
Indorsement of checks, 57
Indorser, definition of, 28
Infringe, definition of, 28
Installment, definition of, 28
Installment book, 207
Insolvent, definition of, 28
Instant, definition of, 28
Insurance policy, definition of, 28
Interest, definition of, 28
Inventory, 137
definition of, 28
Investment, definition of, 28
Invoice, definition of, 28
Invoice or bill, 46
J
Job lot, definition of, 28
Jobber, definition of, 28
Joint stock, definition of, 28
Joint stock companies, 196
Journal, 45
posting from, 88
Journal vouchers, 283
Journalizing drafts, 113
when we accept draft, 114
when discounting time draft, 114
when we pay an acceptance, 114
when we pay a sight draft, 114
when our sight draft is paid, 113
Journalizing notes, 107
when collected by bank, 107
when discounted, 107
when discounted note is not paid, 109
when note drawing interest is discounted, 108
when note drawing interest is paid, 108
[354]when note is past due, 109
when note is renewed, 110
when our note has been discounted, 111
when paid, 107
when received, 107
when renewed note has been discounted, 110
when we discount our note, 112
when we give or pay note, 111
when we pay for goods with our note, 112
when we pay our note with interest, 112
when we renew a note, 112
when we renew our discounted note, 113
Journalizing, rules for, 82
L
Leakage, definition of, 28
Lease, definition of, 28
Ledger, 46
arrangement of accounts in, 91
Ledger accounts, sample, 92, 93
Ledger index, 47
Legal tender, definition of, 28
Lessee, definition of, 28
Letter of advice, definition of, 28
Letter of credit, definition of, 28
Liabilities, definition of, 29
License, definition of, 29
Liquidation, definition of, 29
Loss and gain, definition of, 29
M
Maker, definition of, 29
Manifest, definition of, 29
Manufacturing account, 98
Manufacturing and cost accounts, 242
accounts used
factory assets, 243
factory expenses, 244
summary accounts, 245
balance ledger, 250
expense inventory, 250
expense liability, 250
manufacturing data, 256
pay-roll records, 248
routine followed, 245
sample transactions, 251
Maturity, definition of, 29
[355]Mercantile agency, definition of, 29
Merchandise, definition of, 29
Merchandise account, 71
Merchandise inventory account, 100
Minute book, 207
Money order, definition of, 29
Monopoly, definition of, 29
Mortgage, definition of, 29
Mortgagor, definition of, 30
N
Negotiable, definition of, 30
Net, definition of, 30
Net profit, transfer of, 99
Nominal, definition of, 30
Nominal account, 70
Nominal partners, 164
Non-cumulative preferred stock, 200
Notes, journalizing, 107
O
Obligation, definition of, 30
Open account, definition of, 30
Opening entries, definition of, 30
Option, definition of, 30
Order book, 43
Orders, definition of, 30
Original entry, definition of, 30
Ostensible partners, 164
Overdraw, definition of, 30
P
Par, definition of, 30
Partnership, definition of, 30
Partnership accounts, 164-193
capital and personal accounts, 165
closing the books, 166
division of profits, 191
illustration of closing entries, 166
interest on investment, 165
kinds of partners, 164
opening the books, 166
participation in profits, 165
partnership, defined, 164
partnership agreements, 164
sale of partnership, 189
sample transaction, 167-175
[356]Pass book, 57
Passive assets, examples of, 73
goodwill, 78
patents, 78
speculative, 78
Pay-roll records, 248
Payee, definition of, 30
Per annum, definition of, 30
Per cent, definition of, 30
Per diem, 30
Personal accounts, 69
definition of, 30
Personal property, definition of, 30
Petty cash
definition of, 30
treatment of, 58
Post, definition of, 30
Postdate, definition of, 30
Posting, 46
from cash book, 89
from journal, 88
routine, 88
Power of attorney, definition of, 30
Preferred stock, definition of, 30, 200
Premium, definition of, 31
Present worth, definition of, 31
Private ledger, 304
advantages of, 304
how operated, 305
manufacturing accounts in, 306
Proceeds, definition of, 31
Profit and loss, definition of, 31
Profit and loss account, 97
manufacturing, 98
trading, 97
transfer of gross profit, 99
transfer of net profit, 99
turnover, 98
Promissory notes, 54
acceptance, 56
bill book, 54
bills payable, 54
bills receivable, 54
definition of, 31
discount and exchange, 56
Promotion, stock issued for, 221
Pro rata, definition of, 31
[357]Protest, definition of, 31
Purchase account, 71
Purchase book, 45
Purchase ledger and invoice file combined, 301
Q
Quotation, definition of, 31
R
Ratify, definition of, 31
Raw material, definition of, 31
Real account, 69
Real estate, definition of, 31
Rebate, definition of, 31
Receipt, definition of, 31, 273
Receiver, definition of, 31
Recording transactions, 46
Remittance, definition of, 31
Renewal note, definition of, 33
Rent, definition of, 33
Representative account, 70
Reserves for bad debts, 236
Reserves for buildings in hazardous undertakings, 236
Reserves for depreciation, 236
Reserve funds, 237
Reserves for patents, franchise, goodwill, 236
Reserves for permanent improvements on leased property, 236
Resources, definition of, 33
Retail business, 119
balance sheet, 139
books used, 119
closing the books, 138
exercise, 141
inventory, 137
opening the books, 119
proprietor's account, 120
sample transactions, 123-127
statements, 120
Retail coal books, 142
sample transaction, 144
uncollectible accounts, 143
Revenue, definition of, 33
Revenue accounts, 80
Revenue receipts, 80
Revoke, definition of, 33
[358]Royalty, definition of, 33
S
Sale of stock below par, 205
Sales, 72
Sales books, 45
Sales tickets, 147
Sample ledger accounts, 91
Sample transactions, 72, 83, 101, 149
Schedule, definition of, 33
Secret partners, 164
Sight draft, definition of, 33
Signature card, 56
Silent partners, 164
Single entry, 39
Single proprietorship accounts, 119-163
Sinking funds, 237
Solvent, definition of, 33
Statement, definition of, 33
Stock certificate book, 206
Stock dividends, 204
declaring, 224
Stock ledger, 207
Stock register, 208
Stock subscriptions, 201
Stock transfer book, 206
Stockholders, 197
definition of, 33
meetings of, 205
rights of, 203
Storage, definition of, 33
Surety, definition of, 33
Syndicate, definition of, 33
Surplus subdivided, 223
T
Tare, definition, 33
Tariff, definition of, 33
Terms, definition of, 33
Theory of accounts, 11-116
Three-column journal, 82
Tickler, definition of, 34
Time draft, definition of, 34
Trade discount, definition of, 34
Trade mark, definition of, 34
Trading account, 97
Transactions, 46
ledger index, 47
posting, 46
[359]sample, 47, 59, 72, 83, 101, 149
Treasury stock, 200
Trial balance, 90
Turnover, 98
U
Ultimo, definition of, 34
Unit system of voucher account, 298
V
Valid, definition of, 34
Value received, definition of, 34
Void, definition of, 35
Voucher checks, 279
Voucher file, 293
Voucher register, 284
Voucher system of accounting, 273-303
auditing of invoices, 290
combined purchase ledger and invoice file, 301
demonstration of, 293
executing and registering vouchers, 290
filing audited vouchers, 290
filing paid vouchers, 291
indexing vouchers, 292
operation of, 289
paying vouchers, 291
unit system of, 298
voucher file, 293
Vouchers
filing, 290
forms of, 277
indexing, 292
paying, 291
use of, 274
W
Warehouse, definition of, 35
Warehouse receipt, definition of, 35
Warranty, definition of, 35
Watered stock, 201
Way bill, definition of, 35
Wholesale, definition of, 35
Working capital, definition of, 35
TRANSCRIBER'S NOTES
—Obvious print and punctuation errors were corrected.
—The transcriber of this project created the book cover image using the title page of the original book. The image is placed in the public domain.